对下面的文章程序进行了实现。
浅谈张量分解(三):如何对稀疏矩阵进行奇异值分解?
SVD的应用1:矩阵缺失值补全
有一个5*4的稀疏矩阵A
其中“?”代表缺失值,矩阵A的真实值为
这是交通数据,其中行代表的是5个不同的传感器,列代表4个不同的观测时间间隔,即时间窗,比如15min;矩阵里面的数据代表的是交通流量(辆/15min)。
稀疏矩阵的奇异值分解将分为两部分:缺失元素的初始化填补和迭代的奇异值分解。
1、缺失元素的初始化填补
(1)先需要对缺失的元素进行初始化,最简单的可以全部选择0。
程序:
A_sparse=[0,90,449,517;0,0,412,0;192,0,697,687;185,0,699,657;164,58,0,0];
A_real=[208,90,449,517;104,43,412,411;192,77,697,687;185,115,699,657;...
164,58,696,599];
pos1=find(A_sparse==0);%找出等于0的项
RMSE=sqrt(sum((A_real(pos1)-A_sparse(pos1)).^2)/length(pos1))
计算出RMSE=368.6497,误差太大。这是因为各行列损失程度不同导致的结果,所以不能直接用0替代缺失值。
(2)可以考虑使用均值填补,求出原矩阵的均值=401.用401替代原来的缺失值,并计算RMSE。
程序:
A_sparse=[0,90,449,517;0,0,412,0;192,0,697,687;185,0,699,657;164,58,0,0];
A_real=[208,90,449,517;104,43,412,411;192,77,697,687;185,115,699,657;...
164,58,696,599];
pos1=find(A_sparse==0);%找出等于0的项
pos2=find(A_sparse~=0);%找出非0的项
[m,n]=size(A_real);%算出A实际值的行列
mu=401;
error=zeros(m,n);
for i=1:m
for j=1:n
if A_sparse(i,j)==0
error(i,j)=mu;
end
end
end
A_hat=error+A_sparse
RMSE=sqrt(sum((A_real(pos1)-A_hat(pos1)).^2)/length(pos1))
输出RMSE=266.1586,误差还是比较大。
(3)为了求取更精确的值,可以用如下公式对估计值进行修正:

程序:
clear
clc
A_sparse=[0,90,449,517;0,0,412,0;192,0,697,687;185,0,699,657;164,58,0,0];
A_real=[208,90,449,517;104,43,412,411;192,77,697,687;185,115,699,657;...
164,58,696,599];
pos1=find(A_sparse==0);%矩阵中值为0的索引
pos2=find(A_sparse~=0);%矩阵中值不为0的索引
[m,n]=size(A_real);%求出行和列
mu=mean(A_sparse(pos2));%求出缺失矩阵的均值
b1=0.1*rand(1,m);%行上的修正值
b2=0.1*rand(1,n);%列上的修正值
error=zeros(m,n);%误差
alpha1=0.01;%学习率
for iter=1:1000 %迭代次数
for i=1:m
for j=1:n
A_hat(i,j)=round(mu+b1(1,i)+b2(1,j));%求估计值并取整
if A_sparse(i,j)~=0
error(i,j)=A_sparse(i,j)-A_hat(i,j);
end
end
end
b1=b1+alpha1*sum(error');b2=b2+alpha1*sum(error);
L1(1,iter)=0.5*sum(sum(error.^2));
end
A_hat
RMSE=sqrt(sum((A_real(pos1)-A_hat(pos1)).^2)/length(pos1))
输出:
A_hat =
48 41 505 510
-44 -51 412 418
219 212 676 681
207 200 664 670
115 107 571 577
RMSE = 110.6504。
虽然RMSE值变小了,但是估计的A值里面有负值。这种结果针对于车流量来说不合理,预估结果不理想。
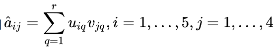
(4)采用下式进行修补

程序:
A_sparse=[0,90,449,517;0,0,412,0;192,0,697,687;185,0,699,657;164,58,0,0];
A_real=[208,90,449,517;104,43,412,411;192,77,697,687;185,115,699,657;...
164,58,696,599];
pos=find(A_sparse==0);
[m,n]=size(A_real);
r=3;
U=0.1*rand(m,r);
V=0.1*rand(n,r);
error=zeros(m,n);
alpha2=0.0001;
for iter=1:800
A_hat=round(U*V');
error=A_sparse-A_hat;
error(pos)=0;
U_plus=U+alpha2*error*V;
V_plus=V+alpha2*error'*U;
U=U_plus;
V=V_plus;
L2(1,iter)=0.5*sum(sum(error.^2));
end
A_hat
RMSE=sqrt(sum((A_real(pos)-A_hat(pos)).^2)/length(pos))
输出:
A_hat =
135 72 476 492
116 57 412 410
194 95 693 690
191 91 682 672
154 74 551 545
RMSE =
61.7566
经过修正后,误差已经小了很多。
2、迭代的奇异值分解

程序:
clear
clc
A_sparse=[0,90,449,517;0,0,412,0;192,0,697,687;185,0,699,657;164,58,0,0];
A_real=[208,90,449,517;104,43,412,411;192,77,697,687;185,115,699,657;...
164,58,696,599];
A_hat=[401,90,449,517;401,401,412,401;192,401,697,687;185,401,699,657;...
164,58,401,401];
pos=find(A_sparse==0);
[m,n]=size(A_real);
k=2;
A_f=A_hat;
RMSE=zeros(1);
for iter=1:8000
[Q,Sigma,P]=svds(A_f,k);
A_hat=Q*Sigma*P';
A_f(pos)=A_hat(pos);
convergence(1,iter)=sum(A_hat(pos).^2);
end
RMSE=sqrt(sum((A_real(pos)-A_f(pos)).^2)/length(pos))
输出RMSE=161.848
用(3)中得到的A估计值。
A_sparse=[0,90,449,517;0,0,412,0;192,0,697,687;185,0,699,657;164,58,0,0];
A_real=[208,90,449,517;104,43,412,411;192,77,697,687;185,115,699,657;...
164,58,696,599];
A_hat=[48,41,505,510;-44,-51,412,418;219,212,676,681;207,200,664,670;...
115,107,571,577];
pos=find(A_sparse==0);[m,n]=size(A_real);k=2;
A_f=A_hat;
for iter=1:100
[Q,Sigma,P]=svds(A_f,k);
A_hat=Q*Sigma*P';
A_f(pos)=A_hat(pos);
convergence(1,iter)=sum(A_hat(pos).^2);
end
RMSE=sqrt(sum((A_real(pos)-A_f(pos)).^2)/length(pos))
RMSE=110.15
用(4)中的A评估值
A_sparse=[0,90,449,517;0,0,412,0;192,0,697,687;185,0,699,657;164,58,0,0];
A_real=[208,90,449,517;104,43,412,411;192,77,697,687;185,115,699,657;...
164,58,696,599];
A_hat=[139,89,449,517;114,46,412,408;192,75,697,687;186,59,699,657;...
163,59,599,579];
pos=find(A_sparse==0);[m,n]=size(A_real);k=2;
A_f=A_hat;
for iter=1:500
[Q,Sigma,P]=svds(A_f,k);
A_hat=Q*Sigma*P';
A_f(pos)=A_hat(pos);
convergence(1,iter)=sum(A_hat(pos).^2);
end
RMSE=sqrt(sum((A_real(pos)-A_f(pos)).^2)/length(pos))
RMSE=47.03.
通过迭代奇异值分解,缺失位置的元素会随着迭代过程而趋于收敛,另外,迭代奇异值分解过程有助于我们提取矩阵行和列的特征,并且左奇异向量间的正交特性和右奇异向量的正交特性能够帮助我们找到主要的模式。
参考资料:
[1]知乎上稀疏矩阵奇异值分解
[2]B站上的奇异值分解视频
[3]Charu C. Aggarwal著《Recommender systems》。
[4]张量分解
2077

被折叠的 条评论
为什么被折叠?



