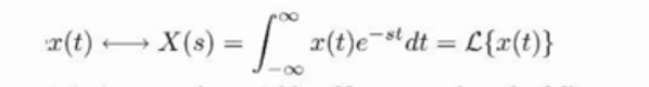
拉普拉斯变换
正反变换都要给上收敛域
出发点 jw 容易错 将 jw 换成 s
来自工程师

一、拉普拉斯变换:
1、引入
s为复变量
s=σ+jw
s=\sigma+jw
s=σ+jw


2、ROC 收敛域
保证傅里叶变换存在
收敛域通常是拉普拉斯变换的极点。(不包含极点)
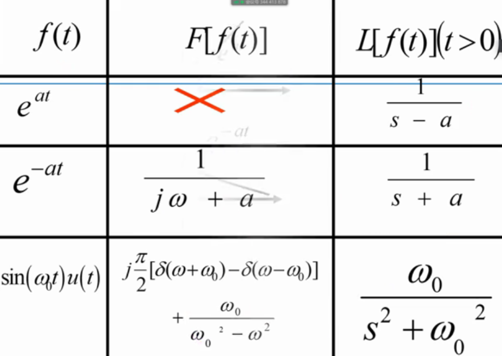
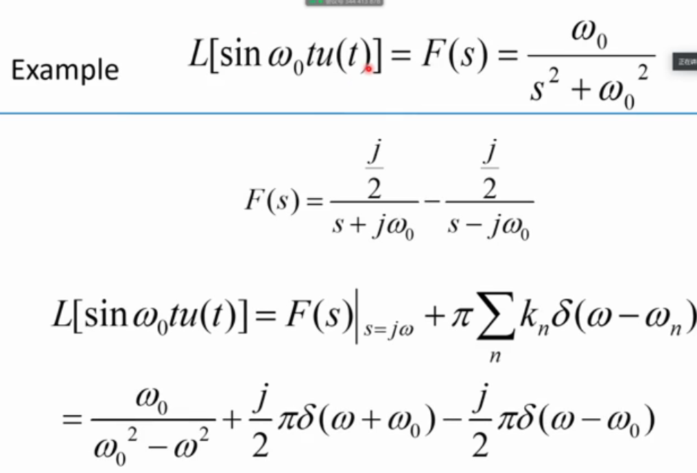
X(s)=X(σ+jw)=∫−∞+∞[x(t)e−at]e−jwtdt=FT[x(t)e−at]a的值决定了收敛域
X(s)=X(\sigma+jw)=\\\int_{-\infty}^{+\infty}[x(t)e^{-at}]e^{-jwt}dt=\\FT[x(t)e^{-at}]
\\a的值决定了收敛域
X(s)=X(σ+jw)=∫−∞+∞[x(t)e−at]e−jwtdt=FT[x(t)e−at]a的值决定了收敛域
3、右边信号 左边信号
收敛轴

4.拉屎和辅食的关系
X(s)=N(s)D(s) X(s)=\frac{N(s)}{D(s)}\\ X(s)=D(s)N(s)

若ROC 不包含虚轴,则傅里叶变换不存在
若 ROC 包含虚轴(不作为边界) 则傅里叶变换存在
若ROC边界为虚轴,则 拉普拉斯变换与傅里叶变换不对应


5、ROC与信号类型的关系
(1)有限长信号
收敛域为整个平面(极点有可能在原点 和 无穷处)
(2)左边信号
收敛域为 最左极点的左边
(3)右边信号
收敛域为 最右极点的右边
(4) 双边信号
当左边信号与右边信号的收敛域有重叠的时候才有收敛域
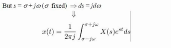
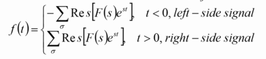
二、反变换


分左右信号,对留数加符号

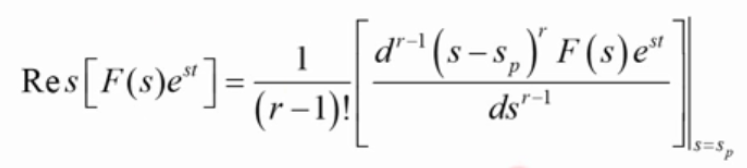
留数
sp是极点 s_p是极点 sp是极点
一阶极点:
多阶极点:

eg1:
根据极点的收敛域求反变换:分成三个区域来求 根据左右信号或者双边信号来确定u(t)还是u(-t)
eg1:[外链图片转存中…(img-ncL9BMmc-1650850214226)]
根据极点的收敛域求反变换:分成三个区域来求 根据左右信号或者双边信号来确定u(t)还是u(-t)
本文详细阐述了拉普拉斯变换的定义、收敛域的决定因素、ROC与信号类型的对应关系,并介绍了反变换的处理方法,特别强调了极点在收敛域中的作用。通过实例演示了如何根据极点位置进行信号反变换。
2366





