一、模糊原理
- Smooth/Blur 是图像处理中最简单和常用的操作之一,使用该操作的原因之一是为了给图像预处理时降低噪声,其操作背后是数学的卷积运算,通常这些卷积算子都是线性操作,故又叫作线性滤波
- 归一化盒子滤波(均值滤波)

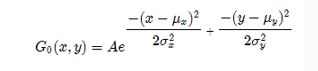
- 高斯滤波

二、相关API
blur(Mat src,Mat dst,Size(xradius,yradius),Point(-1,-1));
GaussianBlur(Mat src,Mat dst,Size(5,5),sigmax,sigmay);
三、示例
#include <opencv2/opencv.hpp>
#include <iostream>
using namespace std;
using namespace cv;
int main()
{
Mat src, dst;
src = imread("images/02.png");
if (!src.data) {
cout << "could not load image1..." << endl;
return -1;
}
namedWindow("input_image", CV_WINDOW_AUTOSIZE);
imshow("input_image", src);
blur(src, dst, Size(11, 11), Point(-1, -1));
imshow("blur image1", dst);
GaussianBlur(src, dst, Size(11, 11), 11, 11);
imshow("blur image2", dst);
waitKey();
return 0;
}
