先来个开场视频!算法对比,你只需一键!
本期继续更新优化算法APP!

本期更新内容
①:可以自定义每个箱线图子图个数,美化绘图
②:新增日志界面,可输出统计结果
③:多算法功能中也可支持线型选择
④:优化多算法对比单次运行的绘图界面
⑤:规范多算法结果保存的目录
⑥:自适应调整平均收敛曲线图例格式
依次介绍!
① 可以自定义每个箱线图子图和平均收敛曲线图子图个数,美化绘图
可以设置每个箱线图子图和平均收敛曲线子图个数为1,2,3,4,5,

箱线图结果绘制结果如下:
子图只有一个时:

子图2个时:

子图3个时:

子图4个时:

子图5个时:

可以看到,不仅可以自由选择箱线图子图的个数,该可以随意组合箱线图的绘图样式!
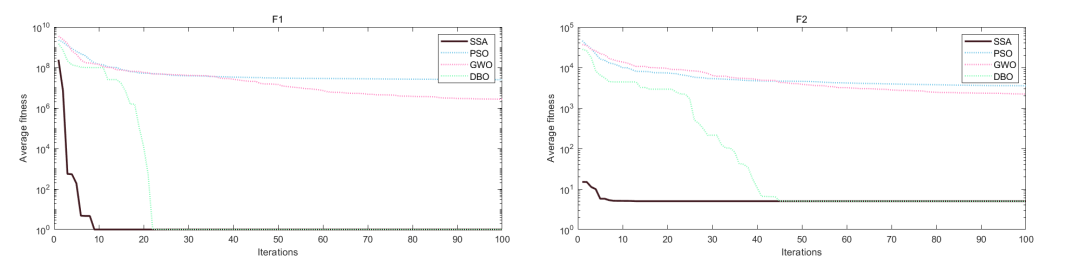
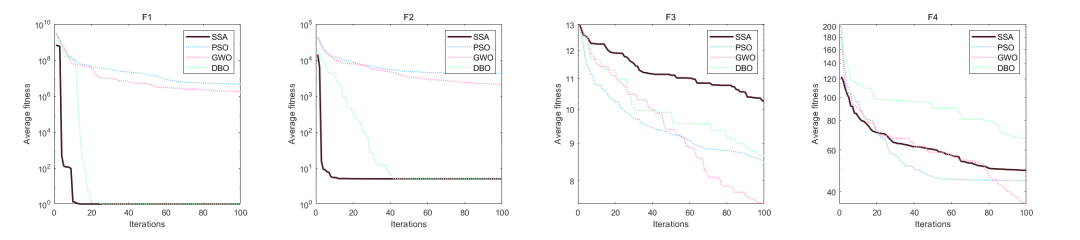
平均收敛曲线图也是如此(随意变换子图个数)





平均曲线收敛图的绘制中,对需要突出的算法设置了实线,对其他的对比算法设置为虚线,突出改进算法的优势!
② 新增日志输出界面

③ 多算法功能中也可支持线型选择

设置了四种线型方案。
④ 优化多算法对比单次运行的绘图界面

⑤:规范多算法结果保存的目录

⑥ 自适应调整平均收敛曲线图例列数


图例的列数可以自适应调整。
以上就是本期更新内容啦,后续会继续完善更新哦~

欢迎持续关注哦!

更多关于此APP往期回顾,欢迎观看往期发布的五篇文章(有视频介绍哦!):
优化算法APP完整代码获取链接
https://mbd.pub/o/bread/ZpaXlpxt
或者点击下方阅读原文获取APP!
注意事项!:
1. 软件必须依托于MATLAB平台,并集成安装在MATLAB APP里。就是如图这个位置:

2.由于APPdesigner的迭代更新速度较快,不同MATLAB版本之间差异较大,因此,软件必须运行于 MATLAB2020b及其以上版本。
3. 为保护原创,此软件采用加密形式,并设置了登录界面,同一个账号,最多可在两台电脑授权。
4.之前购买过的小伙伴,直接跳转链接下载最新的即可!
该软件由公众号——淘个代码开发,调试过很多次,真正的心血之作!
软件如有什么不足之处,欢迎后台留言~
1060

被折叠的 条评论
为什么被折叠?



