原文链接如下:
一款史上最强的智能优化算法软件,MATLAB APP Designer开发
最强智能优化算法软件v2.0,增加27种工程设计问题,MATLAB APP Designer开发
智能优化算法软件APPv3.0重磅来袭!增加雷达图、平均排序图,MATLAB APP Designer开发
本期继上述两篇文章之后,在智能优化算法APPv2.0版本基础上再次升级!
本期升级内容为:
增加雷达图和平均排序图的绘制,为你的科研再次锦上添花,省时省力,一键傻瓜式操作!
往期内容简单回顾
智能优化算法改进作为水论文最强利器,任何时候都可以成为你论文的创新点。而对比自己改进的优化算法,突出改进算法的性能,这个时候就得需要智能优化算法APP出马了,使用该APP可以极大节省宝贵时间,减轻编写与各算法对比的工作量,让您有更多的精力去做别的事情。
智能优化算法APP不仅出图精美,而且操作十分简单,基本上不需要额外编写任何代码!




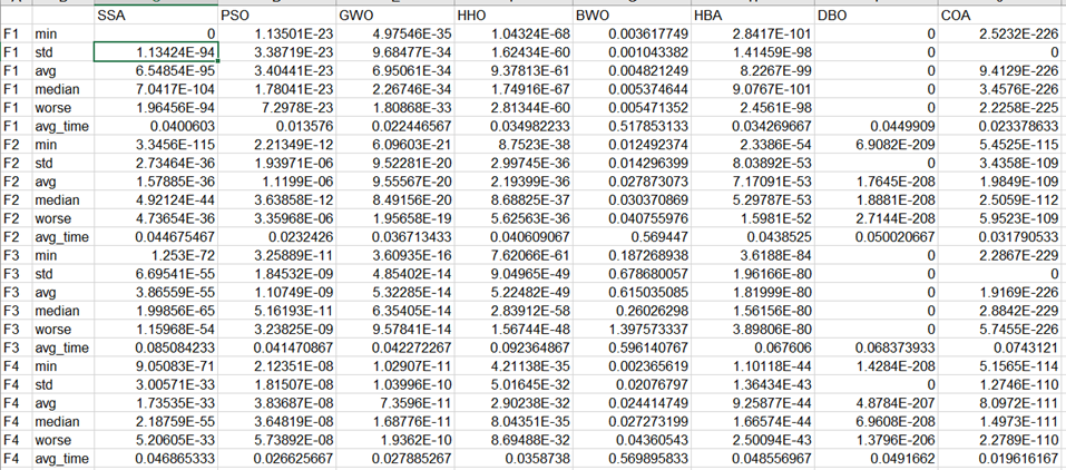
一键统计智能算法的各大常见指标:

而你只需要在软件界面输入你想要对比的算法名字即可一键出图,出表格:

更是添加了27种工程设计问题,全部支持一键出图,并附上了各种工程问题的详细描述。

想要了解更多智能优化算法APP的童鞋,可以跳转开头提到的两个链接,都要非常详细的介绍和视频解说!
接下来上本期新增内容!
新增界面如下:

本期新增界面是基于“多个算法对比结果”而绘制的两个图形,分别是“雷达图”和“平均排序图”。两幅图都支持一键导出,看看导出来的图:


是不是相当精美!写论文的时候把这俩图往论文上一贴,录用率这不嗷一下子就上去了吗。
不了解这俩图是干啥的童鞋,可以参考一下这篇文章:
秦兴宝,叶春明.嵌入蝴蝶算法及多策略融合的蜣螂优化器及应用[J/OL].计算机工程与应用.
在这篇文章中,提到了关于算法排序的问题,原文描述为:
“为对比分析改进算法的寻优能力,对各算法的平均适应度结果进行排序,若相等则比较标准差。若均值与标 准差均相等则并列排名。算法的平均性能排序结果越小,代表算法的优化能力越优越,寻优性能越好”
由上述图片可以看出,在雷达图中,SSA围成的面积是最小的,在排序图中,SSA的平均排序为2.17,也是几个算法中排名最靠前的,因此可以直观的看出,SSA算法的性能是最好的!
接下来看一下新增界面的操作视频:
除了以上介绍的功能之外,本期还对软件之前的一些图进行了修正与美化,已购买的小伙伴火速前往下载最新版试试吧!
一些说明
-
1. 软件必须依托于MATLAB平台,并集成安装在MATLAB APP里。就是如图这个位置:

-
2.由于APPdesigner的迭代更新速度较快,不同MATLAB版本之间差异较大,因此,软件必须运行于 MATLAB2020b及其以上版本。
-
3. 为保护原创,此软件采用加密形式,并设置了登录界面,同一个账号,最多可在两台电脑授权。
获取方式:点击下发卡片!
843

被折叠的 条评论
为什么被折叠?



