决策树
一颗决策树重要组成部分,分为根节点、非叶子节点,叶子节点,分支。
根节点:第一个节点
非叶子节点(决策点):代表测试的节点,对数据属性的测试
分支:代表测试的条件
叶子节点:代表分类后所获得的分类标记,最后的结果
决策树的构造过程:
构造决策树的过程分为训练阶段和测试阶段;训练阶段需要从给定的训练集数据中构造一颗决策树;测试阶段是将测试数据在构造出的决策树上进行测试。
那重点问题就来了,如果要构造一颗决策树,那决策树中的根节点如何进行确定呢?
衡量标准–熵
熵代表一个物体内部的混乱程度,对应到我们的数据中就是数据的混乱程度,如果数据越纯,混乱程度就越小,熵值越小;如果数据越杂乱,混乱程度就越大,熵值越大。熵值的大小就代表不确定性越大。
熵的公式

pi为i的概率
数据集A={1,1,1,1,1,1,2,2,2,3},出现1的概率是6/10,2的概率是3/10,3的概率是1/10,根据熵的计算公式:

A数据集的熵等于 1.295
数据集B={1,1,1,1,1,2,2,2,3,4},出现1的概率是5/10,2的概率是3/10,3的概率是1/10,4的概率是1/10;根据熵的计算公式:

B数据集的熵等于 1.685
对比而言,B的熵>A的熵,B的数据混乱程度大于A。
决策树的目的就是为了尽可能的用少的步骤得到好的结果。
通常我们可以算出原label的熵值,然后算出不同属性对应label的熵值;用原熵-(属性中不同值对应label的熵值*不同值得概率之和),这样就可以算出信息增益。
有些无关属性可能熵值为0,是的信息增益非常大;为了避免这种情况的干扰,引入信息增益率。
信息增益率= 信息增益/属性自身熵值
属性自身熵是不同值得熵值,可能还是比较难理解。那就用最经典的天气和打球的例子吧

样本中有14条数据,yes有9个,no有5个,那么原熵等于

结果为:0.940
举一个outlook的例子,

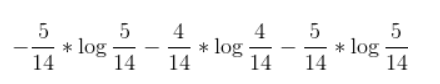
outlook属性的自身分为三种值,分别为sunny,overcast,rainy,它们对应的概率是5/14,4/14,5/14
,outlook的自身熵为

结果为:1.577
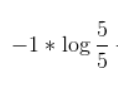
outlook中sunny的熵:
结果为:0.971
outlook中overcast的熵:

结果为:0
outlook中rainy的熵:

结果为:0.971
属性中不同值对应label的熵值*不同值得概率之和=5/140.971+04/14+5/140.971=0.693
outlook信息增益:=原熵(0.94)-属性中不同值对应label的熵值不同值得概率之和(0.693)=0.247
outlook信息增益率=outlook信息增益(0.247)/outlook的自身熵(1.577)=0.157
算清楚一个属性的信息增益和信息增益率之后,就可以算其他的,将算出的结果进行比较就可以选出根节点。其他的节点也可以通过该方法找出来。
除了上熵还可以用Gini系数来表示

决策树构造好之后,如何评价一个决策树可以用评价函数:C(T)=

Nt:叶子节点中样本数量
H(t):叶子节点的熵值
优化决策树的两种方式:
预剪枝:在构建决策树的过程时,提前停止剪枝。(可以设置决策树的深度)
后剪枝:决策树构建完成之后,然后剪枝
评价剪枝效果函数C(t)+&|Tleaf| ,前面的是评价函数,后面的是叶子节点的个数。叶子节点个数越多,损失越大。(&可以自行指定)
个人学习笔记,有不正确的地方欢迎大家指出,相互学习!
本文介绍了决策树的基本结构和构造过程,重点讲解了熵的概念及其在决策树构建中的作用,包括熵的计算公式和信息增益的计算方法。通过实例展示了如何选择最佳分割属性,并提到了使用信息增益率避免无关属性的影响。同时,文章还提及了决策树的评价函数和优化策略,如预剪枝和后剪枝。
948

被折叠的 条评论
为什么被折叠?



