Eject Chain与可变路径在组合优化旅行商问题中的应用
前言
在经典组合优化问题中的优秀算法自从上个世纪九十年代以来,分为两个突出的弹射算法,一个是LK启发式,一个是eject chain算法。前者在dismacs算法竞赛上大放异彩,经过算法的改良多种LK的分支都有不错的效果,且现在也有工业化的版本求解器,做的相当成熟。后者的弹射链算法作为主流之一,但是慢慢发展未能做起来,似乎有点停滞不前。本文对起进行较为基础的原始和理论的介绍,经过介绍可以分析得出,理论上弹射链算法是完备的,有很多改良和应用的空间,虽然现在较为没落,但是不失为一种探索的空间,也是值得学习和介绍的。
Eject Chain 算法
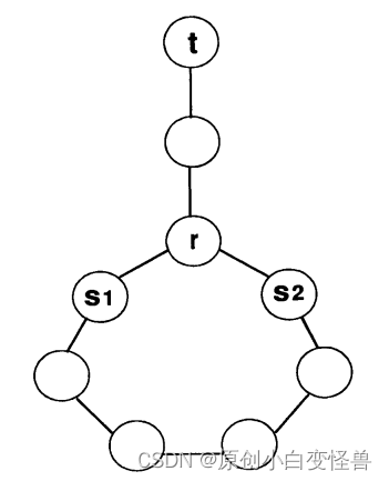
弹射链中 cycle and stem 的结构介绍

上图就是基本的弹射链的回路和茎的structure,r代表root根,t代表stem茎,s1和s2是子根subroot,其他没有标注的结点就是一些普通的结点。
Subpath Election Method

Eject Chain算法在TSP中的应用与分析
本文介绍了Eject Chain算法在组合优化问题,特别是旅行商问题(TSP)中的应用。通过分析cycle and stem结构以及Subpath Election Method,阐述了算法的运作过程和规则。Eject Chain算法理论上完备,具有潜在的优化空间,是对LK启发式算法的一种补充。文章还探讨了其优于LK算法的寻优能力,并鼓励进一步研究。
订阅专栏 解锁全文
502

被折叠的 条评论
为什么被折叠?



