知识点:
- 相关系数热力图的绘制与解读
- 子图布局的创建与使用
- enumerate()函数的实用技巧
学习目标: 掌握多变量关系的可视化方法,学会使用子图进行批量绘图。
一、数据预处理回顾
在进行可视化分析之前,我们需要先完成数据的基本清洗和转换工作。


1.1 特征映射准备
对于包含字符串的分类特征,需要先转换为数值型才能进行后续的相关性分析。

1.2 使用嵌套字典进行特征映射
为什么使用嵌套字典?
- 集中管理多个特征的映射规则
- 代码结构清晰,易于维护
- 方便批量处理多个特征


1.3 特征名中文映射
为了更好地理解数据,我们将英文特征名映射为中文特征名。
为什么需要中文映射?
- 提高可读性,更容易理解特征含义
- 方便团队沟通和报告展示
- 在热力图等可视化中展示更友好


二、相关系数热力图
2.1 什么是相关系数热力图?
热力图(Heatmap)是一种通过颜色深浅来展示数据矩阵的可视化方法。在数据分析中,我们常用热力图来展示特征之间的相关系数矩阵。
相关系数的含义:
- 取值范围: [-1, 1]
- 接近1: 强正相关(一个增加,另一个也增加)
- 接近-1: 强负相关(一个增加,另一个减少)
- 接近0: 无线性相关关系
注意事项:
- 热力图适合展示连续变量之间的关系
- 对于离散变量,相关系数的意义需要谨慎解读
- 本例中为了演示方便,对所有数值型特征都进行了计算



皮尔逊相关系数(Pearson Correlation Coefficient),通常用符号 r 表示,是衡量两个连续变量(例如 X 和 Y)之间线性关系强度和方向的指标。
以下是它的公式:
📈 皮尔逊相关系数公式
1. 协方差和标准差形式
这是最容易理解其统计意义的形式:
rX,Y=Cov(X,Y)σXσY
其中:
- Cov(X,Y) 是 X 和 Y 的协方差。
- σX 是 X 的标准差。
- σY 是 Y 的标准差。
这个公式本质上就是标准化(除以标准差)后的协方差。
2. 计算公式(样本)
这是在实际计算中更常用的展开形式:
r=∑i=1n(xi−x¯)(yi−y¯)∑i=1n(xi−x¯)2∑i=1n(yi−y¯)2
其中:
- n 是样本点的数量。
- xi 和 yi 是第 i 个样本的观测值。
- x¯ 是 X 的平均值(均值)。
- y¯ 是 Y 的平均值(均值)。
🔢 系数解读
皮尔逊相关系数 r 的取值范围是 [−1,1]:
- r=1: 完美的正线性相关(X 增大,Y 也增大)。
- r=−1: 完美的负线性相关(X 增大,Y 反而减小)。
- r=0: 几乎没有线性相关关系。
简而言之,它告诉你两件事:方向(正相关还是负相关)和力量(相关程度有多强)。
您想让我提供一个简单的数值例子,来演示如何使用这个公式计算相关系数吗?
2.2 不同配色方案的热力图
不同的配色方案适用于不同的场景,下面展示几种常用的配色方案。
常用配色方案:
- coolwarm: 冷暖色调,适合展示正负相关(蓝色表示负相关,红色表示正相关)
- RdYlGn: 红黄绿配色,直观展示好坏程度
- viridis: 色盲友好,从紫色到黄色的渐变
- plasma: 鲜艳的紫红黄配色
- YlOrRd: 从黄色到橙色到红色,适合展示强度
.3 热力图参数说明
主要参数解释:
annot=True: 在每个单元格中显示数值cmap: 配色方案vmin, vmax: 设置颜色条的最小值和最大值fmt='.2f': 数值格式,保留2位小数linewidths: 单元格之间的线宽center: 设置颜色的中心值(通常设为0)square=True: 设置单元格为正方形cbar_kws: 颜色条的参数设置
三、子图绘制
3.1 什么是子图?
子图(Subplot)是指在一个图表窗口中同时显示多个独立的图表。通过子图布局,我们可以:
- 在一张图中展示多个变量的分布
- 方便对比不同特征的特征
- 节省空间,提高可视化效率
常用方法:
plt.subplots(): 创建子图网格enumerate(): 遍历列表时同时获取索引和值
import numpy as np
import matplotlib.pyplot as plt
# -----------------
# 1. 创建模拟数据
# -----------------
# 子图A的数据:正弦波
X_sin = np.linspace(0, 2 * np.pi, 100)
Y_sin = np.sin(X_sin)
# 子图B的数据:随机散点
X_scatter = np.random.rand(50)
Y_scatter = np.random.rand(50)
# 子图C的数据:条形图
categories = ['A', 'B', 'C', 'D']
values = [15, 30, 10, 25]
# 子图D的数据:线性衰减
X_linear = np.arange(10)
Y_linear = 10 - X_linear * 0.8 + np.random.randn(10) * 0.5
# -----------------
# 2. 绘制子图(核心步骤)
# -----------------
# 使用 plt.subplots() 创建 2x2 的子图布局
# fig: 代表整个画布(Figure)
# axes: 是一个包含所有子图坐标轴对象的 NumPy 数组
fig, axes = plt.subplots(
nrows=2, # 行数 (Number of Rows)
ncols=2, # 列数 (Number of Columns)
figsize=(10, 8), # 整个画布的大小 (10英寸宽, 8英寸高)
dpi=100 # 分辨率,确保清晰度
)
# -----------------
# 3. 分别在每个子图上绘图和设置属性
# -----------------
# 子图 A (位于第一行第一列:axes[0, 0]) - 绘制折线图
ax_A = axes[0, 0]
ax_A.plot(X_sin, Y_sin, color='tab:blue', label='Sin Wave')
ax_A.set_title('(a) 正弦波变化', fontsize=14, fontweight='bold')
ax_A.set_xlabel('时间 (t)')
ax_A.set_ylabel('振幅 (A)')
ax_A.legend()
# 子图 B (位于第一行第二列:axes[0, 1]) - 绘制散点图
ax_B = axes[0, 1]
ax_B.scatter(X_scatter, Y_scatter, c=X_scatter, cmap='viridis', alpha=0.7)
ax_B.set_title('(b) 随机散点分布', fontsize=14, fontweight='bold')
ax_B.set_xlabel('特征 X')
ax_B.set_ylabel('特征 Y')
# 子图 C (位于第二行第一列:axes[1, 0]) - 绘制条形图
ax_C = axes[1, 0]
ax_C.bar(categories, values, color='tab:orange')
ax_C.set_title('(c) 分类计数', fontsize=14, fontweight='bold')
ax_C.set_xlabel('类别')
ax_C.set_ylabel('数量')
# 子图 D (位于第二行第二列:axes[1, 1]) - 绘制带误差的折线图
ax_D = axes[1, 1]
ax_D.errorbar(X_linear, Y_linear, yerr=0.5, fmt='-o', color='tab:red', capsize=4)
ax_D.set_title('(d) 线性衰减趋势', fontsize=14, fontweight='bold')
ax_D.set_xlabel('迭代次数')
ax_D.set_ylabel('结果值')
# -----------------
# 4. 调整整体布局
# -----------------
# 自动调整子图参数,使之填充整个 figure 区域,避免标签重叠
fig.tight_layout(pad=3.0)
# 给整个画布添加一个总标题
fig.suptitle('论文多子图绘制示例', fontsize=18, fontweight='bold', y=1.02)
# -----------------
# 5. 显示和保存
# -----------------
plt.show()
# 如果要保存高质量图片,建议使用矢量格式,例如:
# fig.savefig('my_subplots.pdf', format='pdf', bbox_inches='tight')
# fig.savefig('my_subplots.png', dpi=300) # 位图保存

3.2 enumerate()函数介绍
在遍历列表时,我们经常需要同时获取元素的索引和值。enumerate()函数可以优雅地实现这个需求。
基本用法:
for index, value in enumerate(list):
# index是索引,value是值
为什么需要索引?
- 在子图绘制中,需要用索引来定位每个子图的位置
- 可以根据索引进行条件判断或特殊处理

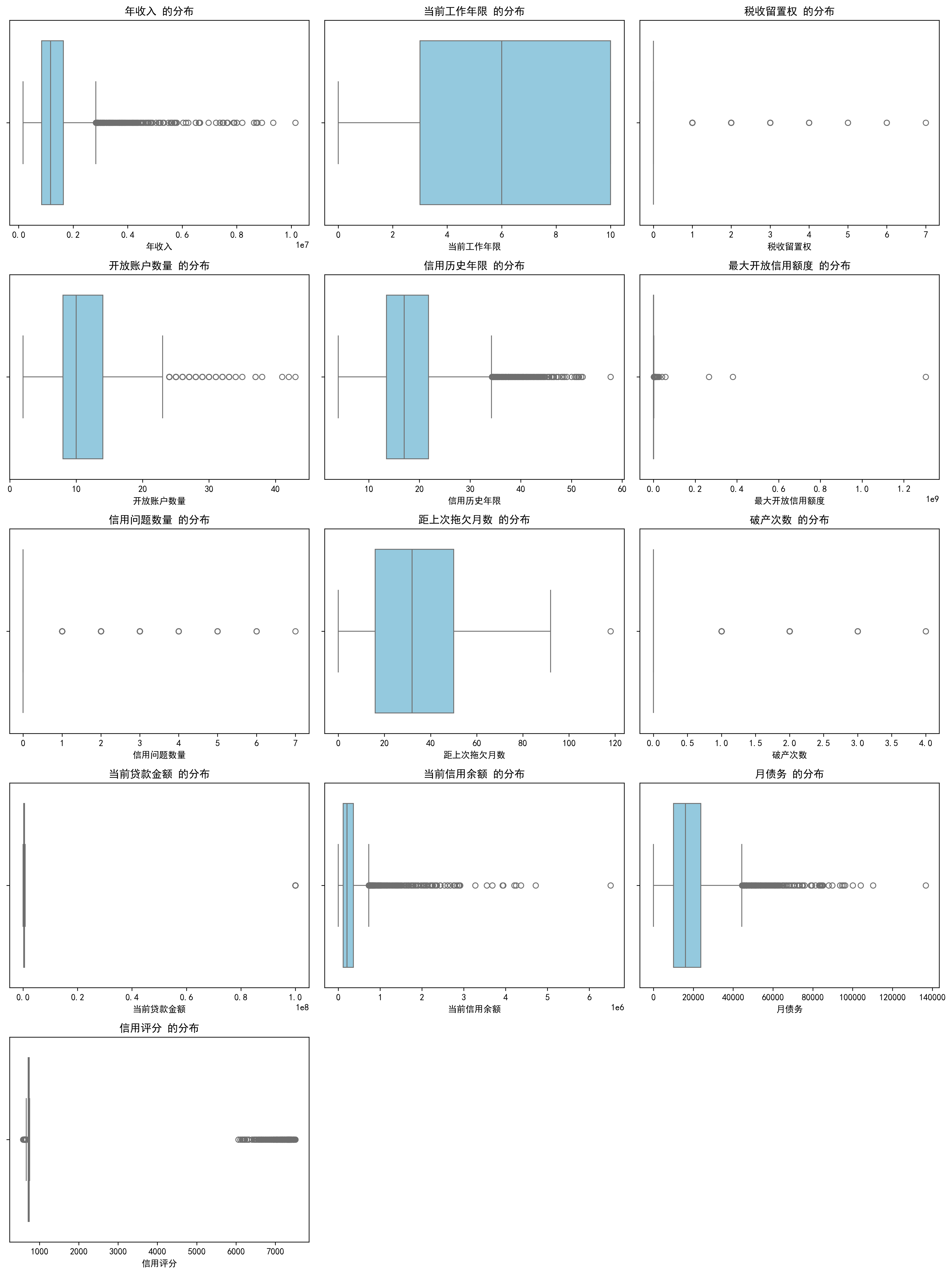
3.3 批量绘制连续变量箱线图
现在我们使用子图来批量绘制所有连续变量的箱线图,观察每个特征的分布特征。
箱线图的作用:
- 展示数据的中位数、四分位数
- 识别异常值(outliers)
- 了解数据的分散程度


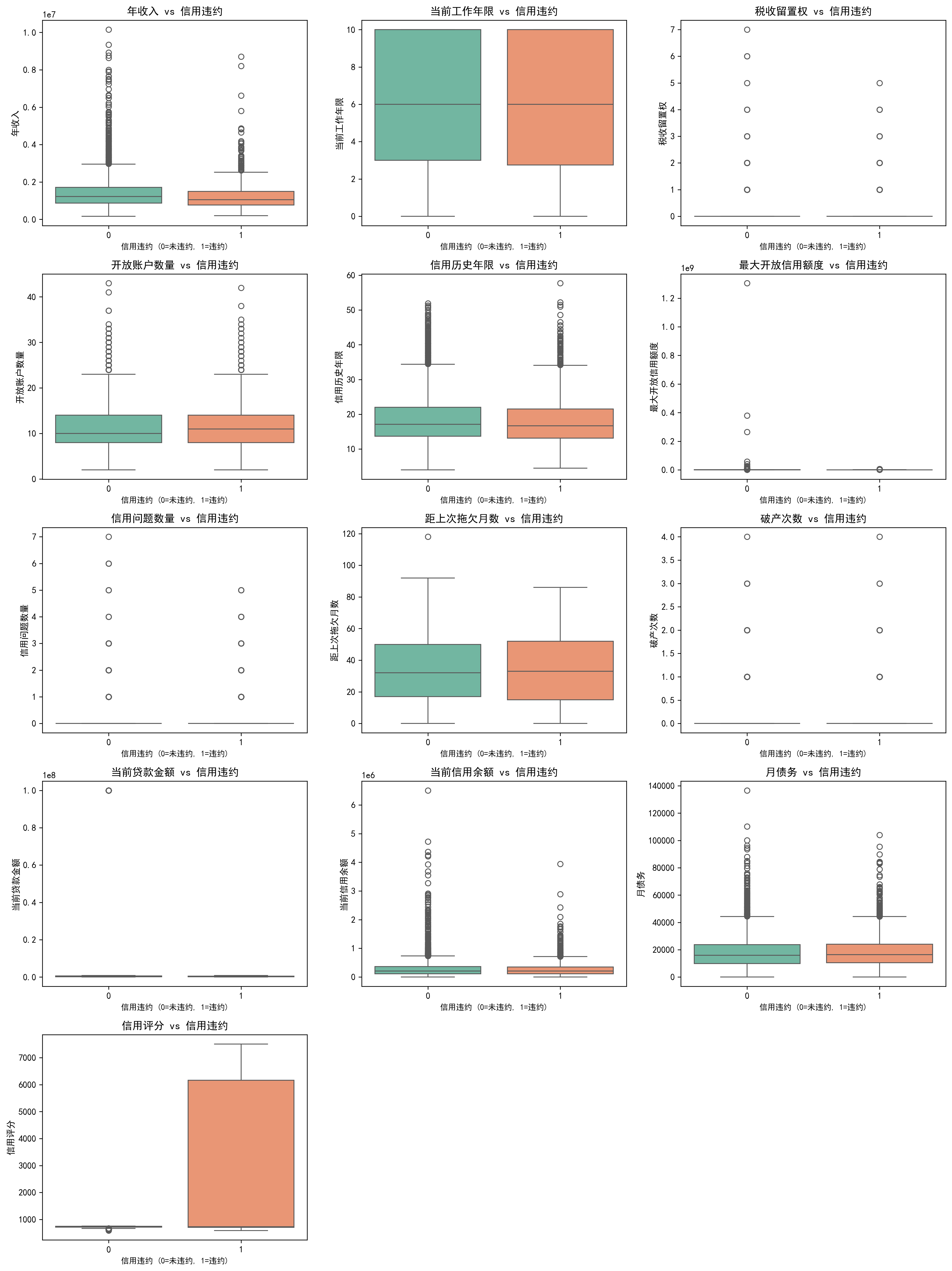
3.4 按信用违约分组的箱线图
我们还可以进一步细化,按照信用违约状态来分组显示每个特征的分布,这样可以更好地观察特征与目标变量的关系。


3.5 代码解析
关键代码说明:
-
计算子图布局:
n_cols = 3 # 每行3列 n_rows = (n_features + n_cols - 1) // n_cols # 向上取整
-
创建子图网格:
fig, axes = plt.subplots(n_rows, n_cols, figsize=(15, n_rows * 4)) axes = axes.flatten() # 转为一维数组
-
使用enumerate遍历:
for index, feature in enumerate(continuous_features_cn): sns.boxplot(..., ax=axes[index]) # 使用索引定位子图 -
隐藏多余子图:
for i in range(n_features, len(axes)): axes[i].set_visible(False)

707

被折叠的 条评论
为什么被折叠?



