引用格式:
秦瑞艳,王亚鹏,程志密,等.基于AI Agent的星地融合资源编排关键技术[J].天地一体化信息网络,2025,06(03):39-48.
QIN R Y,WANG Y P,CHENG Z M,et al.Key Technologies of Satellite-Ground Integrated Resource Orchestration Based on AI Agent[J].Space-Integrated-Ground Information Networks,2025,06(03):39-48.
0 引言
随着第六代移动通信技术(6G)的快速发展,通信网络正朝着更高的速率、更低的时延以及全域无缝覆盖方向迈进。6G的一个重要目标是实现泛在连接,而星地融合网络作为实现这一目标的关键技术,正受到广泛关注。星地融合网络将卫星通信与地面网络相结合,能够有效解决传统地面网络在偏远地区和海洋区域覆盖不足的问题,从而为全球用户提供无差别的通信服务和互联网接入能力。
然而,星地融合网络的实现面临诸多挑战。首先,星地融合网络中通信、计算和缓存等异构资源相互耦合相互制约,以及多普勒频移和信道动态变化等问题,对资源编排管理和网络优化提出了更高的要求。其次,卫星和地面网络的资源分布不均衡,低轨卫星高速运动引发的网络拓扑动态重构与资源可用性波动,使得传统的资源编排管理方法难以满足复杂场景下的高效通信需求。此外,用户业务需求的时空异构性与突发性进一步加剧了资源管理的复杂性。
在此背景下,人工智能(artificial intelligence,AI)技术的持续演进为解决上述难题提供了新思路。尤其是作为AI领域前沿分支的AI Agent,其作为一种具备自主性、环境交互能力以及目标导向行为的计算机程序,正逐渐成为解决复杂系统资源管理问题的关键技术手段。AI Agent拥有感知、推理、决策和执行等多种能力,能够感知环境变化并采取相应行动以实现既定目标。其应用场景广泛,如在监控特定区域的无人机数量及流量管控中,AI Agent可以执行用户意图理解、基于意图的任务分解与规划、任务流程控制、动作执行以及用户意图反馈等一系列操作。具体到星地融合网络环境,AI Agent通过自主学习和动态决策机制,能够有效实现对网络中多维资源的高效管理。引入AI Agent技术后,星地融合网络的资源利用效率可得到显著提升,网络时延得以降低,同时系统的灵活性与适应性也得到增强。这主要得益于AI Agent对复杂网络环境的智能感知与优化调整能力,使其能够在星地融合网络的动态条件下,持续优化资源配置,保障网络性能的稳定与高效。
为了应对星地融合网络跨域异构资源管控编排管理困难的问题,本文设计了一种分层协同资源编排架构,并基于该架构,设计了切片资源编排关键技术和动态网络切片资源映射算法(dynamic network resource mapping with AI Agent collaboration algorithm,DNRM-AIAC),主要贡献如下。
(1)设计了一种基于AI Agent的分层协同智能资源编排架构与闭环管理机制,基于“卫星-地面”分层分域架构,构建了“意图层-决策层-执行层-反馈层”4层逻辑闭环。该架构深度融合AI Agent的自主感知与决策能力,实现了从用户意图理解到资源优化配置,再到执行效果评估与策略动态校准的完整智能闭环。
(2)设计了一种基于AI Agent驱动的算网协同切片资源编排关键技术,将AI Agent深度融入网络切片全流程,实现了“用户意图输入→任务规划分解→算网资源协同→切片动态编排→任务高效执行”的端到端自动化流程,能有效应对业务需求的时空异构性。
(3)构建了星地融合网络的端到端网络切片系统模型,以最小化网络总开销为目标,提出了一种基于AI Agent协同的DNRM-AIAC,并进行了算法的收敛性证明,分析了其网络总开销,证明了该算法可在有限迭代次数内实现收敛,优于传统静态算法和启发式算法。
1 研究现状与挑战
1.1 星地融合网络研究现状及发展趋势
星地融合网络作为6G实现全域立体覆盖的核心载体,正经历技术标准、架构设计与应用场景的快速演进。随着地面移动通信网络逐步逼近覆盖与容量极限,卫星通信的高广域性与灵活组网能力成为突破传统网络边界的关键支撑。国际电信联盟无线电通信部门率先将天地一体化纳入IMT-2030框架,明确其需满足全域覆盖、动态拓扑适配与多业务差异化服务质量需求,并重点关注天地一体化网络需求、网络架构、移动性管理和连接管理等内容,为星地融合网络提供了重要的技术规范和标准化工作指导。在此背景下,全球标准组织与产业界正围绕协议兼容性、资源协同机制与网络智能化展开深度协作,推动星地融合从概念验证迈向产业化部署。
在标准化层面,国际与国内技术路线呈现协同演进与差异化创新并存的格局。第三代合作伙伴计划(3rd generation partnership project,3GPP)以非地面网络(non-terrestrial network,NTN)为切入点,通过R17~R19版本的迭代逐步完善星地融合技术体系:R17首次定义卫星通信作为地面网络补充的透明转发模式,解决星地接口协议兼容性问题;R18针对星地链路高动态特性优化了移动性管理机制,并探索用户面功能(user plane function,UPF)上星部署方案;R19进一步引入跳波束技术与星上处理模式,为基站与核心网功能上星奠定基础。与此同时,中国通信标准化协会同步开展卫星通信与地面网络的融合技术研究,提出“按需配置、统一编排、弹性可重构”的架构设计原则,引导国内卫星与地面网络在空口设计、切片管理层面的深度兼容。
星地融合已成为6G技术发展的必然趋势,其核心价值在于实现覆盖协同、资源共享与功能升级的全方位优化。学术界与产业界的研究热点集中于网络架构重构与资源智能编排两大维度。在架构设计方面,分层协同模型成为主流技术路线:3GPP提出的立体异构网络通过地面核心网与星载用户面功能协同,实现业务数据本地化处理与传输时延优化;国内研究机构则聚焦于空间-地面-用户3层架构设计,依托低轨卫星(low earth orbit,LEO)/高轨卫星(geostationary earth orbit,GEO)混合组网与多模终端接入技术,显著提升高动态场景下的服务连续性。资源编排技术演进呈现从静态分配向动态智能调度的转变趋势,早期研究多基于网络功能虚拟化(network functions virtualization,NFV)与软件定义网络(software defined network,SDN)实现星地资源池化,而当前深度强化学习、联邦学习等AI技术的加入,使得多维资源分配能够自适应星地链路时延差异与拓扑动态性。
面向6G,星地融合网络的技术发展呈现三大趋势:其一,高低轨混合组网架构的深度优化,通过协议融合与虚拟化信关站设计,实现覆盖层(低轨)与容量层(高轨)的功能互补;其二,弹性可重构技术的标准化突破,基于轻量化容器与微服务架构的星载核心网组件,可支持网元功能的动态迁移与故障自愈;其三,内生智能的端到端资源编排体系构建,需突破星地协同学习模型、跨域资源联合优化算法等关键技术,最终达成计算-通信-存储资源的全局最优配置。这些技术路径的协同推进,将为6G“智慧泛在”愿景提供坚实的网络基础。
1.2 星地融合资源编排挑战
星地融合资源编排是实现空天地一体化网络的关键使能技术,其核心目标在于通过动态优化多维资源配给,满足全域覆盖、业务弹性与服务质量保障需求。尽管现有研究已经取得阶段性进展,但仍需突破以下三重挑战。
(1)跨域异构资源统一建模与协同管控挑战
星地融合网络涉及频谱、计算、存储等多维异构资源,上述资源分布呈现跨域、跨层、跨协议的复杂特性,导致传统资源建模范式面临根本性局限。首先,低轨卫星的频谱资源受轨道周期影响呈现时变特性,而星载计算资源因任务卸载需求呈现间歇性过载。其次,卫星网络与地面网络在资源管控机制上存在结构性差异。例如,地面NFV/SDN架构依赖细粒度流表更新,而卫星受限于星地传播时延需采用粗粒度策略下发模式,这种差异导致协议栈无法对齐,跨域协同需引入协议转换机制,从而显著增加了策略执行时延与能耗。
(2)多要素服务需求冲突下的时空优化困境
6G业务的多元化(如自动驾驶、沉浸式通信)对资源编排提出了多维度服务质量(quality of service,QoS)保障需求,其时空异构性与指标互斥性引发复杂优化冲突。不同业务包含对连接服务、智能服务、计算服务、数据服务、安全服务等多方面的差异化需求,这进一步加剧了星地融合网络编排的复杂程度。此外,星地融合网络中的资源具有时空异构性,卫星资源随时间变化而变化,如低轨卫星的移动导致其覆盖范围不断变化,资源可用性呈现周期性波动;地面网络资源则相对稳定,但其在不同地理位置的分布密度和性能存在差异。这种时空异构性使得在进行资源编排时,需要综合考虑时间和空间两个维度的资源特性。
(3)高动态环境下算法适应性瓶颈
低轨卫星网络的高速拓扑变化(节点移动速率为7.8 km/s,连接平均存活时间为20~30 s)与链路状态的毫秒级波动,对资源调度算法的实时性与鲁棒性提出了严苛要求。传统静态优化方法(如整数线性规划)因需频繁重构模型,计算复杂度随节点规模呈指数级增长,决策时延远超实时业务容忍阈值(如自动驾驶要求时延小于5 ms)。数据驱动方法(如深度强化学习)虽具备在线学习能力,但面临“样本稀疏”问题:难以精确预测卫星信道时变参数(如莱斯衰落、多普勒频移),长传播时延导致奖励信号滞后,容易陷入局部最优。
2 星地融合网络资源编排管理架构及关键技术
2.1 分层协同架构设计
星地融合网络由高轨卫星、中低轨卫星、临空设备及地面蜂窝(涵盖宏蜂窝、微蜂窝与皮蜂窝)构成,是一种统一的大时空尺度跨域异构网络。该网络具备多层多域、异构性及动态性等显著特征,导致资源编排架构的复杂度显著提升。
为充分满足6G星地融合网络用户多样化业务需求,同时支持不同业务对多维资源及多类型网络服务的要求,并实现资源的灵活调配,本文设计并提出一种基于AI Agent的分层协同资源编排架构,如图1所示。该架构通过引入AI Agent智能实体,实现智能内生、算力赋能、分域自治与协同优化。采用差异化的AI Agent部署策略,遵循分层协同原则。由于地面计算与存储资源丰富,因此,在地面中心节点部署功能完备的集中式AI Agent。针对卫星节点严格的计算、存储、能源等资源约束,可以采用分布式轻量化AI Agent部署方案,通过模型蒸馏、模型压缩、模型裁剪等前沿模型精简技术,将训练好的复杂模型转化为计算负载低、内存占用小的轻量化模型,直接部署于卫星节点,使其具备本地资源实时感知与快速自治决策能力。在资源感知与策略制定方面,遵循架构采用的“卫星-地面”分层分域模式,兼顾自治与协同。地面中心节点作为核心枢纽,综合利用多源数据融合、大数据分析和智能预测模型,可实现对全局拓扑状态、资源分布、业务负载等关键要素的全网态势感知与策略决策。同时,卫星分布式节点被赋予高度的智能与自治能力,搭载轻量化AI算法(如深度强化学习、联邦学习、在线学习等)可实现本地计算资源、链路质量、用户需求的实时感知与区域自治决策。

图1 基于AI Agent的分层协同资源编排架构
地面中心节点与卫星节点之间通过周期性状态报告、事件触发上报、策略指令下发等方式进行信息交互与协同。其中,地面中心节点的全局编排策略为分布式节点提供全局约束和优化目标,而卫星节点的本地感知信息则为地面中心节点全局提供实时、细粒度的数据支撑,并执行具体的编排动作,共同构成一个闭环、高效、智能的感知-决策-执行体系。同时,基于AI Agent的智能框架支持跨域知识共享,位于卫星和地面不同域内的多AI Agent进行协同,确保策略一致性,从而提高决策的准确性。此外,突破传统资源独立管理模式,建立多维资源融合管控机制,构建星地协同的泛在算力池,借助AI Agent智能决策实现资源协同优化配置,实现星载边缘计算节点与地面云计算中心的异构算力协同。同时,结合硬件加速技术、分布式计算技术以及算力优化算法,提升资源利用效率,保障业务综合性能,实现算力资源的时空互补供给。
本文基于“分层协同与逻辑闭环”相结合的设计范式进行架构设计,这种创新性的架构设计,不仅提升了网络资源管理的精细化程度,也为星地融合网络的高效运行提供了智能化的解决方案。具体介绍如下。
架构自上而下被划分为4个明确的层级,依次为意图层、决策层、执行层与反馈层,各层之间具备清晰的功能划分以及标准化的交互接口,以确保信息传递的高效性与准确性。
• 意图层:负责收集和解析各类业务的多维服务需求(如连接、计算、AI、数据、安全等),并将其转化为网络可识别的资源编排意图(这针对的是多要素服务需求冲突的问题),通过将复杂、异构甚至互斥的QoS需求进行统一抽象和规范化表达,为后续的策略制定提供精准的目标导向。
• 决策层:依据意图层传递的需求信息,结合反馈层提供的实时网络状态,运用具备强适应性、低在线计算复杂度的AI算法和模型进行策略规划与决策制定,生成最优的资源分配方案,快速响应高动态场景下的挑战。
• 执行层:接收到决策层的指令后,负责具体的资源调度和配置操作。通过标准化的接口和适配机制,将统一的决策指令(如NFV/SDN的细粒度流表)翻译并下发到地面网络和卫星网络的不同管控协议栈中。该操作解决了协议栈差异导致的协同难题,确保资源按照既定方案进行合理分配和高效利用。
• 反馈层:实时监测网络运行状态和资源使用情况,通过统一构建跨域(星/地)异构资源状态模型,将性能数据反馈给决策层,以便对策略进行动态调整和优化,形成闭环控制机制。
上述4个层面构建起一个动态优化的闭环系统,覆盖从意图感知、策略生成、资源调度、性能评估到意图校准的完整流程,实现端到端网络的统一编排以及资源的灵活调度,进而为各类业务提供差异化服务质量保障。
2.2 基于AI Agent的算网协同切片资源编排关键技术
星地融合网络融合了卫星通信与地面通信网络,可实现全球无缝覆盖,满足多样化通信需求。然而,该网络中卫星和地面存在多种异构算力资源,其分布、性能和可用性差异较大,如何有效编排管理这些算力资源以满足不同应用需求,成为星地融合网络的关键挑战之一。同时,由于星地融合网络业务需求种类繁多、覆盖范围广泛,且业务的时延、带宽、安全需求实时变化,迫切需要动态划分业务子网,以实现精细化的业务响应。网络切片作为一种满足特定需求的可重用网络组件和功能集合,可将底层物理网络划分为多个具有独立资源视图与网络拓扑的逻辑网络,每个逻辑网络服务于一种特定的业务场景。鉴于此,本文重点针对分层协同架构中部署的AI Agent实体,提出了一种基于AI Agent的算网协同切片资源编排关键技术,并针对该关键技术中的任务规划与分解功能展开了详细介绍,如图2所示。

图2 基于AI Agent的算网协同切片资源编排关键技术
用户可以通过语音、文字等多种方式向AI Agent输入编排任务需求。AI Agent接收到用户输入后,基于AI Agent实现用户意图转译与保障、编排任务规划、切片编排、算网资源感知与编排以及编排任务执行,形成整体端到端的业务闭环。
(1)意图转译与保障:该功能分布于分层协同逻辑架构中的意图层与反馈层。在AI Agent接收到用户输入后,基于大型语言模型(large language model,LLM)提取用户服务意图特征并进行转译,最终形成结构化的任务描述,明确用户的需求、相关参数和具体执行条件。借助记忆模块和工具模块提高意图转译的精度,确保决策的连贯性和智能性。同时,实时监测意图转译的精度,基于意图保障模块监测网络状态,利用LLM更新意图转译模型并动态优化编排策略参数,形成“输入-生成-执行-反馈”的意图闭环控制。
(2)任务规划与分解:该功能位于分层协同逻辑架构中的决策层与反馈层。借助工具模块和LLM对从意图转译与保障模块接收到的用户需求进行解析,考虑到星地融合网络中任务可能受到时间和空间的限制,AI Agent需要根据这些时空约束将复杂任务拆解为子任务,每个子任务对应特定的时间段和空间。在时间上,合理安排任务的执行顺序,确保在规定时间内完成异构资源的选择与调度;在空间上,协调不同卫星网络和地面网络的异构资源,保障网络切片在指定区域的连续性和稳定性。根据子任务的特点和资源的特性,AI Agent中的任务规划与分解功能综合考虑算网资源的分布、性能、位置等多重因素,将子任务分配到不同的算力资源上进行协同处理,通过强化学习等AI算法动态调整位于不同算力资源上的任务权重以达到时空性能的最优化:对于计算密集型网络切片,可优先分配地面算力资源;对于覆盖范围广、高移动性网络切片,可优先考虑卫星广域算力资源(第3节针对任务规划与分解中的时空约束建立模型,并设计相应的算法进行求导,以实现更高效的任务规划与分解)。最后,利用反思功能动态调整策略,结合历史数据和预测模型对算力资源和网络切片的未来状态进行预测,为后续策略的动态调整提供依据。
(3)算网资源管理:该功能位于分层协同逻辑架构中的决策层。星地融合网络中的算力资源主要包括卫星算力资源和地面算力资源。在星地融合网络架构中结合算力网络技术,实现星地融合网络的全局资源感知和协同调度。实时感知星地融合网络内算力资源的状态信息,包括资源的利用率、性能指标、可用性等,并基于感知结果生成算网资源全景图,实现对算网资源的监控与调整。算网资源管理功能综合考量资源的性能、成本、可用性及应用优先级等多维度因素,依据实时感知的资源状态与应用需求,借助AI Agent的智能决策能力,实现算力资源的精准动态分配与优化配置。
(4)切片编排:该功能位于分层协同逻辑架构中的决策层。该模块负责底层基础环境以及任务规划与分解模块进行交互,生成并下发切片编排策略至相应的卫星或地面节点。其中,所生成的切片编排策略涵盖网络切片的服务参数以及到接入网(access network,AN)、传输网(transport network,TN)和核心网(core network,CN)的切片参数,还包括明确切片资源类型。例如,在应对灾区应急服务时,需创建星上网络切片,具体操作为创建LEO星载接入网和GEO星载轻量化核心网,并确定接入网切片子网资源类型为LEO,核心网切片子网资源类型为GEO。
(5)切片任务执行:该功能位于分层协同逻辑架构中的执行层。卫星/地面节点在接收到切片编排模块下发的切片编排策略后,作为任务执行的核心实体,切片任务执行模块依据该策略精准启动并高效执行相应的切片生成任务。卫星/地面节点会依据策略中规定的资源分配,合理调度自身的计算、存储以及通信资源,确保网络切片能够按照预期的性能指标和功能要求运行。
3 模型与仿真验证
星地融合网络场景下,资源编排技术是实现高效网络切片编排的关键,而任务规划与分解功能则是确保资源合理分配与利用的核心。因此,本节在第2.1节所设计的分层协同资源编排架构基础上,进一步深入探究第2.2节中资源编排技术的任务规划与分解功能,尤其是其中的时空约束问题。本文将第2.2节中所述的任务定义为星地融合场景下网络切片编排过程中的算力资源分配任务。因此,我们的目标是通过构建系统模型并设计优化算法,将网络切片编排任务分解为位于不同空间位置(包括地面、LEO和GEO等)的子任务,并将这些子任务精准地分配到不同网络位置的算力资源上,从而达成最优的资源分配目标,实现高效的任务规划与分解。
3.1 系统模型
在星地融合网络的背景下,网络切片编排过程中的算力资源分配面临着前所未有的挑战。本节聚焦于在时空约束条件下,如何对星地融合场景下的网络切片编排过程中的计算资源分配进行最优化。时空约束条件意味着必须同时考虑空间和时间因素对资源分配的影响,以确保网络切片编排任务能够高效且精准地完成。具体而言,就是考虑空间和时间的双重约束,从星地融合网络中选择合适的计算资源,根据业务需求和特性实例化特定的网络功能,并在地面和卫星之间灵活部署网络功能元素。为了优化这一过程,本节基于第2节所设计的架构及关键技术,建立了星地融合网络的系统模型,综合考虑了地面、低轨卫星和高轨卫星位于不同空间中的计算资源。每个端到端网络切片(end-to-end network slice,E2E-NS)提供一组定制化的网络功能(network function,NF),这些功能按照业务信令流程的顺序排列,形成服务功能链(service function chain,SFC),SFC的每个网络功能可以部署在地面、低轨卫星或高轨卫星上。通过合理的计算资源分配,可以优化服务功能链的开销。
假设星地融合网络中共有N个网络切片,基于业务需求和网络特性,不同的网络切片Ui支持不同的业务类型,具有不同的时延容忍上限Timax,1≤i≤N。此外,不同的网络切片Ui可以包含不同的网络功能数量Hi。
(1)端到端网络时延
SFC主要负责将消息从网络的一端传输到另一端,当前网络功能在完成消息的处理与解析后,才会将消息发送给下一个网络功能,整个过程不仅需要占用网络传输的带宽资源,而且,在切片资源映射过程中分配给网络功能的算力资源会直接影响到其消息处理时延,从而影响端到端网络切片业务的端到端时延。因此,综合考虑网络传输链路的差异性,以及地面算力资源与卫星算力资源性能的异构性,本文定义的端到端网络时延包含处理时延与业务转发时延。
当网络切片Ui的业务消息经过SFC进行传输时,当前网络切片内所有网络功能的处理时延之和可以表示为:

其中,ρi,k表示接收的每条消息大小,mi表示网络切片Ui中的业务发送的消息总数,δi,k表示处理一条消息所消耗的计算量,即处理每比特数据所消耗的CPU周期数,fi,j表示当前网络功能Fi,j所处算力节点的CPU核数。 地面-地面传输时延表示为:

其中,Rg-g表示地面链路带宽,Lg-gi表示地面节点间距离,ng表示光纤折射率,c表示真空光速(3×108 m/s)。
地面-卫星传输时延表示为:

其中,Rg-s表示星地链路带宽,Lig-s表示地面站到卫星的直线距离。
卫星-卫星传输时延表示为:

其中,Rs-s表示星间链路带宽,Lis-s表示卫星与卫星之间的直线距离。端到端总时延表示为:

其中,αl表示链路传输类型权重系数,βj表示业务分配权重。
(2)网络切片能耗:网络切片能耗可以表示为当前网络切片Ui的所有网络功能在本地处理消息以及发送消息的能耗之和,即:

其中,τj表示单位计算能耗系数,Psend i,j表示射频发射功率。
(3)优化目标函数
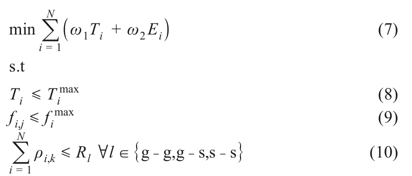
本文的目标是优化星地融合网络中的资源分配,使得在星地融合网络系统中所有网络切片业务的总开销最小(等效为最大化业务收益),表示为:

其中,约束1表示保证端到端时延不超过业务类型容忍阈值,约束2表示限制网络功能部署设备的CPU主频不超过硬件最大值,约束3表示确保所有网络切片的总数据流量不超过位于不同空间的各类型链路的带宽容量。
3.2 基于AI Agent协同的动态网络切片资源映射算法
基于上述系统模型,本文提出了一种DNRM-AIAC算法,旨在最小化星地融合网络中所有网络切片业务的总开销(包括时延和能耗)。该算法通过强化学习框架实现,利用多AI Agent系统模拟网络切片的动态资源分配过程。在算法实现方面,将网络切片数量、时延容忍阈值、网络功能数量、链路带宽、计算资源大小、学习率、折扣因子和探索率作为输入参数。在计算过程中,首先初始化每个网络切片的Q表为零矩阵,并设置学习率、折扣因子和探索率,通过多轮训练迭代,AI Agent观察当前状态并根据策略选择动作,执行动作以部署网络功能并分配计算资源;接着更新全局状态并计算奖励,根据奖励更新Q表;最后检查算法的收敛性,若Q表值的变化小于阈值,则终止训练。该算法的输出结果为每个网络切片的最优资源分配策略,包括每个网络功能在不同算力资源上的分配方案。算法实现伪代码如下所示。

3.3 仿真结果与分析
基于第3.1节构建的系统模型,本节对提出的DNRM-AIAC以及传统静态算法、启发式算法的开销性能进行仿真验证。考虑到星地融合网络的实际运行环境和资源差异性以及多要素服务的差异化需求,本文设计的仿真参数见表1。为了更直观地说明DNRM-AIAC的性能,本文充分考虑了星地融合网络的时空约束条件,以及星上资源与地面资源在丰富度上的显著差异,设计仿真场景如图3所示。
表1 仿真参数


图3 DNRM-AIAC算法仿真场景
首先,对DNRM-AIAC与启发式算法的收敛性进行仿真及对比。在仿真过程中,设置星地融合网络中网络切片数量为5,从迭代次数1开始,逐步增加迭代次数,观察算法总开销的变化情况,如图4所示。从图4中可以看出,在网络切片数量为5的情况下,随着迭代次数的逐渐增加,DNRM-AIAC的总开销呈现出明显的下降趋势,并最终逐步收敛到30左右;而启发式算法的收敛速度虽然较快,但容易陷入局部最优,最终收敛结果不如DNRM-AIAC。这表明所提出的DNRM-AIAC在经过一定次数的训练后,能够有效地找到较优的资源分配策略,使总开销趋于稳定,证明了本算法具有良好的收敛性。

图4 DNRM-AIAC算法与启发式算法总开销变化
为进一步评估DNRM-AIAC对星地融合网络的性能优化效果,本文将DNRM-AIAC在不同网络切片数量下的总开销与传统静态算法、启发式算法进行对比,如图5所示。从图5中可以看出,随着网络切片数量的增加,3种算法的总开销都呈上升趋势,这是因为网络切片数量的增加意味着需要分配更多的资源来满足业务需求。然而,在相同的网络切片数量条件下,DNRM-AIAC的总开销明显低于传统静态算法和启发式算法。具体而言,相较于静态算法,其可以降低21.03%的平均开销;相较于启发式算法,可以降低10.13%的平均开销。这一结果充分表明DNRM-AIAC在优化星地融合网络性能方面具有显著优势。这是因为,传统静态算法在资源分配时未能充分考虑网络的动态性和业务的多样性,导致资源利用率较低,开销较大;而启发式算法虽然在一定程度上能够适应网络的变化,但缺乏对全局信息的有效利用和对长期收益的优化考虑。相比之下,DNRM-AIAC通过强化学习框架,利用多AI Agent系统模拟网络切片的动态资源分配过程,能够根据网络状态和业务需求的变化实时调整资源分配策略,同时综合权衡时延和能耗等多方面因素,从而实现总开销的有效降低,保持较优的性能。

图5 不同算法总开销与网络切片数量的关系
对不同消息规模场景下DNRM-AIAC与传统静态算法、启发式算法的开销性能展开对比分析,结果如图6所示。从图6中可以看出,DNRM-AIAC在综合性能上的优势显著,其平均开销相对于静态算法降低23.04%,较启发式算法降低12.10%。从性能曲线演化趋势来看,该算法在处理不同量级消息时均能保持较优的资源分配策略,验证了动态资源管理机制在应对消息规模变化时的有效性与鲁棒性。

图6 不同算法总开销与消息规模的关系
4 结束语
本文提出的基于AI Agent的星地融合资源编排方案,采用智能化架构与动态算法,能有效应对异构资源管理、高动态拓扑及多业务QoS挑战。未来可进一步探索轻量化模型、安全增强,以及AI技术在跨域知识共享中的应用,优化算力网络与卫星通信的深度协同,推动星地融合网络向“智慧泛在”的6G愿景迈进。
如何学习大模型 AI ?
由于新岗位的生产效率,要优于被取代岗位的生产效率,所以实际上整个社会的生产效率是提升的。
但是具体到个人,只能说是:
“最先掌握AI的人,将会比较晚掌握AI的人有竞争优势”。
这句话,放在计算机、互联网、移动互联网的开局时期,都是一样的道理。
我在一线互联网企业工作十余年里,指导过不少同行后辈。帮助很多人得到了学习和成长。
我意识到有很多经验和知识值得分享给大家,也可以通过我们的能力和经验解答大家在人工智能学习中的很多困惑,所以在工作繁忙的情况下还是坚持各种整理和分享。但苦于知识传播途径有限,很多互联网行业朋友无法获得正确的资料得到学习提升,故此将并将重要的AI大模型资料包括AI大模型入门学习思维导图、精品AI大模型学习书籍手册、视频教程、实战学习等录播视频免费分享出来。

第一阶段(10天):初阶应用
该阶段让大家对大模型 AI有一个最前沿的认识,对大模型 AI 的理解超过 95% 的人,可以在相关讨论时发表高级、不跟风、又接地气的见解,别人只会和 AI 聊天,而你能调教 AI,并能用代码将大模型和业务衔接。
- 大模型 AI 能干什么?
- 大模型是怎样获得「智能」的?
- 用好 AI 的核心心法
- 大模型应用业务架构
- 大模型应用技术架构
- 代码示例:向 GPT-3.5 灌入新知识
- 提示工程的意义和核心思想
- Prompt 典型构成
- 指令调优方法论
- 思维链和思维树
- Prompt 攻击和防范
- …
第二阶段(30天):高阶应用
该阶段我们正式进入大模型 AI 进阶实战学习,学会构造私有知识库,扩展 AI 的能力。快速开发一个完整的基于 agent 对话机器人。掌握功能最强的大模型开发框架,抓住最新的技术进展,适合 Python 和 JavaScript 程序员。
- 为什么要做 RAG
- 搭建一个简单的 ChatPDF
- 检索的基础概念
- 什么是向量表示(Embeddings)
- 向量数据库与向量检索
- 基于向量检索的 RAG
- 搭建 RAG 系统的扩展知识
- 混合检索与 RAG-Fusion 简介
- 向量模型本地部署
- …
第三阶段(30天):模型训练
恭喜你,如果学到这里,你基本可以找到一份大模型 AI相关的工作,自己也能训练 GPT 了!通过微调,训练自己的垂直大模型,能独立训练开源多模态大模型,掌握更多技术方案。
到此为止,大概2个月的时间。你已经成为了一名“AI小子”。那么你还想往下探索吗?
- 为什么要做 RAG
- 什么是模型
- 什么是模型训练
- 求解器 & 损失函数简介
- 小实验2:手写一个简单的神经网络并训练它
- 什么是训练/预训练/微调/轻量化微调
- Transformer结构简介
- 轻量化微调
- 实验数据集的构建
- …
第四阶段(20天):商业闭环
对全球大模型从性能、吞吐量、成本等方面有一定的认知,可以在云端和本地等多种环境下部署大模型,找到适合自己的项目/创业方向,做一名被 AI 武装的产品经理。
- 硬件选型
- 带你了解全球大模型
- 使用国产大模型服务
- 搭建 OpenAI 代理
- 热身:基于阿里云 PAI 部署 Stable Diffusion
- 在本地计算机运行大模型
- 大模型的私有化部署
- 基于 vLLM 部署大模型
- 案例:如何优雅地在阿里云私有部署开源大模型
- 部署一套开源 LLM 项目
- 内容安全
- 互联网信息服务算法备案
- …
学习是一个过程,只要学习就会有挑战。天道酬勤,你越努力,就会成为越优秀的自己。
如果你能在15天内完成所有的任务,那你堪称天才。然而,如果你能完成 60-70% 的内容,你就已经开始具备成为一名大模型 AI 的正确特征了。
这份完整版的大模型 AI 学习资料已经上传优快云,朋友们如果需要可以微信扫描下方优快云官方认证二维码免费领取【保证100%免费】

348

被折叠的 条评论
为什么被折叠?



