一、前言
这个模型2015年由澳大利亚国立大学提出, 是个单隐层的神经网络推荐模型,网络结构简单,非常适合深度学习推荐系统的入门模型,但由于比较简单, 表达能力不足, 并没有真正的被应用。
二、AutoRec介绍
它的基本原理是利用协同过滤中的共现矩阵, 完成物品向量或者用户向量的自编码。 再利用自编码的结果得到用户对物品的预估评分, 进而进行的推荐排序。
1、AutoRec架构:
结构图如下:

自编码器输出层的节点数与输入层相等,训练这个网络以期望得到近似恒等函数, 假设数据向量是r, 自编码器的作用是将向量r 作为输入, 通过自编码器, 得到的输出向量尽量接近其本身。
那么自编码器的目标函数:
图中的V 和W 分别表示输入层到隐层, 隐层到输出层的参数矩阵, 如果熟悉神经网络的计算, 这个模型的重构函数表示:

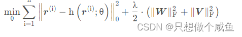
这里的f ,g都是激活函数。为防止过拟合, 还加入了L2正则, 即最终的目标函数为:

n表示所有向量的集合,输出向量尽量接

最低0.47元/天 解锁文章
1251

被折叠的 条评论
为什么被折叠?



