1. 为什么需要标准化流
深度学习很多任务本质是学习复杂分布(probability distribution),例如:
生成模型:学习真实图片分布
概率推断:计算似然 p(x)
采样:从 p(x)生成新的样本
困难:
1.真实分布 p(x) 复杂,直接建模难。
2.生成模型(VAE、GAN、Diffusion)通常无法直接计算精确似然 p(x)。
核心想法:
我们不直接建模复杂分布,而是:
从一个简单分布(如高斯分布 pz(z))采样
通过一个可逆的神经网络变换 把简单分布变换到复杂分布
这就是标准化流:
像我们熟悉的 GAN (生成对抗网络) 或者 VAE (变分自编码器) 都是实现这个目标的流行方法。而标准化流则从一个非常独特的角度切入,它基于一个经典的数学原理:变量替换公式 (Change of Variables Formula)。
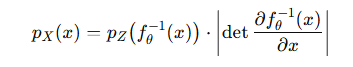
我们不去直接对复杂的目标分布 pX(x) 建模,而是从一个简单的基础分布 pZ(z) (比如标准正态分布)出发,然后学习一个映射函数 x=f(z),这个函数可以将从 pZ(z) 中采样的点 z 变换成符合目标分布 pX(x) 的点 x。
用一系列可逆且可计算Jacobian行列式的变换,把一个简单分布“流”到一个复杂分布。
2. 数学公式推导
简单讲解一下雅可比行列式:
假设你有一个函数 x=2z。这个函数把整条数轴拉长了两倍。
现在,在 z 的数轴上,区间 [4,5] 的长度是 1。经过 x=2z 变换后,它变成了 x 数轴上的区间 [8,10],长度是 2。
如果把概率想象成撒在数轴上的一层沙子。原来在 [4,5] 区间的沙子,现在被摊薄了,铺在了长度是原来两倍的 [8,10] 区间里。为了保证沙子的总量不变(总概率为1),新区间里沙子的密度(概率密度)就必须变成原来的一半。
这个“一半”,就是校正因子。在微积分里,这个拉伸比例就是导数 2。而我们需要的密度校正因子就是1/2。
雅可比行列式,就是这个“拉伸/压缩校正因子”在高维空间里的推广。 它告诉你,在 z 点附近的一小块“体积”,在经过函数 f 变换到 x 点附近后,被拉伸或压缩了多少倍。我们用它来校正概率密度,确保概率守恒。
Jacobian矩阵描述的是“小变化怎么被放大或压缩”。
假设:
潜变量 (例如标准正态分布
)
观测变量 (神经网络变换)
f 可逆,逆函数
一维情况(最简单):
假设 x=f(z),而且 f可逆
那么
由概率守恒公式:

但
所以:

再写成log形式:

这个就是公式的雏形。
多维情况:
如果 x,z 是向量,则体积变化由 Jacobian矩阵 描述:

微小体积变化:

同样概率守恒:

最后:

根据概率密度的变量变换公式:

为了方便计算,我们通常使用对数形式,因为对数似然更容易优化:

pX(x) 是我们想求的,数据点 x 在目标分布中的概率密度。
det(⋅) 代表行列式。
:是逆函数 f^-1 关于 x 的雅可比矩阵 (Jacobian Matrix),它描述了当 x 发生微小变化时,z 是如何相应变化的。
3. 多层流(Flow)
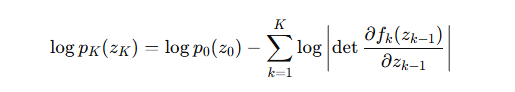
单层变换能力有限,所以我们用多层叠加,串联多个变换。
我们可以设计一系列相对简单但可逆的变换 f1,f2,…,fK。我们让原始的简单分布像水流一样,依次穿过这些变换:

最终输出 。
这个由多个连续变换构成的序列,就被形象地称为“流” (Flow)。最终的变换函数 f=fK∘⋯∘f2∘f1 也是可逆的,它的雅可比行列式根据链式法则,等于每个变换的雅可比行列式的乘积。
在对数空间里,这就变成了一个非常优美的加法:

这个公式就是我们训练标准化流模型的目标函数。我们通过最大化训练数据在这个模型下的对数似然,来学习所有变换函数 f1,…,fK 中的参数。
4. 关键设计:如何保证可逆+高效Jacobian
深度学习的网络通常很复杂,直接计算Jacobian行列式成本极高( O(n^3))。
NF的核心创新是特殊结构的变换,既能表示复杂分布,又能高效计算行列式。
一个非常巧妙的设计叫做耦合层 (Coupling Layers),代表作有 RealNVP, NICE, Glow 等模型。它的思想如下:
假设输入向量 ,把它拆成两部分:
![]()
x_a:保持不变
x_b:被变换,但变换参数由 决定
输出:
![]()
s(⋅):scale 网络(任意神经网络)
t(⋅):translate 网络(任意神经网络)
⊙:逐元素乘法
Jacobian矩阵:

是下三角矩阵,
所以

直接相加即可,无需复杂求解
因为 不变,
逆变换非常简单:

逆向计算只需一次前向网络。
Coupling Layer = 一半输入不动 + 用它去变另一半
这种设计让:
逆变换一步就能解(可逆性)
Jacobian行列式只需加法(效率)
多层交替后足够强大(表达力)
理解了这个套路,你就能照着搭 RealNVP、Glow 等标准化流的主干架构。
5.训练过程
Normalizing Flow(NF)的训练目标其实非常“干净”——
它不像 GAN 需要对抗,也不像 VAE 需要下界近似,
它直接就是最大似然估计(Maximum Likelihood Estimation, MLE)。
简单来说,训练的目标就是:调整我这一系列的可逆变换函数 f1,f2,…,fK,使得我真实的训练数据,在经过这些函数变换后,看起来“最像是”从那个简单的基础分布(比如标准高斯分布)中采样出来的。
1. 训练目标:最大化真实数据的对数似然
我们有:真实数据分布:(只给样本,不给公式)
模型分布:(NF 定义的分布,参数 θ)
即:从你的训练数据集(比如一大堆人脸图片)中,随机抽取一个样本 x。
目标:

让 NF 模型分布 在训练数据上密度越大越好→ 让模型“生成”的分布尽可能贴近真实数据。
2. NF 的对数似然公式
因为 NF 定义了一个可逆映射 ,起始分布 pZ(z)(通常是标准高斯)已知,
所以可以精确写出 :

第一项:样本对应的 z0 在高斯下的对数概率。
第二项:所有变换的体积变化惩罚。
3. 前向与反向的关系
训练时给的是数据 x,
我们需要:
反向算 → 这一步必须可逆。
计算每层 Jacobian 的对角线或行列式(因为结构特殊,能高效算)。
带入公式算 。
4. 参数更新
损失函数:

使用 梯度下降/Adam 直接优化。
NF 网络(Coupling Layer 的 s,t 网络、1x1 Conv 等)都能通过反向传播自动更新。
5. 训练流程(一个 batch)
1.采样数据:从真实数据集取 mini-batch {xi}。
2.逆映射:计算 。
3.Jacobian 行列式:计算每层 log det。
4.

5.损失:取负平均 ![]()
6.反向传播 + 参数更新。
848

被折叠的 条评论
为什么被折叠?



