在做热分析测试时,科学指南针检测平台工作人员在与很多同学沟通中了解到,好多同学对热分析测试不太了解,针对此,科学指南针检测平台团队组织相关同事对网上海量知识进行整理,希望可以帮助到科研圈的伙伴们;
热重分析法简介:热重分析法(Thermogravimetric Analysis,TG或TGA)是在程序控制温度下,测量物质的质量与温度或时间的关系的方法。通过分析热重曲线,我们可以知道样品及其可能产生的中间产物的组成、热稳定性、热分解情况及生成的产物等与质量相联系的信息。热重分析法主要应用在金属合金,地质,高分子材料研究,药物研究等方面。
下面小编根据几个文献案例来介绍热重分析法在能源与环境科研论文中的应用。
案例一:
用热重分析法来研究
竹子和甘蔗渣两种物质的燃烧过程
1.题目及作者:

2.文献收录:Applied Energy
DOI:10.1016/j.apenergy.2015.09.026
3.摘要:

该文献研究了在5、10、20、30和40℃/min5种不同升温速率下,对竹子和甘蔗渣进行了热重分析(TGA)。采用交会法(IM)和偏差法(DM)对两种生物质的着火温度进行了分析,采用IM和转换法(CM)对两种生物质的燃尽温度进行了分析。
在IM和CM中,着火和燃尽温度均随升温速率的增加而增加,这是由于生物质颗粒在高升温速率下存在明显的热滞后。用DM测得的点火温度低于用IM测得的点火温度,且温度与升温速率无关。IM测定的燃尽温度与CM测定的燃尽温度相近,而两种生物质样品的燃尽温度差异较小。从IM上测得的两种生物量的着火温度在250 ~ 300℃之间,燃尽温度接近500℃。
总的来说,在确定生物量的着火温度时,推荐使用IM,而在接近燃尽温度时,CM是一种可行且简单的方法。而TGA升温速率建议采用20-30℃/min,因为该速率操作准确且省时。
4.测试仪器介绍:

该文献热分析采用的设备是PerkinElmerDiamond TG/DTA。
5.测试谱图:










6.测试分析:



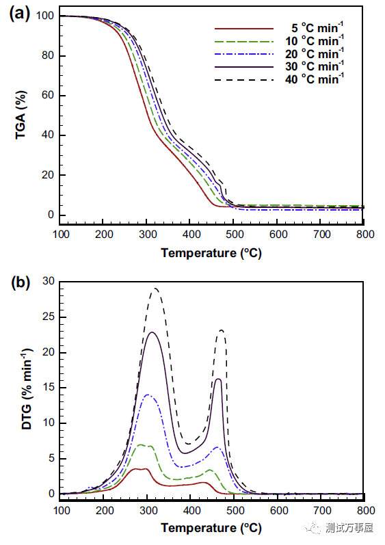
竹子在空气中的热降解
图2a为5种不同升温速率下竹子在空气中的TGA曲线,对应的DTG曲线为图2b和图2c。通过图2和表3可以看出在升温速率20-40℃/min时,DTG曲线分为了两个主峰,第一个峰的温度在277-319℃之间,第二个峰在428-471℃之间。最先出现的主峰是挥发性物质的燃烧,主要来自于全纤维素的热分解和木质素的部分分解。第二个主峰主要来自于剩余的木质素和炭的燃烧。在升温速率为5和10℃/min时,第一个峰进一步分裂成两个小峰,分别对应于半纤维素和纤维素的燃烧。
图2b中,第一个主峰的强度范围为3.53%-29.02%/min,对升温速率敏感,第二个主峰也表现出类似的现象。然而,如图2c所示,当用%℃-1为单位时,第一个峰值对升温速率不敏感,强度在0.71-0.73%之间。由此可知,加热速率对第一个主峰的燃烧强度影响较小,除了加热速率在30和40℃/min之外,在第二个主峰上也观察到类似行为。这意味着木质素或焦炭的燃烧在这两种升温速率下得到了强化。由表3看出,随着升温速率的增加,主峰的温度也逐渐升高。这是由于,较高的升温速率导致热传递到样品颗粒有热滞后现象,从而延迟了挥发性和碳化物的燃烧。图2b和2c所示,可以看出升温速率为5℃和10℃/min时,热滞后现象较轻,使得半纤维素和纤维素的燃烧可以分别显示出来。由此可知,在高升温速率下,生物质燃烧以表面氧化为主,在低升温速率下,生物质传热起重要作用。

竹子的着火和燃尽温度
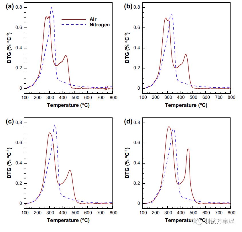
IM和DM法得到的竹子着火温度如表4所示。IM竹子着火温度在241-265℃范围内,处于生物量的正常着火温度。由于第一个主峰的温度随升温速率增大而增大,所以升温速率增大时,着火温度也随之增大。不同升温速率下竹子在空气和氮气中的DTG曲线如图3所示。而DM法,竹子的着火温度为172-233℃之间,其实测值低于基于IM法的实测值。DM测得的着火温度低于IM的原因是,DM评价的着火温度主要来自于半纤维素的反应,而半纤维素比纤维素和木质素的反应性更强。
竹子的燃尽温度在456-512℃之间,而使用CM法测得的燃尽温度为460-520℃之间。与着火温度相似,基于IM和CM法测得的燃尽温度随着升温速率的增加而增加,说明颗粒表面的快速升温导致生物质颗粒热滞后较大,从而导致完全燃烧时间延长。根据CM测量的燃尽温度鱼基于IM测量的接近,表明CM法能够准确预测生物质的燃尽温度,99%生物质转化是确定生物质燃尽温度的合适点。


甘蔗渣在空气中的热降解
五种不同加热速率下甘蔗渣的TGA和两种DTG曲线如图4所示。所有的DTG曲线也分为两个峰,随着升温速率的增加,峰的温度向右移动,与竹子热降解曲线相似。图4b中,当加热速率从5℃/min增加到40℃/min时,图中第一个峰值的强度从9.72%/min增加到48.01%/min,比竹子的要高得多,原因是甘蔗渣中较高的挥发成分和全纤维素。由于蔗渣木质素含量较低,会减少第一个峰值后的炭产量,第二个峰值的强度便小于第一个峰值。与竹子第一个峰在低升温速率会分裂成两个小峰不同,蔗渣的DTG曲线的第一个峰值总是伴随着一个肩膀,后者是半纤维素燃烧的结果。第一个峰的强度高于肩峰和第二个峰的强度,可能是由于蔗渣中纤维素的结晶结构明显导致。因为两个DTG峰的平均温差,竹子为155℃,甘蔗渣为115℃,说明甘蔗渣的燃烧效率高于竹子。

甘蔗渣的着火和燃尽温度
生物质燃烧始于全纤维素和挥发性物质的燃烧。根据IM法,甘蔗渣的着火温度在281-316℃之间,随着升温速率增加,着火温度也呈上升趋势(表4)。原因可能是甘蔗渣中明显地结晶纤维素所致。以DM法测得的甘蔗渣的着火温度在201-243℃之间,也低于IM法测得的甘蔗渣的着火温度,这点与竹子的结果相似。不同加热速率下甘蔗渣在空气和氮气中的DTG分布如图5所示。采用IM法,蔗渣的燃尽温度在462-512℃之间,而采用CM法测得的燃尽温度为455-517℃之间。甘蔗渣的燃尽温度略高于竹子,两种方法得到的燃尽温度接近,说明CM法是测定甘蔗渣燃尽温度的可行工具。
7.文献小结:
本文献采用热重分析法研究竹子和甘蔗渣的燃烧行为,测定其着火点和燃尽温度。
案例二:
用热重分析法研究
环境中聚乙烯微塑料的热分解
1.题目及作者:

2.文献收录:Water Research
DOI: 10.1016/j.watres.2015.09.002
3.摘要:

微塑料是从聚合物碎片和工业生产中进入环境的直径小于5mm的小聚合物颗粒。因此需要一种方法来识别和量化各种环境样品中的微塑料及其可靠的浓度值。本文献的方法是通过热重量分析(TGA),然后连接到固相吸附器,接着用热脱附气相色谱-质谱(TDS-GC-MS)对分解物进行分析。这个方法相比其他色谱方法,可以分析相对较高的样品质量,这使得在小范围内测量非均匀的复杂基质成为了可能。
4.测试仪器介绍:

样品测试采用配备自动取样器的单臂水平热天平TGA/SDTA 851 (Metter/Toledo, Gieben, 德国)进行,样品在氮气条件下,升温速率为10℃/min,从25℃升温至600℃。
5.测试谱图:

6.测试分析:

热分解行为
图1所示是环境样品中PE的热重(TG)和微商热重(DTG)曲线。所有的环境样品由于水的释放,都在100℃显示出一个小的,低温分解的台阶。主要的分解步骤开始于约200℃,结束于550℃。所有的材料的残留物都取决于它们的来源,包括涡轮型炭和/或无机组分。单独的PE在400-510℃之间分解。PE是在其主链随机切断进行分解,它通过释放小脂肪链分解,没有产生残留。因为环境样品的热分解过程与PE重叠,所以不可能将聚合物热分解过程的TGA信号与环境基质分解过程的TGA信号进行热分离。因此只有通过测试PE的热分解产物的识别和量化,才能区别于环境热分解的产物。
7.文献小结:本文献通过热重量分析和其它表征手段相结合,通过PE热分解产物来确定环境样品中PE的浓度。
案例三:
通过热重分析法
研究大豆秸秆的热解动力学
1. 题目及作者:

2. 文献收录:Fuel
DOI: 10.1016/j.fuel.2015.12.011
3. 摘要:

本文献采用非等温热重分析法(TGA)对大豆秸秆进行热解实验,以确定其热解行为。热解实验在惰性条件下进行,以不同的升温速率(5,10,20,30K/min)进行。文献还通过三种不同的动力学模型,KAS模型、OFW模型和Coats-Redfern方法对大豆秸秆TGA数据进行了动力学参数的计算。并利用KAS和OFW模型对大豆秸秆热分解过程进行了模拟,与实验数据有较好的吻合。
4. 测试仪器介绍:

热解实验在同步差示热重分析仪中进行,该分析仪结合了热通量型DSC和TGA(Mettler Toledo TGA/DSC Stare ESI-0910, 瑞士, 测量精度±0.15K,DSC灵敏度±0.1mW,微天平灵敏度±0.1μg)
5. 测试谱图:

6.测试分析:


分别以5,10,20和30K/min的升温速率对大豆秸秆进行热解,得到的TG和DTG曲线如图2所示。大豆秸秆分解区可分为三个阶段。第一个范围为383-453K,与样品中所含水分相对应,这是由于大豆秸秆的吸湿性和极少的挥发物造成的。主要的分解步骤发生在453-673K之间,613K左右出现了一个强峰,FTIR证实这是由于半纤维素和纤维素分解造成的。该阶段之后,在673-1173K之间出现了一个肩峰,这应该与木质素的分解有关。
如图2所示,升温速率的增加会导致热降解过程向高温方向的减速,原因是由于热滞后的增加,高的升温速率会使样品在短时间内达到给定的温度。随着升温速率的增加,挥发物的产率略有下降。在453-773K的温度范围内,5,10,20,30K/min升温速率下,挥发物率分别为76.3%,72.1%,68.7%和67.5%。另一方面,升温速率的降低只是使峰值温度降低,并没有改变热分解曲线,原因可能是较低的升温速率比较高的升温速率时拥有较高的热交换效率。这与Kim等人提出的“由于热能的增加,分解的最大速率随着加热速率的增加而增加”的结论一致。
7.文献小结:
本文献利用热重分析法得到了大豆秸秆热分解的过程及其动力过程。
总结:在这三篇能源环境研究领域文献中,热重分析法在科研过程中均作为重要的分析和表征工具,为论文结论的得出给出了重要的数据支撑,尤其在热分解的动力学过程中更是有着其很大的优势。
9月27日晚7点科学指南针特邀科研大咖,教你如何高效阅读文献,如何写论文,投稿等等,老师也会在弹幕以及评论区,回答各位网友问出的问题。(现场还会给大家带来京东卡,以及现金红包雨、课程测试优惠券等福利,大家一定要按时前往观看哦!)

本文介绍了热重分析法(TGA)在能源和环境研究中的应用,通过案例分析了竹子和甘蔗渣的燃烧过程、聚乙烯微塑料的热分解以及大豆秸秆的热解动力学。TGA作为一种有效的表征工具,能够提供关于生物质燃烧、聚合物热分解和生物质热解的重要信息,对于理解这些过程的动力学和优化能源利用具有重要意义。
8804

被折叠的 条评论
为什么被折叠?



