目 录
摘 要
随着校园体育活动的不断发展,传统的人工管理方式已难以满足足球社团日益增长的运作需求。校园足球社团管理平台的设计与实现,正是基于这一背景,采用Spring Boot框架和Java语言开发,结合MySQL数据库,构建了一个高效、稳定的信息化管理系统。系统分为社团成员、教练用户和管理员三类角色,覆盖了场地预约、比赛管理、训练打卡、交流论坛、资讯发布等核心功能模块,实现了对校园足球社团活动的全方位支持。
平台通过前后端分离的技术架构,提升了系统的可维护性和扩展性,同时保障了数据的安全性和处理效率。社团成员可以在线完成报名、评论、收藏、留言等操作,教练用户能够进行训练计划制定与打卡数据查看,管理员则具备用户管理、资源管理、赛事活动审核等后台功能。该系统有效提高了校园足球社团的管理水平和信息交互效率,为高校体育数字化建设提供了可行方案。
关键词:校园足球社团管理平台;SpringBoot框架;Java语言
As campus sports activities continue to develop, traditional manual management methods can no longer meet the growing operational needs of football clubs. The design and implementation of the campus football club management platform is based on this context, using the Spring Boot framework and Java language, combined with the MySQL database, to build an efficient and stable information management system. The system is divided into three roles: club members, coach users, and administrators, covering core functional modules such as venue reservation, match management, training check-ins, communication forums, and information release, providing comprehensive support for campus football club activities.
The platform enhances system maintainability and scalability through a front-end and back-end separation architecture, while ensuring data security and processing efficiency. Club members can complete operations such as registration, commenting, bookmarking, and leaving messages online. Coaches can set training plans and check in data, while administrators have backend functions for user management, resource management, and event review. This system effectively improves the management level and information interaction efficiency of campus football clubs, providing a viable solution for the digitalization of university sports.
Key words: campus football club management platform; SpringBoot framework; Java language
第一章 绪 论
1.1研究目的及意义
随着高校体育文化的不断发展,校园足球社团作为学生课余生活的重要组成部分,逐渐成为推动校园体育普及的重要力量。传统管理模式下,社团活动组织、场地预约、比赛安排等事务多依赖人工协调,信息传递效率低,管理流程繁琐,难以满足日益增长的活动频率与参与需求。因此,构建一个高效、便捷的校园足球社团管理平台,有助于提升社团运作效率,优化资源配置,增强成员之间的互动与协作。
本系统的开发具有较强的现实意义和应用价值。通过现代信息技术手段,实现对社团活动的规范化、信息化管理,不仅提高了信息传达的时效性,也增强了用户参与的积极性。系统涵盖会员管理、赛事组织、训练打卡、场地预约、交流论坛等功能模块,为社团成员、教练及管理者提供了一个集成化操作平台。这种管理模式有助于提升校园足球社团的整体运行水平,也为高校体育管理体系的现代化转型提供了实践参考。
1.2国内外研究现状
在全球范围内,高校体育社团的管理与发展已经引起了广泛关注。国外的研究多聚焦于社团运作模式、成员参与动机以及社团文化对学生成长的影响等方面。通过对比不同国家和地区的发展路径,可以发现,高效的社团管理往往伴随着开放的信息共享机制和丰富的社区互动活动。国外学者还探讨了如何利用信息技术改善社团管理流程,提高成员满意度,并强调了数据分析在理解社团发展趋势中的重要性。这些研究为校园足球社团的现代化管理提供了宝贵的理论基础与实践经验。
在国内,随着素质教育理念的普及,高校对于学生课外活动的支持力度不断加大,校园足球社团迎来了新的发展机遇。国内相关研究侧重于社团组织结构优化、活动创新设计及文化建设等方面。有研究指出,通过加强社团内部治理结构,可以有效提升社团的整体效能和服务质量。另外,一些实践案例表明,结合本土文化和学生兴趣开展特色活动,能够显著增强社团凝聚力和吸引力。尽管取得了一定成果,但国内研究在跨文化交流与合作方面的探索仍显不足,未来需要更多关注国际经验的借鉴与融合,以促进校园足球社团持续健康发展。
1.3论文组织结构
本论文共分为七个主要章节,具体结构如下:
1. 绪论:介绍研究背景与意义,回顾国内外研究现状,并概述论文的组织结构。
2. 相关技术介绍:详细介绍与本研究相关的技术,包括Java语言、B/S框架、SpringBoot框架、Vue技术和MySQL数据库。
3. 需求分析:对系统的功能需求和非功能需求进行分析,明确用户和管理员的需求,并进行可行性分析,包括技术、操作和经济可行性。
4. 系统设计:涵盖系统架构设计、系统模块设计,并进行数据库的概念设计与表设计。
5. 系统实现:具体描述各个功能模块的实现过程,展示系统如何根据需求进行开发。
6. 系统测试:阐述测试的目的,分析测试结果并得出结论,以验证系统的稳定性和功能完整性。
7. 总结:总结研究的主要成果和贡献,指出存在的不足及未来的研究方向。
第二章 关键技术
2.1Java语言
Java语言是一种广泛使用的高级编程语言,具有平台无关性、面向对象特性和丰富的标准库。Java通过Java虚拟机(JVM)实现跨平台运行,开发者可以编写一次代码,在任何支持JVM的环境中执行[1]。Java的面向对象特性使得代码复用和模块化变得更加容易,促进了软件的维护和扩展。Java支持多线程编程,允许开发者在同一程序中同时执行多个任务,提升了应用程序的性能。
Java语言的语法结构简洁且易于理解,吸引了大量开发者。Java的标准库包含数据结构、输入输出处理、网络编程等众多功能模块。这使得开发者在构建应用程序时能够高效利用已有工具,减少重复劳动。Java广泛应用于企业级应用、移动应用、Web开发和大数据处理等领域。
2.2 B/S框架
B/S(Browser/Server)架构是一种基于浏览器和服务器的系统架构模式,用户通过浏览器与服务器进行交互。B/S架构简化了客户端的部署和管理,用户无需在本地安装复杂的软件,只需使用标准浏览器即可访问应用程序。服务器端负责处理业务逻辑和数据存储,客户端则主要负责展示用户界面和数据交互[2]。B/S架构的设计使得系统更新和维护集中在服务器端,降低了维护成本。
B/S架构通常采用Web技术进行实现,包括HTML、CSS和JavaScript等。用户在浏览器中发起请求,服务器响应并返回数据。数据传输通常通过HTTP或HTTPS协议进行,B/S架构的灵活性使其适用于在线购物、信息管理系统和社交网络等各类应用场景[3]。由于其易于扩展性,B/S架构可以方便地支持大规模用户访问,适应不断变化的业务需求。
2.3 SpringBoot框架
SpringBoot框架是基于Spring框架的开源项目,简化Java应用程序的开发过程。SpringBoot通过约定优于配置的理念,减少了传统Spring应用的繁琐配置,开发者可以快速搭建和部署应用程序。框架提供了一系列默认配置,支持自动化配置,简化了应用启动的复杂性[4]。SpringBoot内置了嵌入式Web服务器,使得开发者能够独立运行Java应用,无需外部容器。
SpringBoot支持微服务架构,开发者可以轻松创建和管理多个微服务。框架集成了丰富的功能模块,包括安全、数据访问和消息中间件等,支持RESTful API和JSON数据格式的处理[5]。SpringBoot还提供了强大的监控和管理功能,允许开发者实时监控应用的健康状态和性能指标。借助SpringBoot,开发者能够高效构建和维护现代企业级应用,满足复杂业务需求。
2.4 Vue技术
Vue是一种渐进式JavaScript框架,专注于构建用户界面。Vue采用组件化的开发模式,允许开发者将应用程序拆分为独立的、可重用的组件,从而提高了开发效率和代码的可维护性[6]。框架的核心库专注于视图层,支持数据绑定和DOM操作,提供了简洁的API。Vue的虚拟DOM机制提升了应用的性能,减少了实际DOM操作的次数。
Vue支持双向数据绑定,能够自动更新视图与模型之间的变化。开发者可以通过Vue的指令系统,简化数据展示和事件处理。Vue还支持路由管理和状态管理,使得开发复杂单页面应用变得更加容易[7]。借助Vue的生态系统,开发者能够使用多种工具和库来扩展功能,满足不同的业务需求。Vue在前端开发中逐渐成为主流选择,受到广泛关注和应用。
2.5 MySQL数据库
MySQL是一种开源关系型数据库管理系统,广泛应用于Web应用和企业级数据存储。MySQL支持结构化查询语言,允许开发者通过标准语句进行数据的创建、读取、更新和删除操作[8]。数据库通过表格形式组织数据,支持数据完整性和约束条件的定义。MySQL的存储引擎机制使得用户可以根据具体需求选择不同的存储引擎,以优化性能和功能。
MySQL具有高性能和可扩展性,支持大规模数据存储和高并发访问。系统提供了丰富的用户权限管理和数据加密安全特性。
第三章 系统分析
3.1系统可行性分析
3.1.1技术可行性
本系统采用成熟的软件开发技术和架构,具备良好的技术基础。后端使用Spring Boot框架与Java语言进行开发,结合MySQL数据库,能够有效支持系统的高并发访问和数据处理需求。该技术组合在众多管理系统中已得到广泛应用,具有良好的稳定性与扩展性,能满足校园足球社团管理平台的各项功能要求。
3.1.2操作可行性
系统设计注重用户体验,界面简洁直观,功能模块分类清晰,便于不同角色用户快速掌握操作方法。社团成员、教练和管理员可通过权限区分完成相应操作,如信息浏览、报名申请、数据管理等,流程符合常规使用习惯。配合必要的使用说明或培训,用户无需专业背景也能轻松上手,具备较强的实用性与推广价值。
3.1.3经济可行性
系统开发所需的技术资源和开发工具多为开源或低成本方案,大大降低了软件授权和部署成本。硬件方面,依托学校现有服务器或租赁低配云服务器即可满足运行需求。后期维护成本较低,主要集中在日常更新、数据备份及安全防护上。总体来看,系统建设投入可控,能够为学校提供长期高效的信息化服务,具有较好的经济效益。
3.2系统功能分析
3.2.1功能性分析
校园足球社团管理平台划分为了前端模块和后端模块两大部分。
前端社团成员模块:
- 注册登录:用户可以通过注册功能创建新账户,输入必要的信息如用户名、密码和邮箱等。登录功能允许用户输入已注册的凭证来访问个人账户和社团资源。
- 首页:首页展示了一个动态轮播图,提供最新足球资讯,显示场地信息,列出即将举行的足球比赛活动,以及展示球队和社团的相关信息,方便用户快速了解社团动态。
- 交流论坛:用户可以浏览论坛帖子,对感兴趣的内容进行点赞、收藏和评论。此外,用户还可以发布自己的帖子,分享观点和信息,促进社团内部的交流和讨论。
- 通知公告:此模块用于发布和查看社团的最新通知和公告,确保所有成员能够及时获取重要信息和更新。
- 足球资讯:用户可以浏览各类足球新闻和文章,对感兴趣的内容进行点赞、收藏和评论,与他人分享自己的看法。
- 投诉建议:提供一个在线留言平台,用户可以提交投诉或建议,帮助社团管理层了解成员的需求和改进点。
- 场地信息:用户可以浏览可用的足球场地信息,对感兴趣的场地进行点赞、收藏和评论,并进行预约操作,方便安排比赛和训练。
- 比赛活动:用户可以查看即将举行的足球比赛和活动详情,对活动进行点赞、收藏和评论。
- 球队社团:用户可以浏览不同球队和社团的信息,对感兴趣的球队或社团进行点赞、收藏和评论。
- 我的账户:用户可以在此模块修改个人密码和资料,确保账户信息的准确性和安全性。
- 个人中心:用户可以查看个人首页,管理预约的场地,申请报名参加社团活动,进行比赛报名,打卡训练计划,查看训练信息,管理自己的收藏和评论。
后端教练用户模块:
- 注册登录:该模块允许新用户注册账号,并为现有用户提供登录功能。注册时,用户需要提供必要的个人信息,如姓名、邮箱和密码等。登录功能则通过验证用户输入的凭证来允许用户访问系统。
- 后台首页:后台首页是教练管理界面的入口,提供直观的功能导航栏,方便教练快速访问不同的管理模块。页面上还展示有社团活动统计图、活动报名统计图、训练打卡统计图和训练信息统计图,以图表形式直观显示各项数据,帮助教练及时掌握社团的运营状况。教练可以通过点击头像来查看或修改个人信息和密码,确保账户安全。
- 社团活动管理:此模块允许教练添加新的社团活动,包括活动名称、时间、地点等详细信息。教练还可以查询、修改或删除已有的社团活动信息。通过管理活动详情,教练可以确保活动信息的准确性和及时更新。
- 活动报名管理:在该模块中,教练可以查询所有活动的报名情况,包括报名者的姓名、联系方式等信息。教练可以查看每个活动的报名详情,对报名数据进行管理,确保活动的顺利进行。
- 训练计划管理:教练可以在此模块中添加新的训练计划,包括训练内容、时间、地点等。同时,教练可以查询、修改或删除已有的训练计划。通过管理训练计划,教练可以为社团成员提供系统的训练安排。
- 训练打卡管理:该模块允许教练查询所有成员的训练打卡记录,包括打卡时间、训练内容等。教练可以查看每个成员的训练详情,并对训练数据进行分析,以评估训练效果和成员的参与度。
- 训练信息管理:教练可以查询和管理所有训练相关的详细信息,包括训练内容、指导要点、注意事项等。通过管理训练信息,教练可以确保社团成员获得准确的训练指导,提高训练质量。
后端管理员模块:
- 登录功能:管理员可以通过输入正确的用户名和密码登录到后台管理系统,确保系统的安全性。
- 后台首页:提供一个功能导航栏,方便管理员快速访问各个模块。同时,后台首页还展示了比赛活动统计图、社团活动统计图、活动报名统计图、训练打卡统计图以及训练信息统计图,帮助管理员一目了然地掌握各项活动的最新动态。此外,管理员可以通过点击头像来查看或修改个人信息和密码,确保个人信息的安全和隐私。
- 系统用户管理:管理员可以添加、查询、删除社团成员和教练用户,并且可以查看他们的详细信息。
- 预约时段管理:管理员可以添加新的预约时段,并对现有的时段进行查询和删除操作,同时也可以查看每个时段的详细信息。
- 场地信息管理:管理员可以添加新的场地信息,并对现有的场地信息进行查询、删除和查看评论,确保场地信息的准确性和及时更新。
- 预约场地管理:管理员可以查询和删除已经预约的场地信息,并查看每个预约的详细情况。
- 比赛活动管理:管理员可以添加新的比赛活动,并对现有的活动进行查询、删除和查看评论,确保比赛活动的顺利进行。
- 申请报名管理:管理员可以添加新的报名申请,并对现有的报名信息进行查询、删除和查看详细情况。
- 球队社团管理:管理员可以添加新的球队或社团,并对现有的球队或社团进行查询、删除和查看评论,促进球队和社团的健康发展。
- 社团活动管理:管理员可以添加新的社团活动,并对现有的活动进行查询、删除和报名操作,确保活动的有序进行。
- 活动报名管理:管理员可以查询和删除已经报名的活动信息,并查看每个报名的详细情况。
- 训练计划管理:管理员可以添加新的训练计划,并对现有的训练计划进行查询、删除和打卡操作,确保训练计划的有效执行。
- 训练打卡管理:管理员可以查询和删除已经完成的训练打卡记录,并查看训练数据,以便对训练效果进行评估。
- 训练信息管理:管理员可以查询和删除训练信息,并查看每个训练的详细情况,帮助管理员更好地管理训练活动。
- 系统管理:管理员可以对轮播图进行管理,包括添加、查询、删除和查看轮播图的详细信息,以吸引用户的注意力并提供重要信息。
- 留言管理:管理员可以处理用户的投诉建议,对留言进行查询、删除和回复操作,及时解决用户的问题和疑虑。
- 通知公告管理:管理员可以添加新的通知公告,并对现有的公告进行查询、删除和查看详细情况,确保信息的及时传达。
- 资源管理:管理员可以管理足球资讯,包括资讯分类的添加、查询、删除和查看评论,为用户提供丰富的足球相关资讯。
- 交流管理:管理员可以管理交流论坛,包括论坛分类的添加、查询、删除和查看评论,促进用户之间的交流和讨论。
3.2.2非功能性分析
校园足球社团管理平台的非功能性需求比如校园足球社团管理平台的安全性怎么样,可靠性怎么样,性能怎么样,可拓展性怎么样等,具体可以表示在如下3-1表格中:
表3-1校园足球社团管理平台非功能需求表
| 安全性 | 主要指校园足球社团管理平台数据库的安装,数据库的使用和密码的设定必须合乎规范。 |
| 可靠性 | 可靠性是指校园足球社团管理平台能够安装用户的指示进行操作,经过测试,可靠性90%以上。 |
| 性能 | 性能是影响校园足球社团管理平台占据市场的必要条件,所以性能最好要佳才好。 |
| 可扩展性 | 比如数据库预留多个属性,比如接口的使用等确保了系统的非功能性需求。 |
| 易用性 | 用户只要跟着校园足球社团管理平台的页面展示内容进行操作,就可以了。 |
| 可维护性 | 校园足球社团管理平台开发的可维护性是非常重要的,经过测试,可维护性没有问题 |
3.3系统用例分析
校园足球社团管理平台的完整UML用例图分别是图3-1、3-2、3-3。
社团成员角色用例如下图所示。

图3-1校园足球社团管理平台社团成员角色用例图
教练用户角色用例如下图所示。

图3-2校园足球社团管理平台教练用户角色用例图
管理员角色用例如下图所示。

图3-3校园足球社团管理平台管理员角色用例图
第四章 总体设计
本章主要讨论的内容包括校园足球社团管理平台的功能模块设计、数据库系统设计。
4.1系统架构设计
在系统架构设计中,我将确定系统的整体结构和组件之间的关系。这包括选择适当的架构风格,划分系统的层次结构,并定义各个模块的职责和交互方式。架构图如下图所示。

图4-1校园足球社团管理平台架构设计图
表示层(Presentation Layer):负责与用户进行交互,将系统的功能和数据以易于理解和操作的方式展示给用户。通常包括用户界面、页面设计和用户输入验证等。
业务逻辑层(Business Logic Layer):处理系统的核心业务逻辑,包括对用户请求的处理、业务规则的执行以及数据的处理和转换。它独立于表现层和数据层,实现了业务逻辑的封装和复用。
数据层(Data Layer):负责数据的存储、访问和管理,包括数据库和持久化机制。数据层提供了对数据的增删改查操作,并与业务逻辑层进行交互,使系统能够有效地存储和检索数据。
这三个层次相互独立,通过明确的接口和协议进行通信,实现了系统的模块化和可扩展性。表现层负责将用户的请求传递给业务逻辑层,业务逻辑层处理请求并返回结果,最后数据层负责与数据库交互并提供数据支持。这种分层架构有助于实现系统的可维护性、灵活性和可测试性。
4.2系统模块设计
在上一章节中主要对系统的功能性需求和非功能性需求进行分析,并且根据需求分析了本校园足球社团管理平台中的用例。那么接下来就要开始对本校园足球社团管理平台的架构、主要功能和数据库开始进行设计。校园足球社团管理平台根据前面章节的需求分析得出,校园足球社团管理平台的功能模块图如下图所示。

图4-2校园足球社团管理平台功能模块图
4.3系统总体流程设计
4.3.1用户登录流程
用户输入用户名和密码后,系统先检查输入是否为空,再验证用户名是否存在,若存在则通过用户名获取密码并校验。若密码正确则登录成功,否则提示密码错误。若用户名不存在或无法登录,提示用户操作无效。如下图所示。

图4-3登录流程图
4.3.2用户场地信息预约操作流程
当用户登录系统的时候,浏览场地信息,查看详情并生成场地信息预约,管理员处理预约信息。社团成员场地信息预约操作流程如图下所示。

图4-4场地信息预约操作流程图
4.4系统活动图设计
系统须支撑整个机构不同层面的多种职能,而各功能模块间存在着多种关联信息,组成一个有机整体,并针对就业数据自身特点和面临的现实条件,对系统进行流程图设计。活动图是一种用于对系统的动态行为建模的另一种常用图表,通常用于可视化展示系统中各个活动的执行顺序、流程控制和数据交互,展现从一个活动到另一个活动的控制流,活动图在本质上是一种流程图;但活动图着重表现从一个活动到另一个活动的控制流。因此,这里列举了2个业务活动图。
(1)用户登录查询的业务流程如下。
用户注册登录,系统从数据库获取用户数据信息,登录成功用户进入查询页面,用户输入查询关键字,数据库查询用户所输入的关键字,查询成功显示查询的模块信息,查询失败不显示。用户登录查询功能的活动图如下图所示。

图4-5用户登录查询活动图
(2)管理员添加信息的业务流程如下。
此活动图描述了管理员添加信息。管理员可以通过信息管理模块页面选择要添加的基本信息。添加成功传入数据库中,失败则不添加。管理员可以保存信息并更新系统中的信息。管理员添加信息功能的活动图如下图所示。

图4-6管理员添加信息活动图
4.5数据库设计
数据库设计是系统开发中至关重要的环节,为系统提供高效、规范的数据存储和管理方案。设计过程包括需求分析、实体设计、表设计和逻辑结构设计。首先,通过分析业务需求,确定系统的核心实体及其属性,同时明确实体间的关系。接着,将实体抽象为具体的数据库表,为每张表定义字段名、数据类型、主键和外键,通过主外键关系和关联表设计,保证数据的完整性和一致性。最后,数据库逻辑设计进一步优化表之间的关系,通过索引、视图和存储过程提升查询效率和操作性能。整个设计需严格遵循规范,避免数据冗余和冲突,确保系统在高并发访问和复杂数据处理场景下的稳定性和高效性。
4.5.1数据库概念结构设计
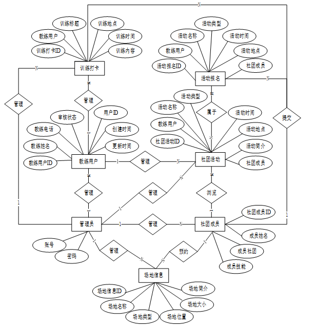
下面是整个校园足球社团管理平台中主要的数据库表总E-R实体关系图。

图4-7校园足球社团管理平台总E-R关系图
4.5.2数据库逻辑结构设计
通过上一小节中校园足球社团管理平台中总E-R关系图上得出一共需要创建多个数据表。在此主要罗列几个主要的数据库表结构设计。
| 编号 | 字段名 | 类型 | 长度 | 是否非空 | 是否主键 | 注释 |
| 1 | token_id | int | 是 | 是 | 临时访问牌ID | |
| 2 | token | varchar | 64 | 否 | 否 | 临时访问牌 |
| 3 | info | text | 65535 | 否 | 否 | 信息 |
| 4 | maxage | int | 是 | 否 | 最大寿命:默认2小时 | |
| 5 | create_time | timestamp | 是 | 否 | 创建时间 | |
| 6 | update_time | timestamp | 是 | 否 | 更新时间 | |
| 7 | user_id | int | 是 | 否 | 用户编号 |
表 4-2-activity_registration(活动报名)
| 编号 | 字段名 | 类型 | 长度 | 是否非空 | 是否主键 | 注释 |
| 1 | activity_registration_id | int | 是 | 是 | 活动报名ID | |
| 2 | coach_user | int | 否 | 否 | 教练用户 | |
| 3 | activity_number | varchar | 64 | 否 | 否 | 活动编号 |
| 4 | activity_name | varchar | 64 | 否 | 否 | 活动名称 |
| 5 | activity_type | varchar | 64 | 否 | 否 | 活动类型 |
| 6 | activity_time | varchar | 64 | 否 | 否 | 活动时间 |
| 7 | activity_location | varchar | 64 | 否 | 否 | 活动地点 |
| 8 | association_members | int | 否 | 否 | 社团成员 | |
| 9 | name_of_member | varchar | 64 | 否 | 否 | 成员姓名 |
| 10 | number_of_enrolment | varchar | 64 | 否 | 否 | 报名人数 |
| 11 | create_time | datetime | 是 | 否 | 创建时间 | |
| 12 | update_time | timestamp | 是 | 否 | 更新时间 | |
| 13 | source_table | varchar | 255 | 否 | 否 | 来源表 |
| 14 | source_id | int | 否 | 否 | 来源ID | |
| 15 | source_user_id | int | 否 | 否 | 来源用户 |
表 4-3-apply_for_registration(申请报名)
| 编号 | 字段名 | 类型 | 长度 | 是否非空 | 是否主键 | 注释 |
| 1 | apply_for_registration_id | int | 是 | 是 | 申请报名ID | |
| 2 | activity_number | varchar | 64 | 否 | 否 | 活动编号 |
| 3 | activity_name | varchar | 64 | 否 | 否 | 活动名称 |
| 4 | activity_type | varchar | 64 | 否 | 否 | 活动类型 |
| 5 | activity_time | varchar | 64 | 否 | 否 | 活动时间 |
| 6 | activity_location | varchar | 64 | 否 | 否 | 活动地点 |
| 7 | current_number_of_people | double | 否 | 否 | 现有人数 | |
| 8 | association_members | int | 否 | 否 | 社团成员 | |
| 9 | name_of_member | varchar | 64 | 否 | 否 | 成员姓名 |
| 10 | number_of_enrolment | varchar | 64 | 否 | 否 | 报名人数 |
| 11 | create_time | datetime | 是 | 否 | 创建时间 | |
| 12 | update_time | timestamp | 是 | 否 | 更新时间 | |
| 13 | source_table | varchar | 255 | 否 | 否 | 来源表 |
| 14 | source_id | int | 否 | 否 | 来源ID | |
| 15 | source_user_id | int | 否 | 否 | 来源用户 |
表 4-4-appointment_period(预约时段)
| 编号 | 字段名 | 类型 | 长度 | 是否非空 | 是否主键 | 注释 |
| 1 | appointment_period_id | int | 是 | 是 | 预约时段ID | |
| 2 | appointment_period | varchar | 64 | 否 | 否 | 预约时段 |
| 3 | create_time | datetime | 是 | 否 | 创建时间 | |
| 4 | update_time | timestamp | 是 | 否 | 更新时间 |
表 4-5-article(文章)
| 编号 | 字段名 | 类型 | 长度 | 是否非空 | 是否主键 | 注释 |
| 1 | article_id | mediumint | 是 | 是 | 文章id | |
| 2 | title | varchar | 125 | 是 | 是 | 标题 |
| 3 | type | varchar | 64 | 是 | 否 | 文章分类 |
| 4 | hits | int | 是 | 否 | 点击数 | |
| 5 | praise_len | int | 是 | 否 | 点赞数 | |
| 6 | create_time | timestamp | 是 | 否 | 创建时间 | |
| 7 | update_time | timestamp | 是 | 否 | 更新时间 | |
| 8 | source | varchar | 255 | 否 | 否 | 来源 |
| 9 | url | varchar | 255 | 否 | 否 | 来源地址 |
| 10 | tag | varchar | 255 | 否 | 否 | 标签 |
| 11 | content | longtext | 4294967295 | 否 | 否 | 正文 |
| 12 | img | varchar | 255 | 否 | 否 | 封面图 |
| 13 | description | text | 65535 | 否 | 否 | 文章描述 |
表 4-6-article_type(文章分类)
| 编号 | 字段名 | 类型 | 长度 | 是否非空 | 是否主键 | 注释 |
| 1 | type_id | smallint | 是 | 是 | 分类ID | |
| 2 | display | smallint | 是 | 否 | 显示顺序 | |
| 3 | name | varchar | 16 | 是 | 否 | 分类名称 |
| 4 | father_id | smallint | 是 | 否 | 上级分类ID | |
| 5 | description | varchar | 255 | 否 | 否 | 描述 |
| 6 | icon | text | 65535 | 否 | 否 | 分类图标 |
| 7 | url | varchar | 255 | 否 | 否 | 外链地址 |
| 8 | create_time | timestamp | 是 | 否 | 创建时间 | |
| 9 | update_time | timestamp | 是 | 否 | 更新时间 |
表 4-7-association_members(社团成员)
| 编号 | 字段名 | 类型 | 长度 | 是否非空 | 是否主键 | 注释 |
| 1 | association_members_id | int | 是 | 是 | 社团成员ID | |
| 2 | name_of_member | varchar | 64 | 否 | 否 | 成员姓名 |
| 3 | members_phone | varchar | 64 | 否 | 否 | 成员电话 |
| 4 | id_number | varchar | 64 | 否 | 否 | 身份证号 |
| 5 | member_association | varchar | 64 | 否 | 否 | 成员社团 |
| 6 | member_skills | varchar | 64 | 否 | 否 | 成员技能 |
| 7 | member_cv | varchar | 64 | 否 | 否 | 成员简历 |
| 8 | examine_state | varchar | 16 | 是 | 否 | 审核状态 |
| 9 | user_id | int | 是 | 否 | 用户ID | |
| 10 | create_time | datetime | 是 | 否 | 创建时间 | |
| 11 | update_time | timestamp | 是 | 否 | 更新时间 |
表 4-8-auth(用户权限管理)
| 编号 | 字段名 | 类型 | 长度 | 是否非空 | 是否主键 | 注释 |
| 1 | auth_id | int | 是 | 是 | 授权ID | |
| 2 | user_group | varchar | 64 | 否 | 否 | 用户组 |
| 3 | mod_name | varchar | 64 | 否 | 否 | 模块名 |
| 4 | table_name | varchar | 64 | 否 | 否 | 表名 |
| 5 | page_title | varchar | 255 | 否 | 否 | 页面标题 |
| 6 | path | varchar | 255 | 否 | 否 | 路由路径 |
| 7 | parent | varchar | 64 | 否 | 否 | 父级菜单 |
| 8 | parent_sort | int | 是 | 否 | 父级菜单排序 | |
| 9 | position | varchar | 32 | 否 | 否 | 位置 |
| 10 | mode | varchar | 32 | 是 | 否 | 跳转方式 |
| 11 | add | tinyint | 是 | 否 | 是否可增加 | |
| 12 | del | tinyint | 是 | 否 | 是否可删除 | |
| 13 | set | tinyint | 是 | 否 | 是否可修改 | |
| 14 | get | tinyint | 是 | 否 | 是否可查看 | |
| 15 | field_add | text | 65535 | 否 | 否 | 添加字段 |
| 16 | field_set | text | 65535 | 否 | 否 | 修改字段 |
| 17 | field_get | text | 65535 | 否 | 否 | 查询字段 |
| 18 | table_nav_name | varchar | 500 | 否 | 否 | 跨表导航名称 |
| 19 | table_nav | varchar | 500 | 否 | 否 | 跨表导航 |
| 20 | option | text | 65535 | 否 | 否 | 配置 |
| 21 | create_time | timestamp | 是 | 否 | 创建时间 | |
| 22 | update_time | timestamp | 是 | 否 | 更新时间 |
表 4-9-coach_user(教练用户)
| 编号 | 字段名 | 类型 | 长度 | 是否非空 | 是否主键 | 注释 |
| 1 | coach_user_id | int | 是 | 是 | 教练用户ID | |
| 2 | name_of_coach | varchar | 64 | 否 | 否 | 教练姓名 |
| 3 | coach_phone | varchar | 64 | 否 | 否 | 教练电话 |
| 4 | examine_state | varchar | 16 | 是 | 否 | 审核状态 |
| 5 | user_id | int | 是 | 否 | 用户ID | |
| 6 | create_time | datetime | 是 | 否 | 创建时间 | |
| 7 | update_time | timestamp | 是 | 否 | 更新时间 |
表 4-10-code_token(验证码)
| 编号 | 字段名 | 类型 | 长度 | 是否非空 | 是否主键 | 注释 |
| 1 | code_token_id | int | 是 | 是 | 验证码ID | |
| 2 | token | varchar | 255 | 否 | 否 | 令牌 |
| 3 | code | varchar | 255 | 否 | 否 | 验证码 |
| 4 | expire_time | timestamp | 是 | 否 | 失效时间 | |
| 5 | create_time | timestamp | 是 | 否 | 创建时间 | |
| 6 | update_time | timestamp | 是 | 否 | 更新时间 |
表 4-11-collect(收藏)
| 编号 | 字段名 | 类型 | 长度 | 是否非空 | 是否主键 | 注释 |
| 1 | collect_id | int | 是 | 是 | 收藏ID | |
| 2 | user_id | int | 是 | 是 | 收藏人ID | |
| 3 | source_table | varchar | 255 | 否 | 否 | 来源表 |
| 4 | source_field | varchar | 255 | 否 | 否 | 来源字段 |
| 5 | source_id | int | 是 | 否 | 来源ID | |
| 6 | title | varchar | 255 | 否 | 否 | 标题 |
| 7 | img | varchar | 255 | 否 | 否 | 封面 |
| 8 | create_time | timestamp | 是 | 否 | 创建时间 | |
| 9 | update_time | timestamp | 是 | 否 | 更新时间 |
表 4-12-comment(评论)
| 编号 | 字段名 | 类型 | 长度 | 是否非空 | 是否主键 | 注释 |
| 1 | comment_id | int | 是 | 是 | 评论ID | |
| 2 | user_id | int | 是 | 是 | 评论人ID | |
| 3 | reply_to_id | int | 是 | 否 | 回复评论ID | |
| 4 | content | longtext | 4294967295 | 否 | 否 | 内容 |
| 5 | nickname | varchar | 255 | 否 | 否 | 昵称 |
| 6 | avatar | varchar | 255 | 否 | 否 | 头像地址 |
| 7 | create_time | timestamp | 是 | 否 | 创建时间 | |
| 8 | update_time | timestamp | 是 | 否 | 更新时间 | |
| 9 | source_table | varchar | 255 | 否 | 否 | 来源表 |
| 10 | source_field | varchar | 255 | 否 | 否 | 来源字段 |
| 11 | source_id | int | 是 | 否 | 来源ID |
表 4-13-community_activities(社团活动)
| 编号 | 字段名 | 类型 | 长度 | 是否非空 | 是否主键 | 注释 |
| 1 | community_activities_id | int | 是 | 是 | 社团活动ID | |
| 2 | coach_user | int | 否 | 否 | 教练用户 | |
| 3 | activity_number | varchar | 64 | 否 | 否 | 活动编号 |
| 4 | activity_name | varchar | 64 | 否 | 否 | 活动名称 |
| 5 | activity_type | varchar | 64 | 否 | 否 | 活动类型 |
| 6 | current_number_of_people | double | 否 | 否 | 现有人数 | |
| 7 | activity_time | varchar | 64 | 否 | 否 | 活动时间 |
| 8 | activity_location | varchar | 64 | 否 | 否 | 活动地点 |
| 9 | activity_profile | text | 65535 | 否 | 否 | 活动简介 |
| 10 | association_members | int | 否 | 否 | 社团成员 | |
| 11 | name_of_member | varchar | 64 | 否 | 否 | 成员姓名 |
| 12 | activity_registration_limit_times | int | 是 | 否 | 报名限制次数 | |
| 13 | create_time | datetime | 是 | 否 | 创建时间 | |
| 14 | update_time | timestamp | 是 | 否 | 更新时间 |
表 4-14-competition_activities(比赛活动)
| 编号 | 字段名 | 类型 | 长度 | 是否非空 | 是否主键 | 注释 |
| 1 | competition_activities_id | int | 是 | 是 | 比赛活动ID | |
| 2 | activity_number | varchar | 64 | 否 | 否 | 活动编号 |
| 3 | activity_name | varchar | 64 | 否 | 否 | 活动名称 |
| 4 | activity_type | varchar | 64 | 否 | 否 | 活动类型 |
| 5 | activity_time | varchar | 64 | 否 | 否 | 活动时间 |
| 6 | current_number_of_people | double | 否 | 否 | 现有人数 | |
| 7 | activity_location | varchar | 64 | 否 | 否 | 活动地点 |
| 8 | activity_poster | varchar | 255 | 否 | 否 | 活动海报 |
| 9 | activity_profile | varchar | 64 | 否 | 否 | 活动简介 |
| 10 | praise_len | int | 是 | 否 | 点赞数 | |
| 11 | collect_len | int | 是 | 否 | 收藏数 | |
| 12 | comment_len | int | 是 | 否 | 评论数 | |
| 13 | apply_for_registration_limit_times | int | 是 | 否 | 报名限制次数 | |
| 14 | create_time | datetime | 是 | 否 | 创建时间 | |
| 15 | update_time | timestamp | 是 | 否 | 更新时间 |
表 4-15-forum(论坛)
| 编号 | 字段名 | 类型 | 长度 | 是否非空 | 是否主键 | 注释 |
| 1 | forum_id | mediumint | 是 | 是 | 论坛ID | |
| 2 | display | smallint | 是 | 否 | 排序 | |
| 3 | user_id | mediumint | 是 | 否 | 用户ID | |
| 4 | nickname | varchar | 16 | 否 | 否 | 昵称 |
| 5 | praise_len | int | 否 | 否 | 点赞数 | |
| 6 | hits | int | 是 | 否 | 访问数 | |
| 7 | title | varchar | 125 | 是 | 否 | 标题 |
| 8 | keywords | varchar | 125 | 否 | 否 | 关键词 |
| 9 | description | varchar | 255 | 否 | 否 | 描述 |
| 10 | url | varchar | 255 | 否 | 否 | 来源地址 |
| 11 | tag | varchar | 255 | 否 | 否 | 标签 |
| 12 | img | text | 65535 | 否 | 否 | 封面图 |
| 13 | content | longtext | 4294967295 | 否 | 否 | 正文 |
| 14 | create_time | timestamp | 是 | 否 | 创建时间 | |
| 15 | update_time | timestamp | 是 | 否 | 更新时间 | |
| 16 | avatar | varchar | 255 | 否 | 否 | 发帖人头像 |
| 17 | type | varchar | 64 | 是 | 否 | 论坛分类 |
| 18 | istop | int | 是 | 否 | 是否置顶 |
表 4-16-forum_type(论坛分类)
| 编号 | 字段名 | 类型 | 长度 | 是否非空 | 是否主键 | 注释 |
| 1 | type_id | smallint | 是 | 是 | 分类ID | |
| 2 | name | varchar | 16 | 是 | 否 | 分类名称 |
| 3 | description | varchar | 255 | 否 | 否 | 描述 |
| 4 | url | varchar | 255 | 否 | 否 | 外链地址 |
| 5 | father_id | smallint | 是 | 否 | 上级分类ID | |
| 6 | icon | varchar | 255 | 否 | 否 | 分类图标 |
| 7 | create_time | timestamp | 是 | 否 | 创建时间 | |
| 8 | update_time | timestamp | 是 | 否 | 更新时间 |
表 4-17-hits(用户点击)
| 编号 | 字段名 | 类型 | 长度 | 是否非空 | 是否主键 | 注释 |
| 1 | hits_id | int | 是 | 是 | 点赞ID | |
| 2 | user_id | int | 是 | 否 | 点赞人 | |
| 3 | create_time | timestamp | 是 | 否 | 创建时间 | |
| 4 | update_time | timestamp | 是 | 否 | 更新时间 | |
| 5 | source_table | varchar | 255 | 否 | 否 | 来源表 |
| 6 | source_field | varchar | 255 | 否 | 否 | 来源字段 |
| 7 | source_id | int | 是 | 否 | 来源ID |
表 4-18-message(留言板)
| 编号 | 字段名 | 类型 | 长度 | 是否非空 | 是否主键 | 注释 |
| 1 | message_id | int | 是 | 是 | 留言板ID | |
| 2 | user_id | int | 是 | 否 | 用户ID | |
| 3 | title | varchar | 64 | 否 | 否 | 标题 |
| 4 | content | longtext | 4294967295 | 是 | 否 | 内容 |
| 5 | nickname | varchar | 32 | 是 | 否 | 昵称 |
| 6 | avatar | varchar | 255 | 否 | 否 | 头像 |
| 7 | | varchar | 125 | 否 | 否 | 留言者邮箱 |
| 8 | phone | varchar | 11 | 否 | 否 | 留言者手机号码 |
| 9 | create_time | timestamp | 是 | 否 | 创建时间 | |
| 10 | update_time | timestamp | 是 | 否 | 更新时间 | |
| 11 | reply | longtext | 4294967295 | 否 | 否 | 回复 |
| 12 | reply_state | tinyint | 否 | 否 | 回复状态 |
表 4-19-notice(公告)
| 编号 | 字段名 | 类型 | 长度 | 是否非空 | 是否主键 | 注释 |
| 1 | notice_id | mediumint | 是 | 是 | 公告ID | |
| 2 | title | varchar | 125 | 是 | 否 | 标题 |
| 3 | content | longtext | 4294967295 | 否 | 否 | 正文 |
| 4 | create_time | timestamp | 是 | 否 | 创建时间 | |
| 5 | update_time | timestamp | 是 | 否 | 更新时间 |
表 4-20-praise(点赞)
| 编号 | 字段名 | 类型 | 长度 | 是否非空 | 是否主键 | 注释 |
| 1 | praise_id | int | 是 | 是 | 点赞ID | |
| 2 | user_id | int | 是 | 是 | 点赞人 | |
| 3 | create_time | timestamp | 是 | 否 | 创建时间 | |
| 4 | update_time | timestamp | 是 | 否 | 更新时间 | |
| 5 | source_table | varchar | 255 | 否 | 否 | 来源表 |
| 6 | source_field | varchar | 255 | 否 | 否 | 来源字段 |
| 7 | source_id | int | 是 | 否 | 来源ID | |
| 8 | status | tinyint | 是 | 否 | 点赞状态:1为点赞,0已取消 |
表 4-21-reserved_venue(预约场地)
| 编号 | 字段名 | 类型 | 长度 | 是否非空 | 是否主键 | 注释 |
| 1 | reserved_venue_id | int | 是 | 是 | 预约场地ID | |
| 2 | site_no | varchar | 64 | 否 | 否 | 场地编号 |
| 3 | site_name | varchar | 64 | 否 | 否 | 场地名称 |
| 4 | site_type | varchar | 64 | 否 | 否 | 场地类型 |
| 5 | site_location | varchar | 64 | 否 | 否 | 场地位置 |
| 6 | site_size | varchar | 64 | 否 | 否 | 场地大小 |
| 7 | association_members | int | 否 | 否 | 社团成员 | |
| 8 | name_of_member | varchar | 64 | 否 | 否 | 成员姓名 |
| 9 | member_association | varchar | 64 | 否 | 否 | 成员社团 |
| 10 | appointment_time | date | 否 | 否 | 预约时间 | |
| 11 | appointment_period | varchar | 64 | 否 | 否 | 预约时段 |
| 12 | create_time | datetime | 是 | 否 | 创建时间 | |
| 13 | update_time | timestamp | 是 | 否 | 更新时间 | |
| 14 | source_table | varchar | 255 | 否 | 否 | 来源表 |
| 15 | source_id | int | 否 | 否 | 来源ID | |
| 16 | source_user_id | int | 否 | 否 | 来源用户 |
表 4-22-site_information(场地信息)
| 编号 | 字段名 | 类型 | 长度 | 是否非空 | 是否主键 | 注释 |
| 1 | site_information_id | int | 是 | 是 | 场地信息ID | |
| 2 | site_no | varchar | 64 | 否 | 否 | 场地编号 |
| 3 | site_name | varchar | 64 | 否 | 否 | 场地名称 |
| 4 | site_type | varchar | 64 | 否 | 否 | 场地类型 |
| 5 | site_location | varchar | 64 | 否 | 否 | 场地位置 |
| 6 | site_size | varchar | 64 | 否 | 否 | 场地大小 |
| 7 | site_picture | varchar | 255 | 否 | 否 | 场地图片 |
| 8 | site_profile | text | 65535 | 否 | 否 | 场地简介 |
| 9 | praise_len | int | 是 | 否 | 点赞数 | |
| 10 | collect_len | int | 是 | 否 | 收藏数 | |
| 11 | comment_len | int | 是 | 否 | 评论数 | |
| 12 | reserved_venue_limit_times | int | 是 | 否 | 预约限制次数 | |
| 13 | create_time | datetime | 是 | 否 | 创建时间 | |
| 14 | update_time | timestamp | 是 | 否 | 更新时间 |
表 4-23-slides(轮播图)
| 编号 | 字段名 | 类型 | 长度 | 是否非空 | 是否主键 | 注释 |
| 1 | slides_id | int | 是 | 是 | 轮播图ID | |
| 2 | title | varchar | 64 | 否 | 否 | 标题 |
| 3 | content | varchar | 255 | 否 | 否 | 内容 |
| 4 | url | varchar | 255 | 否 | 否 | 链接 |
| 5 | img | varchar | 255 | 否 | 否 | 轮播图 |
| 6 | hits | int | 是 | 否 | 点击量 | |
| 7 | create_time | timestamp | 是 | 否 | 创建时间 | |
| 8 | update_time | timestamp | 是 | 否 | 更新时间 |
表 4-24-team_societies(球队社团)
| 编号 | 字段名 | 类型 | 长度 | 是否非空 | 是否主键 | 注释 |
| 1 | team_societies_id | int | 是 | 是 | 球队社团ID | |
| 2 | team_name | varchar | 64 | 否 | 否 | 球队名称 |
| 3 | creation_time | date | 否 | 否 | 创立时间 | |
| 4 | number_of_teams | varchar | 64 | 否 | 否 | 球队人数 |
| 5 | team_captain | varchar | 64 | 否 | 否 | 球队队长 |
| 6 | team_icon | varchar | 255 | 否 | 否 | 球队图标 |
| 7 | player_name | text | 65535 | 否 | 否 | 球员名称 |
| 8 | team_profile | text | 65535 | 否 | 否 | 球队简介 |
| 9 | praise_len | int | 是 | 否 | 点赞数 | |
| 10 | collect_len | int | 是 | 否 | 收藏数 | |
| 11 | comment_len | int | 是 | 否 | 评论数 | |
| 12 | create_time | datetime | 是 | 否 | 创建时间 | |
| 13 | update_time | timestamp | 是 | 否 | 更新时间 |
表 4-25-training_clock_in(训练打卡)
| 编号 | 字段名 | 类型 | 长度 | 是否非空 | 是否主键 | 注释 |
| 1 | training_clock_in_id | int | 是 | 是 | 训练打卡ID | |
| 2 | coach_user | int | 否 | 否 | 教练用户 | |
| 3 | punch_in_number | varchar | 64 | 否 | 否 | 打卡编号 |
| 4 | training_title | varchar | 64 | 否 | 否 | 训练标题 |
| 5 | training_location | varchar | 64 | 否 | 否 | 训练地点 |
| 6 | training_time | varchar | 64 | 否 | 否 | 训练时间 |
| 7 | training_content | text | 65535 | 否 | 否 | 训练内容 |
| 8 | association_members | int | 否 | 否 | 社团成员 | |
| 9 | name_of_member | varchar | 64 | 否 | 否 | 成员姓名 |
| 10 | pin_in_picture | varchar | 255 | 否 | 否 | 打卡图片 |
| 11 | training_information_limit_times | int | 是 | 否 | 训练数据限制次数 | |
| 12 | create_time | datetime | 是 | 否 | 创建时间 | |
| 13 | update_time | timestamp | 是 | 否 | 更新时间 | |
| 14 | source_table | varchar | 255 | 否 | 否 | 来源表 |
| 15 | source_id | int | 否 | 否 | 来源ID | |
| 16 | source_user_id | int | 否 | 否 | 来源用户 |
表 4-26-training_information(训练信息)
| 编号 | 字段名 | 类型 | 长度 | 是否非空 | 是否主键 | 注释 |
| 1 | training_information_id | int | 是 | 是 | 训练信息ID | |
| 2 | coach_user | int | 否 | 否 | 教练用户 | |
| 3 | punch_in_number | varchar | 64 | 否 | 否 | 打卡编号 |
| 4 | training_title | varchar | 64 | 否 | 否 | 训练标题 |
| 5 | training_location | varchar | 64 | 否 | 否 | 训练地点 |
| 6 | training_time | varchar | 64 | 否 | 否 | 训练时间 |
| 7 | association_members | int | 否 | 否 | 社团成员 | |
| 8 | name_of_member | varchar | 64 | 否 | 否 | 成员姓名 |
| 9 | technical_score | double | 否 | 否 | 技术评分 | |
| 10 | physical_fitness_index | text | 65535 | 否 | 否 | 体能指标 |
| 11 | create_time | datetime | 是 | 否 | 创建时间 | |
| 12 | update_time | timestamp | 是 | 否 | 更新时间 | |
| 13 | source_table | varchar | 255 | 否 | 否 | 来源表 |
| 14 | source_id | int | 否 | 否 | 来源ID | |
| 15 | source_user_id | int | 否 | 否 | 来源用户 |
表 4-27-training_plan(训练计划)
| 编号 | 字段名 | 类型 | 长度 | 是否非空 | 是否主键 | 注释 |
| 1 | training_plan_id | int | 是 | 是 | 训练计划ID | |
| 2 | coach_user | int | 否 | 否 | 教练用户 | |
| 3 | punch_in_number | varchar | 64 | 否 | 否 | 打卡编号 |
| 4 | training_title | varchar | 64 | 否 | 否 | 训练标题 |
| 5 | training_location | varchar | 64 | 否 | 否 | 训练地点 |
| 6 | training_time | varchar | 64 | 否 | 否 | 训练时间 |
| 7 | training_content | text | 65535 | 否 | 否 | 训练内容 |
| 8 | association_members | int | 否 | 否 | 社团成员 | |
| 9 | name_of_member | varchar | 64 | 否 | 否 | 成员姓名 |
| 10 | training_clock_in_limit_times | int | 是 | 否 | 打卡限制次数 | |
| 11 | create_time | datetime | 是 | 否 | 创建时间 | |
| 12 | update_time | timestamp | 是 | 否 | 更新时间 |
表 4-28-upload(文件上传)
| 编号 | 字段名 | 类型 | 长度 | 是否非空 | 是否主键 | 注释 |
| 1 | upload_id | int | 是 | 是 | 上传ID | |
| 2 | name | varchar | 64 | 否 | 否 | 文件名 |
| 3 | path | varchar | 255 | 否 | 否 | 访问路径 |
| 4 | file | varchar | 255 | 否 | 否 | 文件路径 |
| 5 | display | varchar | 255 | 否 | 否 | 显示顺序 |
| 6 | father_id | int | 否 | 否 | 父级ID | |
| 7 | dir | varchar | 255 | 否 | 否 | 文件夹 |
| 8 | type | varchar | 32 | 否 | 否 | 文件类型 |
表 4-29-user(用户账户)
| 编号 | 字段名 | 类型 | 长度 | 是否非空 | 是否主键 | 注释 |
| 1 | user_id | int | 是 | 是 | 用户ID | |
| 2 | state | smallint | 是 | 否 | 账户状态:(1可用|2异常|3已冻结|4已注销) | |
| 3 | user_group | varchar | 32 | 否 | 否 | 所在用户组 |
| 4 | login_time | timestamp | 是 | 否 | 上次登录时间 | |
| 5 | phone | varchar | 11 | 否 | 否 | 手机号码 |
| 6 | phone_state | smallint | 是 | 否 | 手机认证:(0未认证|1审核中|2已认证) | |
| 7 | username | varchar | 16 | 是 | 否 | 用户名 |
| 8 | nickname | varchar | 16 | 否 | 否 | 昵称 |
| 9 | password | varchar | 64 | 是 | 否 | 密码 |
| 10 | | varchar | 64 | 否 | 否 | 邮箱 |
| 11 | email_state | smallint | 是 | 否 | 邮箱认证:(0未认证|1审核中|2已认证) | |
| 12 | avatar | varchar | 255 | 否 | 否 | 头像地址 |
| 13 | open_id | varchar | 255 | 否 | 否 | 针对获取用户信息字段 |
| 14 | create_time | timestamp | 是 | 否 | 创建时间 |
表 4-30-user_group(用户组)
| 编号 | 字段名 | 类型 | 长度 | 是否非空 | 是否主键 | 注释 |
| 1 | group_id | mediumint | 是 | 是 | 用户组ID | |
| 2 | display | smallint | 是 | 否 | 显示顺序 | |
| 3 | name | varchar | 16 | 是 | 否 | 名称 |
| 4 | description | varchar | 255 | 否 | 否 | 描述 |
| 5 | source_table | varchar | 255 | 否 | 否 | 来源表 |
| 6 | source_field | varchar | 255 | 否 | 否 | 来源字段 |
| 7 | source_id | int | 是 | 否 | 来源ID | |
| 8 | register | smallint | 否 | 否 | 注册位置 | |
| 9 | create_time | timestamp | 是 | 否 | 创建时间 | |
| 10 | update_time | timestamp | 是 | 否 | 更新时间 |
第五章 详细设计与实现
5.1前端首页模块
首页展示轮播图、足球资讯、场地信息、比赛活动及球队社团推荐等内容,为用户提供一站式信息入口。系统采用动态加载技术,实时更新最新动态,增强用户获取信息的便捷性与时效性。页面布局清晰,便于快速浏览和跳转至相关功能模块,提升整体使用体验。前台首页模块展示如下图所示。

图5-1前台首页模块图
5.2用户注册模块
不是校园足球社团管理平台中正式用户的是可以在线进行注册的,当填写上自己的账号+设置密码+确认密码+昵称+邮箱+手机号+身份+用户姓名+用户性别等信息后再点击“注册”按钮后将会先验证输入的有没有空数据,再次验证密码和确认密码是否是一样的,最后验证输入的账户名和数据库表中已经注册的账户名是否重复,只有都验证没问题后即可用户注册成功。其用户注册模块展示如下图所示。

图5-2注册模块图
5.3登录模块
校园足球社团管理平台中的前台上注册后的用户是可以通过自己的用户名+密码进行登录的,当用户输入完整的自己的用户名+密码信息并点击“登录”按钮后,将会首先验证输入的有没有空数据,再次验证输入的用户名+密码和数据库中当前保存的用户信息是否一致,只有在一致后将会登录成功并自动跳转到校园足球社团管理平台的首页中,否则将会提示相应错误信息,登录模块如下图所示。

图5-3登录模块图
5.4前端社团成员功能模块
5.4.1交流论坛模块
用户可浏览论坛中的各类话题,对感兴趣内容进行点赞、收藏或评论,也可自主发布新帖,与其他成员互动交流。系统设有分类标签,便于内容归类与检索,管理员可对违规内容进行审核管理,维护良好的交流环境。模块如下图所示。

图5-4交流论坛模块图
5.4.2足球资讯模块
用户可在线浏览最新的足球新闻与相关文章,支持按分类或关键词搜索,提高信息获取效率。每条资讯支持点赞、收藏和评论功能,增强用户参与感。系统后台定期更新内容,确保资讯的真实性和时效性,帮助成员掌握校园内外足球动态。模块如下图所示。

图5-5足球资讯模块图
5.4.3比赛活动模块
该模块集中展示即将举行的各类足球社团活动信息,用户可浏览活动详情,包括活动名称、时间、地点、参与人员等关键信息。通过点击活动详情,用户可进一步了解活动内容,便于积极参与。系统支持按名称、类型等条件筛选活动,帮助用户快速定位感兴趣的内容。模块如下图所示。

图5-6比赛活动模块图
5.4.4球队社团模块
该模块展示各足球社团的基本信息、成员构成,用户可在线浏览并查看他人评论。支持关注或收藏感兴趣的社团,便于获取最新动态。提高社团影响力与成员招募效率。模块如下图所示。

图5-7球队社团模块图
5.4.5场地信息模块
系统展示所有可用场地的详细信息,包括位置、设施、使用状态等,用户可在线浏览并查看其他用户的评论。支持场地预约功能,用户可根据时段选择并提交申请,系统自动判断时间冲突并提示预约结果,提升场地使用的规范性与透明度。模块如下图所示。

图5-8场地信息详情模块图

图5-9场地信息:预约模块图
5.4.6个人中心模块
个人中心集成多种核心功能,包括个人主页展示、场地预约记录、报名情况、训练打卡计划与执行情况、收藏内容及评论管理。用户可在此统一管理自己的操作行为,系统提供可视化进度展示,帮助用户规划训练节奏,提升自我管理能力。模块如下图所示。

图5-10个人中心模块图
5.5后端教练用户功能模块
5.5.1社团活动管理模块
教练可在该模块对社团活动进行添加、查询与删除操作,支持查看详情信息。系统提供统一管理入口,便于维护活动列表,确保信息准确性和时效性,提高组织效率与透明度。模块如下图所示。

图5-11社团活动管理添加模块图
5.5.2训练计划管理模块
教练可自主添加新的训练计划,设置周期、内容与目标,并对已有计划进行查询与删除操作。每项计划支持查看详情,包括执行进度与成员完成情况,助力科学制定训练方案,提升训练效果与管理水平。模块如下图所示。

图5-12训练计划管理添加模块图
5.5.3训练打卡管理模块
该模块用于查看成员的训练打卡记录,包括打卡时间、地点、训练内容等信息。教练可查看详情并查阅相关训练数据,如训练时长、强度与完成质量,辅助评估训练成效,及时调整训练策略,增强训练监督与指导能力。模块如下图所示。

图5-13训练打卡管理模块图
5.6后端管理员功能模块
5.6.1后台首页模块
此页面集成了多种统计图表,如比赛活动统计图、社团活动统计图等,为管理员提供全面的数据视图,以便快速了解各项活动的整体情况。通过直观的数据展示,管理员可以做出更加精准的决策。此外,界面设计简洁明了,便于操作,提升工作效率。模块如下图所示。

图5-14后台首页模块图
5.6.2系统用户模块
在系统用户管理中,管理员可以对所有类型的用户进行添加、删除、查询和查看详情的操作。这使得管理员能够有效地管理和维护平台用户数据库,确保每一位用户的信息准确无误,并能根据需要调整用户权限或删除违规账号,保证系统的健康运行。流程图如下所示。

图5-15系统用户流程图
系统用户模块如下图所示。

图5-16系统用户模块图
5.6.3预约时段管理模块
管理员可通过此模块灵活管理场地的预约时段,包括添加新的预约时间、查询现有预约情况及删除不再适用的时间段。详情页展示了预约的具体信息,帮助管理员合理规划场地资源,提高利用率。模块如下图所示。

图5-17预约时段管理模块图
5.6.4场地信息管理模块
该模块允许管理员对场地信息进行添加、查询、删除操作,并能查看评论以了解用户反馈。通过详细的管理,确保场地信息准确无误,同时收集用户意见来优化服务体验,促进场地的有效利用。模块如下图所示。

图5-18场地信息管理添加模块图
5.6.5比赛活动管理模块
管理员负责比赛活动的全流程管理,包括添加新赛事、查询现有赛事详情、删除过期赛事以及查看用户评论。这些功能保证了赛事信息的及时更新与公开透明,提升了参与者的满意度和赛事组织效率。模块如下图所示。

图5-19比赛活动管理模块图
5.6.6申请报名管理模块
在这一模块,管理员可以处理各种活动的报名申请,实现添加、查询、删除操作,并查看详细报名情况。这样不仅简化了报名流程,也方便了后续的组织工作,确保每项活动顺利进行。模块如下图所示。

图5-20申请报名管理模块图
5.6.7资源管理模块
管理员对足球资讯及其分类进行管理,包括添加、查询、删除操作,并能查看评论。这有助于提供丰富的内容资源,满足用户的信息需求,推动校园足球文化的发展。模块如下图所示。

图5-21足球资讯管理模块图
5.6.8交流管理模块
管理员负责论坛的管理,包括添加、查询、删除论坛分类及具体内容,并查看评论。这有助于维持一个积极健康的交流平台,促进社团成员间的互动与合作。模块如下图所示。

图5-22交流论坛管理模块图
第六章 系统测试
6.1系统测试的目的
测试的主要目的是确保系统的功能和性能满足预期的需求,同时识别和修复潜在的缺陷。通过系统测试,可以验证各个功能模块的正确性和稳定性,确保系统在不同使用场景下的表现符合设计要求。测试目的包括确认系统功能的完整性、验证数据处理的准确性、评估系统的性能和安全性[10]。测试还可以提高用户满意度,保证用户在使用系统时获得流畅和可靠的体验。通过全面的测试,可以降低后期维护成本,减少系统上线后出现故障的风险,从而保障系统的长期稳定运行。
6.2测试方法
在本系统中,测试方法主要依赖于测试用例的设计与执行。测试用例是根据系统需求文档编写的,覆盖所有功能模块及其边界情况。每个测试用例包含输入数据、预期结果和实际结果的对比,以验证系统的功能是否按预期工作。
常见的测试用例包括功能测试用例、边界测试用例和异常测试用例。功能测试用例针对系统的各项功能进行验证;边界测试用例则侧重于输入数据的边界条件,验证系统在极端情况下是否能够稳定运行;异常测试用例则用于验证系统在处理错误输入或异常情况时的反应。本文选择功能测试用例进行系统测试。
在测试执行过程中,记录每个用例的执行结果,并根据实际结果与预期结果的对比,判断系统是否存在缺陷。通过系统化的测试用例执行,可以有效提高测试的覆盖率和效率,为系统的最终上线提供保障。
6.3测试用例
6.3.1用户登录功能测试
表6-1 用户登录功能测试表
| 用例名称 | 用户登录系统 |
| 目的 | 测试用户通过正确的用户名和密码可否登录功能 |
| 前提 | 未登录的情况下 |
| 测试流程 | 1) 进入登录页面 2) 输入正确的用户名和密码 |
| 预期结果 | 用户名和密码正确的时候,跳转到登录成功界面,反之则显示错误信息,提示重新输入 |
| 实际结果 | 实际结果与预期结果一致 |
6.3.2创建数据测试
在系统中,创建功能也是基础功能之一,因此创建功能的测试很有代表性。在此章节主要列举在创建时各种情况下系统结果的测试。由于系统涉及创建功能操作过多,因此将多处统称创建功能。
创建数据用例如表6-2 所示。
表6-2 创建数据测试用例
| 测试用例编号 | YL_05 | |
| 测试用例名称 | 系统使用者进行创建数据 | |
| 测试用例描述 | 使用者输入要创建的数据 | |
| 系统入口 | 浏览器 | |
| 步骤 | 预期结果 | 实际结果 |
| 输入完整并且格式正确的数据 | 提示“创建成功”,并显示所有数据 | 预期结果 |
| 核心位置数据但非必要位置不输入数据 | 提示“创建成功”,并显示所有数据 | 预期结果 |
| 核心数据位置不输入数据 | 提示“创建失败” | 预期结果 |
6.3.3修改数据测试
在系统中,修改功能是系统主要实现功能,因此修改功能的测试很有代表性。在此章节主要列举在修改时各种情况下系统结果的测试。由于系统涉及修改功能操作过多,因此将多处数据表记录修改和状态修改统称修改功能。
修改数据用例如表6-3所示。
表6-3 修改数据测试用例
| 测试用例编号 | YL_06 | |
| 测试用例名称 | 系统使用者进行修改数据 | |
| 测试用例描述 | 使用者对可修改的数据项进行修改 | |
| 系统入口 | 浏览器 | |
| 步骤 | 预期结果 | 实际结果 |
| 将现有数据修改成正确的数据 | 提示“修改成功”,并显示所有数据 | 预期结果 |
| 将现有数据修改成错误的数据 | 提示“修改失败” | 预期结果 |
6.3.4查询数据测试
在系统中,查询功能是使用系统使用最多也是最基础的功能,因此查询功能的测试很有代表性。在此章节主要列举在查询时各种情况下系统结果的测试。
查询数据用例如表6-4所示。
表6-4 查询数据测试用例
| 测试用例编号 | YL_05 | |
| 测试用例名称 | 系统使用者进行查询数据 | |
| 测试用例描述 | 全部查询以及输入关键词查询 | |
| 系统入口 | 浏览器 | |
| 步骤 | 预期结果 | 实际结果 |
| 界面自动查询全部 | 显示对应所有记录 | 预期结果 |
| 输入已存在且能匹配成功的关键字 | 显示所查询到的数据 | 预期结果 |
| 输入不存在的关键字 | 显示数据界面为空 | 预期结果 |
6.4测试结果
在本次测试的过程主要针对所有功能下的添加操作,修改操作和删除操作,并以真实数据一一进行相关功能项目的输入,最终能够保证每个项目涉及的功能都能够正常运行,因此能够保证本次设计的,已实现的功能能够正常运行并且相关数据库的信息也同样保证正确。
校园足球社团管理平台利用Spring Boot框架与Java语言开发,结合MySQL数据库,成功实现了对社团活动、比赛组织、场地预约、训练计划及成员互动等核心功能的全面支持。通过系统化的管理和便捷的操作界面,用户可以高效地完成从注册登录到活动报名、训练打卡等一系列操作。整个开发过程中,注重用户体验和数据安全,确保信息传递的准确性和及时性,提升了社团运作的整体效率。
在项目实施过程中,积累了丰富的开发经验,特别是在需求分析、架构设计和功能实现方面取得了显著进步。深入理解了如何运用现代信息技术手段优化传统管理模式,提高了问题解决能力和项目管理水平。通过不断测试与优化,增强了系统的稳定性和扩展性,为后续功能升级奠定了坚实基础。
展望未来,随着技术的发展和用户需求的多样化,平台有潜力引入更多创新功能,如增强数据分析能力以支持决策制定。进一步加强与其他高校或机构的合作交流,可以促进资源共享与服务拓展,共同推动校园足球文化的发展。期望该平台不仅能成为校园内不可或缺的管理工具,还能为其他类型的社团提供借鉴,助力构建更加丰富多彩的校园生活。
- 尹应荆.JAVA编程语言在计算机软件开发中的应用[J].石河子科技,2023,(05):45-47.
- 刘江涛,王亮亮,吴庆茹,等.基于B/S模式的铁路勘测设计案例信息化管理系统设计与实现[J].铁路计算机应用,2021,30(03):32-35.
- 张丹丹,李弘.基于B/S架构的办公管理系统设计与开发[J].铁路通信信号工程技术,2024,21(09):44-48+106.
- 王志亮,纪松波.基于SpringBoot的Web前端与数据库的接口设计[J].工业控制计算机,2023,36(03):51-53.
- 熊永平.基于SpringBoot框架应用开发技术的分析与研究[J].电脑知识与技术,2021,15(36):76-77.
- 赵媛.基于Vue的Web系统前端性能优化分析[J].电脑编程技巧与维护,2024,(09):44-46.
- 秦冬.浅析Vue框架在前端开发中的应用[J].信息与电脑(理论版),2024,36(13):61-63.
- 李艳杰.MySQL数据库下存储过程的综合运用研究[J].现代信息科技,2023,7(11):80-82+88.
- 周晓玉,崔文超.基于Web技术的数据库应用系统设计[J].信息与电脑(理论版),2023,35(09):189-191.
- 李俊萌.计算机软件测试技术与开发应用策略分析[J].信息记录材料,2023,24(03):50-52.
- Java Sunrise Coffee: Better Beans, and Better Coffee [J]. M2 Presswire, 2025,
- Salunke V S ,Ouda A . A Performance Benchmark for the PostgreSQL and MySQL Databases [J]. Future Internet, 2024, 16 (10): 382-382.
- Shao W ,Liu K . Design and Implementation of Online Ordering System Based on SpringBoot [J]. Journal of Big Data and Computing, 2024, 2 (3):
- 杨硕.开展校园足球社团活动的育人价值、现实障碍与纾解策略[J].校园足球,2024,(10):30-33.
- 杨晓燕.足球社团助力小学校园足球发展的路径研究[J].体育视野,2024,(09):20-23.
- 唐佳雯.巧用足球社团,提升校园足球运动水平[J].教育界,2023,(20):14-16.
- 刘永涛.高中校园足球社团开展的现状调查[J].新体育,2022,(24):93-95.
- 王金霞.多元策略开展农村小学校园足球社团活动[J].农家参谋,2022,(20):147-149.
- 张婷婷.足球社团助力小学校园足球运动的策略研究[J].拳击与格斗,2022,(10):99-101.
- 孙中政.校园足球背景下上海市高校足球社团现状研究[D].上海师范大学,2019.
校园足球社团管理平台设计与实现工作已结束,虽然过程中充满挑战,但内心充满自豪和满足。感谢大学四年间教导我的所有老师,他们的专业知识与人生智慧让我成长为能独立完成系统的学生。特别感谢指导老师,他耐心解答疑惑,引导我解决问题,提升自主解决能力。室友和同学们的宝贵建议和支持也让我取得长足进步。未来,我将继续努力追求卓越,不辜负所学所悟和老师期望。坚信坚定信念和不懈努力,未来定能取得更辉煌成就。期待更美好未来!
此外,校园足球社团管理平台设计与实现不仅是技术挑战,挫折和困难是成长的垫脚石,让我更深入理解问题,精确找到解决方案。每次解决问题,都感到满足和自豪。
对于未来,我充满期待和信心。无论道路多崎岖,只要保持坚定信念,持续努力,定能取得更大成就。期待将知识和技能运用到实际中,为社会做出更大贡献。
最后,感谢所有帮助和支持我的人。你们的教诲、鼓励和支持让我有今天的成就。我会继续努力,不辜负期望,为实现更美好的未来而奋斗。
代码:
连接数据库的文件在Resources 文件夹下的application.yml文件,代码如下:
server:
port: 5000
servlet:
context-path: /api
spring:
mvc:
static-path-pattern: /upload/**
resources:
static-locations: file:此处填写地址/project93355/server/src/main/resources/static
datasource:
jdbc:mysql://127.0.0.1:3306/projectxxxxx?serverTimezone=GMT%2B8&useSSL=false&characterEncoding=utf-8
username: root
password: root
driver-class-name: com.mysql.cj.jdbc.Driver
type: com.alibaba.druid.pool.DruidDataSource
jackson:
property-naming-strategy: CAMEL_CASE_TO_LOWER_CASE_WITH_UNDERSCORES
default-property-inclusion: ALWAYS
time-zone: GMT+8
date-format: yyyy-MM-dd HH:mm:ss
servlet:
项目启动文件Application.java,代码如下:
@SpringBootApplication(exclude = {DataSourceAutoConfiguration.class})
@EnableJpaRepositories
@MapperScan("com.project.demo.dao")
public class Application {
public static void main(String[] args) {
SpringApplication.run(Application.class,args);
}
}
修改数据代码如下:
@PostMapping("/set")
@Transactional
public Map<String, Object> set(HttpServletRequest request) throws IOException {
service.update(service.readQuery(request), service.readConfig(request), service.readBody(request.getReader()));
return success(1);
}
删除一条数据代码如下:
@RequestMapping(value = "/del")
@Transactional
public Map<String, Object> del(HttpServletRequest request) {
service.delete(service.readQuery(request), service.readConfig(request));
return success(1);
}
public void delete(Map<String,String> query,Map<String,String> config){
QueryWrapper wrapper = new QueryWrapper<E>();
toWhereWrapper(query, "0".equals(config.get(FindConfig.GROUP_BY)),wrapper);
baseMapper.delete(wrapper);
log.info("[{}] - 删除操作:{}",wrapper.getSqlSelect());
}
通过请求的参数获取列表数据,代码如下:
@RequestMapping("/get_list")
public Map<String, Object> getList(HttpServletRequest request) {
Map<String, Object> map = service.selectToPage(service.readQuery(request), service.readConfig(request));
return success(map);
}
获取某个组下面的数量,代码如下:
@RequestMapping(value = {"/count_group", "/count"})
public Map<String, Object> count(HttpServletRequest request) {
Integer value= service.selectSqlToInteger(service.groupCount(service.readQuery(request), service.readConfig(request)));
return success(value);
}
注册页登录代码如下:
/**
* 注册
* @param user
* @return
*/
@PostMapping("register")
public Map<String, Object> signUp(@RequestBody User user) {
// 查询用户
Map<String, String> query = new HashMap<>();
Map<String,Object> map = JSON.parseObject(JSON.toJSONString(user));
query.put("username",user.getUsername());
List list = service.selectBaseList(service.select(query, new HashMap<>()));
if (list.size()>0){
return error(30000, "用户已存在");
}
map.put("password",service.encryption(String.valueOf(map.get("password"))));
service.insert(map);
return success(1);
}
MD5加密,代码如下:
public String encryption(String plainText) {
String re_md5 = new String();
try {
MessageDigest md = MessageDigest.getInstance("MD5");
md.update(plainText.getBytes());
byte b[] = md.digest();
int i;
StringBuffer buf = new StringBuffer("");
for (int offset = 0; offset < b.length; offset++) {
i = b[offset];
if (i < 0)
i += 256;
if (i < 16)
buf.append("0");
buf.append(Integer.toHexString(i));
}
re_md5 = buf.toString();
} catch (Exception e) {
e.printStackTrace();
}
return re_md5;
}
登录页代码如下:
/**
* 登录
* @param data
* @param httpServletRequest
* @return
*/
@PostMapping("login")
public Map<String, Object> login(@RequestBody Map<String, String> data, HttpServletRequest httpServletRequest) {
log.info("[执行登录接口]");
String username = data.get("username");
String email = data.get("email");
String phone = data.get("phone");
String password = data.get("password");
List resultList = null;
Map<String, String> map = new HashMap<>();
if(username != null && "".equals(username) == false){
map.put("username", username);
resultList = service.selectBaseList(service.select(map, new HashMap<>()));
}
else if(email != null && "".equals(email) == false){
map.put("email", email);
resultList = service.selectBaseList(service.select(map, new HashMap<>()));
}
找回密码,接收用户输入的用户名、密码、验证码,并进行条件判断,代码如下:
/**
* 找回密码
* @param form
* @return
*/
@PostMapping("forget_password")
public Map<String, Object> forgetPassword(@RequestBody User form,HttpServletRequest request) {
JSONObject ret = new JSONObject();
String username = form.getUsername();
String code = form.getCode();
String password = form.getPassword();
// 判断条件
if(code == null || code.length() == 0){
return error(30000, "验证码不能为空");
}
if(username == null || username.length() == 0){
return error(30000, "用户名不能为空");
}
if(password == null || password.length() == 0){
return error(30000, "密码不能为空");
}

被折叠的 条评论
为什么被折叠?



