
| 🚀 算法题 🚀 |
🌲 算法刷题专栏 | 面试必备算法 | 面试高频算法 🍀
🌲 越难的东西,越要努力坚持,因为它具有很高的价值,算法就是这样✨
🌲 作者简介:硕风和炜,优快云-Java领域优质创作者🏆,保研|国家奖学金|高中学习JAVA|大学完善JAVA开发技术栈|面试刷题|面经八股文|经验分享|好用的网站工具分享💎💎💎
🌲 恭喜你发现一枚宝藏博主,赶快收入囊中吧🌻
🌲 人生如棋,我愿为卒,行动虽慢,可谁曾见我后退一步?🎯🎯
| 🚀 算法题 🚀 |


🚩 题目链接
⛲ 题目描述
给定单个链表的头 head ,使用 插入排序 对链表进行排序,并返回 排序后链表的头 。
插入排序 算法的步骤:
插入排序是迭代的,每次只移动一个元素,直到所有元素可以形成一个有序的输出列表。
每次迭代中,插入排序只从输入数据中移除一个待排序的元素,找到它在序列中适当的位置,并将其插入。
重复直到所有输入数据插入完为止。
下面是插入排序算法的一个图形示例。部分排序的列表(黑色)最初只包含列表中的第一个元素。每次迭代时,从输入数据中删除一个元素(红色),并就地插入已排序的列表中。
对链表进行插入排序。
示例 1:

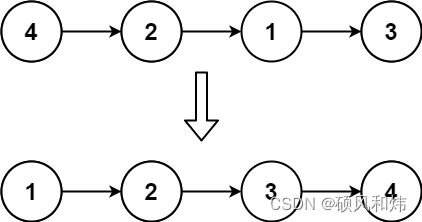
输入: head = [4,2,1,3]
输出: [1,2,3,4]
示例 2:

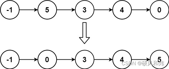
输入: head = [-1,5,3,4,0]
输出: [-1,0,3,4,5]
提示:
列表中的节点数在 [1, 5000]范围内
-5000 <= Node.val <= 5000
🌟 求解思路&实现代码&运行结果
⚡ 链表
🥦 求解思路
- 该题目让我们对链表进行插入排序,求解的关键之处在于设置几个链表节点。
- 第一个节点dummy,主要起到在寻找插入位置时回到起点的作用;
- 第二个节点cur,主要用于遍历节点;
- 第三个节点pre,主要用来和当前节点作比较,同时起到标记的作用,让交换后的cur回到pre后面。
- 有了基本的思路,接下来我们就来通过代码来实现一下。
🥦 实现代码
/**
* Definition for singly-linked list.
* public class ListNode {
* int val;
* ListNode next;
* ListNode() {}
* ListNode(int val) { this.val = val; }
* ListNode(int val, ListNode next) { this.val = val; this.next = next; }
* }
*/

最低0.47元/天 解锁文章
3195

被折叠的 条评论
为什么被折叠?



