203.移除链表元素
思路:感觉没什么值得注意的点,最多就是设置一个临时变量temp来储存要删除的点,然后注意要将整个链表遍历完防止出现遗漏。
代码如下:
class Solution {
public:
ListNode* removeElements(ListNode* head, int val){
ListNode* dummy = new ListNode(0);
dummy->next = head;
ListNode* current = dummy;
while(current->next != nullptr){
if(current->next->val == val){
ListNode* temp = current->next;
current->next = current->next->next;
delete temp;
}
else{
current = current->next;
}
}
return dummy->next;
}
};
206.反转链表
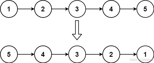
给你单链表的头节点 head ,请你反转链表,并返回反转后的链表。
示例1:

输入:head = [1,2,3,4,5] 输出:[5,4,3,2,1]
思路:要用到双指针,定义一个current指向头结点,定义一个pre指向NULL,同时定义一个临时变量temp指向current->next,后令current->next = pre,反转完后,pre和current同时前移一位,即pre = current,current = temp。
注意遍历条件,当current指向NULL时,遍历停止,整个链表已经反转。
代码如下:
/**
* Definition for singly-linked list.
* struct ListNode {
* int val;
* ListNode *next;
* ListNode() : val(0), next(nullptr) {}
* ListNode(int x) : val(x), next(nullptr) {}
* ListNode(int x, ListNode *next) : val(x), next(next) {}
* };
*/
class Solution {
public:
ListNode* reverseList(ListNode* head) {
ListNode* current = head;
ListNode* pre = NULL;
while(current != nullptr){
ListNode* temp = current->next;
current->next = pre;
pre = current;
current = temp;
}
return pre;
}
};
(注:可以思考一下递归算法怎么写,也是运用的双指针的思路)
707.设计链表
你可以选择使用单链表或者双链表,设计并实现自己的链表。
单链表中的节点应该具备两个属性:val 和 next 。val 是当前节点的值,next 是指向下一个节点的指针/引用。
如果是双向链表,则还需要属性 prev 以指示链表中的上一个节点。假设链表中的所有节点下标从 0 开始。
实现 MyLinkedList 类:
MyLinkedList()初始化MyLinkedList对象。int get(int index)获取链表中下标为index的节点的值。如果下标无效,则返回-1。void addAtHead(int val)将一个值为val的节点插入到链表中第一个元素之前。在插入完成后,新节点会成为链表的第一个节点。void addAtTail(int val)将一个值为val的节点追加到链表中作为链表的最后一个元素。void addAtIndex(int index, int val)将一个值为val的节点插入到链表中下标为index的节点之前。如果index等于链表的长度,那么该节点会被追加到链表的末尾。如果index比长度更大,该节点将 不会插入 到链表中。void deleteAtIndex(int index)如果下标有效,则删除链表中下标为index的节点。
具体没什么好说的,注意条件非法时候的判断即可。代码如下
// class ListNode{
// public:
// int val;
// ListNode* next;
// ListNode(int value) : val(value), next(nullptr) {}
// };
class MyLinkedList {
public:
ListNode* head;
int size;
MyLinkedList() {
head = nullptr;
size = 0;
}
int get(int index) {
if(index < 0 || index >= size){
return -1;
}
ListNode* current = head;
for(int i = 0; i < index; i++){
current = current->next;
}
return current->val;
}
void addAtHead(int val) {
ListNode* newNode = new ListNode(val);
newNode->next = head;
head = newNode;
size++;
}
void addAtTail(int val) {
ListNode* newNode = new ListNode(val);
ListNode* current = head;
if(!head){
head = newNode;
}
else{
while(current->next != nullptr) current = current->next;
current->next = newNode;
}
size++;
}
void addAtIndex(int index, int val) {
ListNode* newNode = new ListNode(val);
if(index > size){
return;
}
if(index == 0){
addAtHead(val);
}
else{
ListNode* current = head;
for(int i = 0; i < index - 1; i++){
current = current->next;
}
newNode->next = current->next;
current->next = newNode;
size++;
}
}
void deleteAtIndex(int index) {
if(index >= size){
return;
}
if(index == 0){
ListNode* toDelete = head;
head = head->next;
delete toDelete;
}
else{
ListNode* current = head;
for(int i = 0; i < index - 1; i++){
current = current->next;
}
ListNode* toDelete = current->next;
current->next = current->next->next;
delete toDelete;
}
size--;
}
};
/**
* Your MyLinkedList object will be instantiated and called as such:
* MyLinkedList* obj = new MyLinkedList();
* int param_1 = obj->get(index);
* obj->addAtHead(val);
* obj->addAtTail(val);
* obj->addAtIndex(index,val);
* obj->deleteAtIndex(index);
*/
1174

被折叠的 条评论
为什么被折叠?



