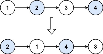
24.两两交换链表中的节点
给你一个链表,两两交换其中相邻的节点,并返回交换后链表的头节点。你必须在不修改节点内部的值的情况下完成本题(即,只能进行节点交换)。
示例 1:

输入:head = [1,2,3,4] 输出:[2,1,4,3]
思路:采用虚拟头结点的方法来完成此题目,并且注意交换先后顺序。代码如下:
/**
* Definition for singly-linked list.
* struct ListNode {
* int val;
* ListNode *next;
* ListNode() : val(0), next(nullptr) {}
* ListNode(int x) : val(x), next(nullptr) {}
* ListNode(int x, ListNode *next) : val(x), next(next) {}
* };
*/
class Solution {
public:
ListNode* swapPairs(ListNode* head) {
ListNode dummy(0);
dummy.next = head;
ListNode* current = &dummy;
while(current->next != NULL && current->next->next != NULL){
ListNode* temp1 = current->next;
ListNode* temp2 = current->next->next->next;
current->next = current->next->next;
current->next->next = temp1;
temp1->next = temp2;
current = current->next->next;
}
return dummy.next;
}
};
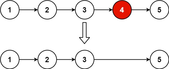
19.删除链表中的倒数第二个节点
给你一个链表,删除链表的倒数第 n 个结点,并且返回链表的头结点。
示例 1:

输入:head = [1,2,3,4,5], n = 2 输出:[1,2,3,5]
思路:采用双指针,并且注意要删除某个节点,我们一定需要一个指针指向被删除节点的前一个节点。
如何找到倒数第N个节点?这就要使用双指针,定义两个指针fast和slow都指向head头结点,让fast先走N步,之后fast和slow同步走,直到fast指向NULL,这时候slow就指向被删除的那个节点,但我们需要一个指针指向被删除的前一个,于是让fast先走N+1步即可。
/**
* Definition for singly-linked list.
* struct ListNode {
* int val;
* ListNode *next;
* ListNode() : val(0), next(nullptr) {}
* ListNode(int x) : val(x), next(nullptr) {}
* ListNode(int x, ListNode *next) : val(x), next(next) {}
* };
*/
class Solution {
public:
ListNode* removeNthFromEnd(ListNode* head, int n) {
ListNode dummy(0);
dummy.next = head;
ListNode* fast = &dummy;
ListNode* slow = &dummy;
while(n-- && fast != NULL) {
fast = fast->next;
}
fast = fast->next; // fast再提前走一步,因为需要让slow指向删除节点的上一个节点
while (fast != NULL) {
fast = fast->next;
slow = slow->next;
}
slow->next = slow->next->next;
return dummy.next;
}
};
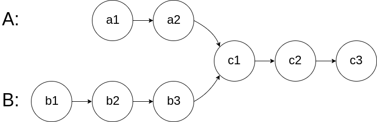
面试题 02.07.链表相交
给你两个单链表的头节点 headA 和 headB ,请你找出并返回两个单链表相交的起始节点。如果两个链表没有交点,返回 null 。
图示两个链表在节点 c1 开始相交:
题目数据 保证 整个链式结构中不存在环。
注意,函数返回结果后,链表必须 保持其原始结构 。
思路:先算出两个链表的长度,将两者尾部对齐,从对齐的节点开始比较,如果相等,输出那个节点,如果不等说明两链表不相交。

代码如下:
/**
* Definition for singly-linked list.
* struct ListNode {
* int val;
* ListNode *next;
* ListNode(int x) : val(x), next(NULL) {}
* };
*/
class Solution {
public:
ListNode *getIntersectionNode(ListNode *headA, ListNode *headB) {
ListNode* curA = headA;
ListNode* curB = headB;
int lenA = 0, lenB = 0;
while(curA != NULL){
lenA++;
curA = curA->next;
}
while(curB != NULL){
lenB++;
curB = curB->next;
}
curA = headA;
curB = headB;
if(lenA > lenB){
int diff = lenA - lenB;
while(diff--){
curA = curA->next;
}
while(curA !=NULL){
if(curA == curB) return curA;
curA = curA->next;
curB = curB->next;
}
}
else{
int diff = lenB - lenA;
while(diff--){
curB = curB->next;
}
while(curB != NULL){
if(curA == curB) return curA;
curA = curA->next;
curB = curB->next;
}
}
return NULL;
}
};
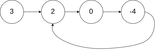
142.环形链表 Ⅱ
给定一个链表的头节点 head ,返回链表开始入环的第一个节点。 如果链表无环,则返回 null。
如果链表中有某个节点,可以通过连续跟踪 next 指针再次到达,则链表中存在环。 为了表示给定链表中的环,评测系统内部使用整数 pos 来表示链表尾连接到链表中的位置(索引从 0 开始)。如果 pos 是 -1,则在该链表中没有环。注意:pos 不作为参数进行传递,仅仅是为了标识链表的实际情况。
不允许修改 链表。
示例 1:

输入:head = [3,2,0,-4], pos = 1 输出:返回索引为 1 的链表节点 解释:链表中有一个环,其尾部连接到第二个节点。
建议直接看文章和视频讲解后自己模拟一下判断环以及找到环入口的过程。代码如下:
/**
* Definition for singly-linked list.
* struct ListNode {
* int val;
* ListNode *next;
* ListNode(int x) : val(x), next(NULL) {}
* };
*/
class Solution {
public:
ListNode *detectCycle(ListNode *head) {
ListNode* fast = head;
ListNode* slow = head;
while(fast != NULL && fast->next != NULL){
fast = fast->next->next;
slow = slow->next;
if(fast == slow){
ListNode* index1 = fast;
ListNode* index2 = head;
while(index1 != index2){
index1 = index1->next;
index2 = index2->next;
}
return index1;
}
}
return NULL;
}
};


被折叠的 条评论
为什么被折叠?



