前言
在这里存档以免以后再遇见卡特兰数一概不知。。。。
开工
嗯,懵,很懵。
然后据度娘所说是个卡姿兰数,呃,不好意思,卡特兰数。
看了半天卡特兰数也不知道这是个什么魔鬼东西,看得来的方式更令人头大,干脆直接记住推导公式与相应需要用到的情况好啦,毕竟懒癌晚期了
开工!
https://blog.youkuaiyun.com/jokerwyt/article/details/77414853
这里面是需要用到卡特兰数的相应情况

记住开头几项以及实际意义中需要用到的应该就好了,嗯哼
这道题就是卡特兰数的一个简单应用,如下图
顺便放上url
而且套公式也不能随便套。。。因为
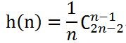
有两个公式
一个是

这个刚好是不经过对角线的结果
另一个

这个刚好是经过对角线的结果
于是乎,自然而然地选择了第二个,接下来就是快乐的ac时间咯。
等等,还有个问题,C(n,2n)组合数 如何用算法来表达
题目要求达到了35,而35!估计达到了相当恐怖的数字。。。

果断抛弃直接算,选择用递归来算出组合数
递归的话高中学过的

这个公式应该是高中熟知的哈哈
那么递归结束条件就是m为0的时候或者m与n相等的时候出1
你问我为什么m和n相等也出1? C(n,n)不是等于1么。。
于是乎
long long pet(int m,int n)
{if ( m==0 || n==m )return 1;
return pet(m,n-1)+pet(m-1,n-1);
}
然后想到杭电oj总是有多组数据,那样就要重复计算好多次,麻烦,于是改成数组,这样就不用重复算了
long long a[100][100]={0};
long long pet(int m,int n)
{if ( m==0 || n==m )return 1;
if (a[m][n]!=0) return a[m][n]; //这样已经计算过就不会向下递归而是直接返回
return a[m][n]=pet(m,n-1)+pet(m-1,n-1);
}
简单明了,开心顺畅
这个就诠释了为什么答案会比卡特兰数大两倍哈哈
代码
#include<stdio.h>
long long a[40][40]={0};
long long pet(int m,int n)
{
if(m==0||n==m)return 1;
if(a[m][n]!=0)return a[m][n];
return a[m][n]=pet(m,n-1)+pet(m-1,n-1);
}
int main()
{ int num=0,n;
while(~scanf("%d",&n)&&n!=-1)
{ long long x=pet(n,2*n)/(n+1);
printf("%d %d %lld\n",++num,n,x*2);
}
}
然后你就会发现审判器说你这是错误答案,到34的时候变成了负数。
重新上百度
发现度娘居然给你了看起来更简单的递推公式,我真的是&¥……%&……%&
然后来个循环叠加就好了
for(int i = 2 ; i <= 35 ; i++)
for(int j = 0; j<= i-1; j++)
h[i]+=h[j]*h[i-j-1];
哎
最后ac代码如下
#include<stdio.h>
int main()
{
long long h[40]={1,1};
for(int i = 2 ; i <= 35 ; i++)
for(int j = 0; j<= i-1; j++)
h[i]+=h[j]*h[i-j-1];
int n,num=1;
while(scanf("%d",&n)&&n!=-1)
{
printf("%d %d %lld\n",num++,n,h[n]*2);
}
}

本文详细介绍了卡特兰数的概念、应用场景及其计算方法,包括递归算法和递推公式的实现,解决了大数计算问题,并通过实例展示了卡特兰数在编程竞赛中的应用。
1116

被折叠的 条评论
为什么被折叠?



