方差分析
1. 概要
方差分析(Analysis of variance, ANOVA) 主要研究分类变量作为自变量时,对因变量的影响是否是显著的。
方差分析的方法是由20世纪的统计学家Ronald Aylmer Fisher在1918年到1925年之间提出并陆续完善起来的,该方法刚开始是用于解决田间实验的数据分析问题,因此,方差分析的学习是和实验设计、实验数据的分析密不可分的。
实验设计和方差分析都有自己相应的语言。因此,在这里我们通过一个焦虑症治疗的实例,先了解一些术语,并且思考一下,方差分析主要用于解决什么样的问题。
以焦虑症治疗为例,现有两种治疗方案:认知行为疗法(CBT)和眼动脱敏再加工法(EMDR)。我们招募10位焦虑症患者作为志愿者,随机分配一半的人接受为期五周的CBT,另外一半接受为期五周的EMDR,设计方案如表1-1所示。在治疗结束时,要求每位患者都填写状态特质焦虑问卷(STAI),也就是一份焦虑度测量的自我评测报告。
表1-1 单因素组间方差分析

在这个实验设计中,治疗方案是两水平(CBT、EMDR)的组间因子。之所以称其为组间因子,是因为每位患者都仅被分配到一个组别中,没有患者同时接受CBT和EMDR。表中字母s代表受试者(患者)。STAI是因变量,治疗方案是自变量。由于在每种治疗方案下观测数相等,因此这种设计也称为均衡设计(balanced design);若观测数不同,则称作非均衡设计(unbalanced design)。
因为仅有一个类别型变量,表1的统计设计又称为单因素方差分析(one-way ANOVA),或进一步称为单因素组间方差分析。方差分析主要通过F检验来进行效果评测,若治疗方案的F检验显著,则说明五周后两种疗法的STAI得分均值不同。
假设你只对CBT的效果感兴趣,则需将10个患者都放在CBT组中,然后在治疗五周和六个月后分别评价疗效,设计方案如表1-2所示。
表1-2 单因素组内方差分析

此时,时间(time)是两水平(五周、六个月)的组内因子。因为每位患者在所有水平下都进行了测量,所以这种统计设计称单因素组内方差分析;又由于每个受试者都不止一次被测量,也称作重复测量方差分析。当时间的F检验显著时,说明患者的STAI得分均值在五周和六个月间发生了改变。
现假设你对治疗方案差异和它随时间的改变都感兴趣,则将两个设计结合起来即可:随机分配五位患者到CBT,另外五位到EMDR,在五周和六个月后分别评价他们的STAI结果(见表1-3)。
表1-3 含组间和组内因子的双因素方差分析

疗法(therapy)和时间(time)都作为因子时,我们既可分析疗法的影响(时间跨度上的平均)和时间的影响(疗法类型跨度上的平均),又可分析疗法和时间的交互影响。前两个称作主效应,交互部分称作交互效应。
当设计包含两个甚至更多的因子时,便是因素方差分析设计,比如两因子时称作双因素方差分析,三因子时称作三因素方差分析,以此类推。若因子设计包括组内和组间因子,又称作混合模型方差分析,当前的例子就是典型的双因素混合模型方差分析。
本例中,你将做三次F检验:疗法因素一次,时间因素一次,两者交互因素一次。若疗法结果显著,说明CBT和EMDR对焦虑症的治疗效果不同;若时间结果显著,说明焦虑度从五周到六个月发生了变化;若两者交互效应显著,说明两种疗法随着时间变化对焦虑症治疗影响不同(也就是说,焦虑度从五周到六个月的改变程度在两种疗法间是不同的)。
现在,我们对上面的实验设计稍微做些扩展。众所周知,抑郁症对病症治疗有影响,而且抑郁症和焦虑症常常同时出现。即使受试者被随机分配到不同的治疗方案中,在研究开始时,两组疗法中的患者抑郁水平就可能不同,任何治疗后的差异都有可能是最初的抑郁水平不同导致的,而不是由于实验的操作问题。抑郁症也可以解释因变量的组间差异,因此它常称为混淆因素(confounding factor)。由于你对抑郁症不感兴趣,它也被称作干扰变数(nuisance variable)。
假设招募患者时使用抑郁症的自我评测报告,比如白氏抑郁症量表(BDI),记录了他们的抑郁水平,那么你可以在评测疗法类型的影响前,对任何抑郁水平的组间差异进行统计性调整。本案例中,BDI为协变量,该设计为协方差分析(ANCOVA)。
以上设计只记录了单个因变量情况(STAI),为增强研究的有效性,可以对焦虑症进行其他的测量(比如家庭评分、医师评分,以及焦虑症对日常行为的影响评价)。当因变量不止一个时,设计被称作多元方差分析(MANOVA), 若协变量也存在, 那么就叫多元协方差分析(MANCOVA)。
下面我们主要介绍单因素方差分析与双因素方差分析的原理与实现。
2 .单因素方差分析
2.1 推导过程
接下来我们使用种小麦的例子,去帮助理解方差分析里涉及的一些变量。
假设我们现在有若干品种的小麦,要在某一地区播种,我们想知道这些品种的产量有没有显著区别,为此我们先设计了一个田间实验,取一大块地将其分成形状大小都相同的nnn小块.设供选择的品种有kkk个,我们打算其中的n1n_1n1小块种植品种1, n2n_2n2小块种植品种2,等等,n1+n2+...nk=nn_1+ n_2 + ... n_k = nn1+n2+...nk=n.
接下来,我们使用方差分析的方法去看不同小麦品种的产量是否有显著差异。
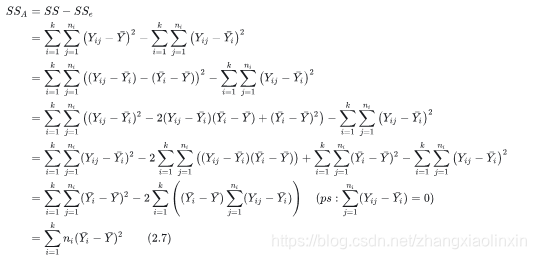
设问题中涉及一个因素AAA,有kkk个水平,如上例的kkk个种子品种,以YijY_{ij}Yij记第iii个水平的第jjj个观察值,如上例YijY_{ij}Yij是种植品种iii的第jjj小块地上的亩产量。模型为 Yij=ai+eij,j=1,...,ni,i=1,...,k(2.1) Y_{ij} = a_i + e_{ij}, j = 1,...,n_i, i = 1,...,k\qquad(2.1) Yij=ai+eij,j=1,...,ni,i=1,...,k(2.1) aia_iai表示水平iii的理论平均值,称为水平iii的效应。在小麦例子中,aia_iai就是品种iii的平均亩产量,eije_{ij}eij就是随机误差。并且我们假定: E(eij)=0,0<Var(eij)=σ2<∞,一切eij独立同分布(2.2) E(e_{ij})=0, 0<Var(e_{ij})={\sigma}^2<\infty,一切e_{ij}独立同分布\qquad(2.2) E(eij)=0,0<Var(eij)=σ2<∞,一切eij独立同分布(2.2) 因素AAA的各水平的高低优劣,取决于其理论平均aia_{i}ai的大小。故对模型(2.1),我们头一个关心的事情,就是诸aia_{i}ai是否全相同。 如果是,则表示因素AAA对所考察的指标YYY其实无影响.这时我们就说因素A的效应不显著,否则就说它显著。当然,在实际应用中,所谓“显著”,是指诸aia_{i}ai之间的差异要大到一定的程度.这个 “一定的程度”,是从其实用上的意义着眼,而“统计显著性”,则是与随机误差相比而言.这点在下文的讨论中会有所体现.我们把所要检验的假设写为: H0:a1=a2=⋯=ak(2.3) H_0:a_1=a_2=\cdots=a_k \qquad (2.3) H0:a1=a2=⋯=ak(2.3) 为检验该假设,我们需要分析,为什么各个YijY_{ij}Yij会有差异?从模型(2.1)来看,无非两个原因:一是各aia_{i}ai可能有差异.例如,若 a1>a2a_1>a_2a1>a2, 这就使Y1jY_{1j}Y1j倾向于大于Y2jY_{2j}Y2j;二是随机误差的存在。这一分析启发了如下的想法:找一个衡量全部yijy_{ij}yij的变异的量: SS=∑i=1k∑j=1ni(Yij−Yˉ)2,Yˉ=∑i=1k∑j=1niYij/n(2.4) SS= \sum_{i=1}^{k}\sum_{j=1}^{n_i}\left ( Y_{ij}-\bar{Y} \right )^2, \qquad \bar{Y}=\sum_{i=1}^{k}\sum_{j=1}^{n_i}Y_{ij}/n \qquad (2.4) SS=i=1∑kj=1∑ni(Yij−Yˉ)2,Yˉ=i=1∑kj=1∑niYij/n(2.4) SSSSSS愈大,表示YijY_{ij}Yij之间的差异越大。
接下来,把SSSSSS分为两部分,一部分表示随机误差的影响,记为SSeSS_eSSe;另一部分表示因素AAA的各水平理论平均值aia_iai不同带来的影响,记为SSASS_ASSA。
关于SSeSS_eSSe,先固定一个iii,此时对应的所有观测值Yi1,Yi2,⋯ ,YinY_{i1},Y_{i2},\cdots,Y_{in}Yi1,Yi2,⋯,Yin,他们之间的差异与每个水平的理论平均值不等无关,而是取决于随机误差,反映这些观察值差异程度的量是∑j=1ni(Yij−Yiˉ)2\sum_{j=1}^{n_i}\left ( Y_{ij}-\bar{Y_i} \right )^2∑j=1ni(Yij−Yiˉ)2,其中 Yiˉ=(Yi1+Yi2+⋯+Yin)/ni,i=1,2,⋯ ,n(2.5)
\bar{Y_i}=(Y_{i1}+Y_{i2}+\cdots+Y_{in})/n_i,\quad i=1, 2,\cdots,n \qquad (2.5)
Yiˉ=(Yi1+Yi2+⋯+Yin)/ni,i=1,2,⋯,n(2.5) Yiˉ\bar{Y_i}Yiˉ可以视为对aia_iai的估计。把上述平方和做累加得: SSe=∑i=1k∑j=1ni(Yij−Yiˉ)2(2.6)
SS_e=\sum_{i=1}^{k}\sum_{j=1}^{n_i}\left ( Y_{ij}-\bar{Y_i} \right )^2 \qquad
(2.6) SSe=i=1∑kj=1∑ni(Yij−Yiˉ)2(2.6) 可求得SSASS_ASSA:

因为Yiˉ\bar{Y_i}Yiˉ可以视为对aia_iai的估计,aia_iai的差异越大,Yiˉ\bar{Y_i}Yiˉ之间的差异也越大,所以SSASS_ASSA可以用来衡量不同水平之间的差异程度。
在统计学上,通常称SSSSSS为总平方和,SSASS_ASSA为因素AAA的平方和,SSeSS_eSSe为误差平方和,分解式SS=SSA+SSeSS=SS_A+SS_eSS=SSA+SSe为该模型的方差分析。
基于上面的分析,我们可以得到假设(2.8)的一个检验方法:当比值SSA/SSeSS_A/SS_eSSA/SSe大于某一给定界限时,否定H0H_0H0,不然就接受H0H_0H0。为了构造FFF分布的检验统计量,我们假定随机误差eije_{ij}eij满足正态分布N(0,σ2)N(0, \sigma^2)N(0,σ2),同时我们也假定观察值YijY_{ij}Yij符合正态分布,此时,记 MSA=SSA/(k−1),MSe=SSe/(n−k)(2.8) MS_A = SS_A/(k-1), \quad MS_e = SS_e/(n-k) \qquad (2.8) MSA=SSA/(k−1),MSe=SSe/(n−k)(2.8) 当H0H_0H0成立时,有: MSA/MSe∼Fk−1,n−k(2.9) MS_A / MS_e \sim F_{k-1, n-k} \qquad (2.9) MSA/MSe∼Fk−1,n−k(2.9) 据(2.9),在给定显著性水平α\alphaα时,即得(2.10)的假设H0H_0H0的检验如下: 当MSA/MSe⩽Fk−1,n−k(α)时,接受H0,不然就拒绝H0(2.10) 当MS_A / MS_e \leqslant F_{k-1, n-k}(\alpha)时,接受H_0,不然就拒绝H_0 \qquad (2.10) 当MSA/MSe⩽Fk−1,n−k(α)时,接受H0,不然就拒绝H0(2.10) MSAMS_AMSA和MSeMS_eMSe分别被称为因素AAA和随机误差的平均平方和。被除数k−1k-1k−1和n−kn-kn−k,分别称为这两个平方和的自由度。MSeMS_eMSe的自由度为什么是n−kn-kn−k呢?因为平方和∑j=1ni(Yij−Yiˉ)2\sum_{j=1}^{n_i}\left ( Y_{ij}-\bar{Y_i} \right )^2∑j=1ni(Yij−Yiˉ)2的自由度为ni−1n_i-1ni−1,故对iii求和,SSeSS_eSSe的自由度就是n−kn-kn−k。那么,MSAMS_AMSA的自由度为什么是k−1k-1k−1呢?因为一共有kkk个平均值a1,⋯ ,aka_1,\cdots,a_ka1,⋯,ak等k−1k-1k−1个,故自由度为k−1k-1k−1,两者自由度之和为n−1n-1n−1,恰好是总平方和的自由度。
到这里,我们可以做出方差分析表如表2-1
2-1 单因素方差分析的方差分析表

在上表中,对于显著性一栏,一般来说,我们把算出的FFF比,即MSA/MSeMS_A
/ MS_eMSA/MSe,与Fk−1,n−k(0.05)=c1F_{k-1,
n-k}(0.05)=c_1Fk−1,n−k(0.05)=c1和Fk−1,n−k(0.01)=c2F_{k-1,
n-k}(0.01)=c_2Fk−1,n−k(0.01)=c2比较。若MSA/MSe>c2MS_A /
MS_e>c_2MSA/MSe>c2,用**表示,表明A因素的效应是高度显著的,即在α=0.01\alpha=0.01α=0.01的显著性水平下,拒绝原假设(5.3)。同理,c2<MSA/MSe<c1c_2<MS_A
/ MS_e<c_1c2<MSA/MSe<c1用$\ast 表示,表示,表示,MS_A / MS_e>c_1$时不显著。
3 双因素方差分析
3.1 推导过程
在很多种情况下,只考虑一个指标对观察值的影响,显然是不够的,这时就会用到多因素方差分析。双因素方差分析和多因素方差分析在原理上是相似的,这里为了书写简便,我们只以双因素方差分析为例进行推导。
还是以田间实验的例子帮助理解推导过程,我们设有两个因素A,BA, BA,B,分别有k,lk,
lk,l个水平(例如AAA为品种,有kkk个;BBB为播种量,考虑lll种不同的数值,如20斤/亩,25斤/亩,……).AAA的水平iii与BBB的水平jjj的组合记为(i,j)(i,j)(i,j),其试验结果记为 Yij,i=1,⋅⋅⋅,k,j=1,…,lY_{ij}, i = 1, · · ·, k,j = 1,…, lYij,i=1,⋅⋅⋅,k,j=1,…,l.统计模型定为 Yij=μ+ai+bj+eij,i=1,⋅⋅⋅,k,j=1,⋅⋅⋅,l(3.1) Y_{ij} = \mu + a_i + b_j + e_{ij},i= 1, · · ·, k,j = 1,· · ·, l\qquad (3.1)
Yij=μ+ai+bj+eij,i=1,⋅⋅⋅,k,j=1,⋅⋅⋅,l(3.1) 为解释这模型,首先把右边分成两部分:eije_{ij}eij为随机误差,它包含了未加控制的因素(A,BA,BA,B以外的因素)及大量随机因素的影响.假定 E(eij)=0,0<Var(eij)=σ2<∞,一切eij独立同分布(3.2) E(e_{ij})=0,
0<Var(e_{ij})={\sigma}^2<\infty,一切e_{ij}独立同分布\qquad(3.2)
E(eij)=0,0<Var(eij)=σ2<∞,一切eij独立同分布(3.2) 另一部分μ+ai+bj\mu +
a_i + b_jμ+ai+bj,它显示水平组合(i,j)(i,j)(i,j)的平均效应.它可以又分解为三部分:μ\muμ是总平均(一切水平组合效应的平均),是一个基准.aia_iai表示由AAA的水平iii带来的增加部分,称为因素AAA的水平iii的效应.bjb_jbj有类似的解释.调整μ\muμ的值,我们可以补充要求: a1+⋅⋅⋅+ak=0,b1+⋅⋅⋅+bl=0(3.3) a_1+···+a_k=0,b_1+···+b_l=0 \qquad (3.3) a1+⋅⋅⋅+ak=0,b1+⋅⋅⋅+bl=0(3.3) 如果(3.3)(3.3)(3.3)式不成立,则分别把μ\muμ换为
μ+aˉ+bˉ\mu + \bar{a}+\bar{b}μ+aˉ+bˉ,aia_iai换为ai−aˉa_i-\bar{a}ai−aˉ,bjb_jbj换为bj−bˉb_j-\bar{b}bj−bˉ,则(3.1)(3.1)(3.1)式不变,而(3.3)(3.3)(3.3)式成立。
约束条件(3.3)(3.3)(3.3)给了ai,bja_i,b_jai,bj的意义一种更清晰的解释:ai>0a_i>0ai>0 表示A的水平iii的效应在AAA的全部水平的平均效应之上,ai<0a_i<0ai<0 则相反。另外,这个约束条件也给了μ,ai,bj\mu,a_i,b_jμ,ai,bj的 一个适当的估计法:把YijY_{ij}Yij对一切i,ji,ji,j相加.注意到(3.3)(3.3)(3.3),有 ∑i=1k∑j=1lYij=klμ+∑i=1k∑j=1leij(3.4) \sum_{i=1}^{k}\sum_{j=1}^{l}Y_{ij}=
kl\mu+\sum_{i=1}^{k}\sum_{j=1}^{l}e_{ij} \qquad (3.4) i=1∑kj=1∑lYij=klμ+i=1∑kj=1∑leij(3.4) 由(3.2)(3.2)(3.2)得, Yˉ=∑i=1k∑j=1lYij/kl(3.5) \bar{Y}=\sum_{i=1}^{k}\sum_{j=1}^{l}Y_{ij}/kl \qquad
(3.5) Yˉ=i=1∑kj=1∑lYij/kl(3.5) 是μ\muμ的一个无偏估计。其次,有 ∑j=1lYij=lμ+la+∑j=1leij(3.6) \sum_{j=1}^{l}Y_{ij}=l\mu+la+\sum_{j=1}^{l}e_{ij}
\qquad (3.6) j=1∑lYij=lμ+la+j=1∑leij(3.6) 于是,记
Yiˉ=∑j=1lYij/l,Yjˉ=∑i=1kYij/k(3.7) \bar{Y_i}=\sum_{j=1}^{l}Y_{ij}/l, \quad \bar{Y_j}=\sum_{i=1}^{k}Y_{ij}/k
\qquad (3.7) Yiˉ=j=1∑lYij/l,Yjˉ=i=1∑kYij/k(3.7) 由(3.7)(3.7)(3.7)知,Yjˉ\bar{Y_j}Yjˉ为μ+ai\mu+a_iμ+ai的一个无偏估计。于是得到aia_iai的一个无偏估计为 ai^=Yiˉ−Yˉ,i=1,⋯ ,k(3.8) \hat{a_i}=\bar{Y_i}-\bar{Y}, i=1,\cdots,k \qquad(3.8)
ai^=Yiˉ−Yˉ,i=1,⋯,k(3.8) 同理, bj^=Yjˉ−Yˉ,j=1,⋯ ,l(3.9)
\hat{b_j}=\bar{Y_j}-\bar{Y}, j=1,\cdots,l \qquad(3.9) bj^=Yjˉ−Yˉ,j=1,⋯,l(3.9) ai^,bj^\hat{a_i},\hat{b_j}ai^,bj^适合约束条件(3.3)(3.3)(3.3)。
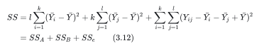
下面进行方差分析,要设法把总平方和 SS=∑i=1k∑j=1l(Yij−Yˉ)2 SS=\sum_{i=1}^{k}\sum_{j=1}^{l}(Y_{ij}-\bar{Y})^2 SS=i=1∑kj=1∑l(Yij−Yˉ)2 分解为三部分:SSA,SSB,SSeSS_A,SS_B,SS_eSSA,SSB,SSe,分别表示因素A,BA,BA,B和随机误差的影响。这种分解的主要目的是假设检验: H0A:a1=⋯=ak=0(3.10) H_{0A}:a_1=\cdots=a_k=0 \qquad(3.10) H0A:a1=⋯=ak=0(3.10) 和 H0B:b1=⋯=bk=0(3.11) H_{0B}:b_1=\cdots=b_k=0 \qquad(3.11) H0B:b1=⋯=bk=0(3.11)
H0AH_0AH0A成立表示因素AAA对指标其实无影响。在实际问题中,绝对无影响的场合少见,但如影响甚小以致被随机误差所掩盖时,这种影响事实上等于没有。因此,拿SSASS_ASSA和SSeSS_eSSe的比作为检验统计量正符合这一想法.
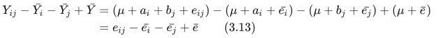
接下来讲一下方差分解的小技巧: Yij−Yˉ=(Yiˉ−Yˉ)+(Yjˉ−Yˉ)+(Yij−Yiˉ−Yjˉ+Yˉ) Y_{ij}-\bar{Y}=(\bar{Y_i}-\bar{Y}) +
(\bar{Y_j}-\bar{Y})+(Y_{ij}-\bar{Y_i}-\bar{Y_j}+\bar{Y}) Yij−Yˉ=(Yiˉ−Yˉ)+(Yjˉ−Yˉ)+(Yij−Yiˉ−Yjˉ+Yˉ) 两边平方,对i,ji,ji,j求和,结合约束条件(3.3),注意到
∑i=1k(Yiˉ−Yˉ)=0,∑j=1l(Yjˉ−Yˉ)=0, \sum_{i=1}^{k}(\bar{Y_{i}}-\bar{Y})=0, \sum_{j=1}^{l}(\bar{Y_{j}}-\bar{Y})=0, i=1∑k(Yiˉ−Yˉ)=0,j=1∑l(Yjˉ−Yˉ)=0,
∑i=1k(Yij−Yiˉ−Yjˉ+Yˉ)=∑j=1l(Yij−Yiˉ−Yjˉ+Yˉ)=0 \sum_{i=1}^{k}(Y_{ij}-\bar{Y_i}-\bar{Y_j}+\bar{Y})=\sum_{j=1}^{l}(Y_{ij}-\bar{Y_i}-\bar{Y_j}+\bar{Y})=0 i=1∑k(Yij−Yiˉ−Yjˉ+Yˉ)=j=1∑l(Yij−Yiˉ−Yjˉ+Yˉ)=0
即知所有交叉积之和皆为0,而得到

第一个平方和可以作为因素AAA的影响的衡量,从前述Yiˉ−Yˉ\bar{Y_{i}}-\bar{Y}Yiˉ−Yˉ作为 aia_iai的估计可以理解第二个平方和同理。至于第三个平方和可作为随机误差的影响这一点, 直接看不甚明显。可以从两个角度去理解:在SSSSSS中去掉SSASS_ASSA
和SSBSS_BSSB后,剩余下的再没有其他系统性因素的影响,故只能作为SSeSS_eSSe。另外,由模型(3.1)(3.1)(3.1)及约束条件(3.3)(3.3)(3.3),易知

这里面已经毫无μ,ai,bj\mu,a_i,b_jμ,ai,bj的影响,而只含随机误差。
得到分解式(3.12)(3.12)(3.12)后,我们就可以像单囚素情况那样,写出下面的方差分析表: SSA,SSBSS_A ,
SS_BSSA,SSB 自由度分别为其水平数减去1,这一点与单因素情况相同.总和自由度为全部观察值数目klklkl减去1.剩下的就是误差平方和自由度: (kl−1)−(k−1)−(l−1)=(k−1)(l−1) (kl - 1) - (k - 1) - (l - 1) = (k - 1) (l - 1) (kl−1)−(k−1)−(l−1)=(k−1)(l−1) 表3.1
双因素方差分析表
有一点要注意:在采纳模型(3.1)(3.1)(3.1)时,我们事实上引进了 一 种假定,即两因素A,BA,BA,B对指标的效应是可以叠加的.换一种方式说:因素AAA的各水平的优劣比较,与因素BBB处在哪个水平无关,反之亦然.更一般的情况是:A,BA,BA,B两因子有“交互作用 " 。这时在模型(5.13)中,还要加上表示交互作用的项cijc_{ij}cij.这时不仅统计分析复杂化了,尤其是分析结果的解释也复杂化了.本文档暂不讨论这种情况。在一个特定的问题中,交互作用是否需要考虑,在很大程度上取决于问题的实际背景和经验.有时,通过试验数据的分析也可以看出一些问题。例如,若误差方差σ2\sigma^2σ2的估计MSeMS_eMSe反常地大,则有可能是由于交互作用所致.因为可以证明:若交互作用确实存在而未加考虑,则它的影响进入随机误差而增大了MSeMS_eMSe。

535

被折叠的 条评论
为什么被折叠?



