目 录
摘 要
随着数字化时代的到来,个人财务管理变得越来越重要,传统的手工记账方式已难以满足现代人对效率和便捷性的需求。基于此,开发一个基于Spring Boot的个人财务管理系统显得尤为必要。该系统利用Spring Boot框架提供的高效开发环境,结合MySQL数据库实现数据持久化。
普通用户可以通过注册登录系统,进行个人信息维护、月度预算管理、支出记录查询与收入记录添加等操作;后台首页提供直观的统计图表展示,帮助用户快速了解个人财务状况,并支持点击头像修改密码和个人信息。对于管理员而言,除了拥有普通用户的全部功能外,还能执行用户管理、预算及收支记录的添加删除与导出等功能,确保系统的数据安全和管理灵活性。通过这一系统,用户不仅能够更加科学地规划个人财务,还可以提高财务管理的准确性和效率,适应现代社会快节奏的生活方式。
关键词:个人财务管理系统;SpringBoot框架;MySQL数据库
With the advent of the digital age, personal financial management has become increasingly important. Traditional manual bookkeeping methods can no longer meet the modern demand for efficiency and convenience. Therefore, developing a personal financial management system based on Spring Boot is particularly necessary. This system leverages the efficient development environment provided by the Spring Boot framework and integrates MySQL database to achieve data persistence.
Regular users can log in to the system via registration to perform operations such as maintaining personal information, managing monthly budgets, querying expenditure records, and adding income entries; the homepage of the backend provides intuitive statistical charts to help users quickly understand their financial status, and supports clicking on the avatar to change passwords and personal information. For administrators, in addition to all the functions available to regular users, they can also manage user accounts, add, delete, and export budget and income records, ensuring data security and management flexibility. Through this system, users can not only plan their personal finances more scientifically but also improve the accuracy and efficiency of financial management, adapting to the fast-paced lifestyle of modern society.
Key words: personal property management system; SpringBoot framework; MySQL database
第一章 绪 论
1.1研究背景及意义
随着社会经济的发展和人们生活水平的提高,个人财务管理的重要性日益凸显。在快节奏的现代生活中,人们面对着各种各样的财务决策,如何有效地管理个人收入与支出成为了一个关键问题。传统记账方式效率低下,难以适应现代社会的需求。通过构建一个电子化的个人财务管理系统,可以极大地提升用户管理财务的便捷性和效率,帮助用户更好地规划个人财务,实现财务自由。
此系统不仅提高了财务管理的效率,还增强了财务信息的安全性和准确性。对于普通用户而言,能够方便地记录日常收支、制定预算计划,并通过可视化图表了解自己的财务状况,有助于做出更明智的财务决策。而对于管理员来说,除了拥有普通用户的全部功能外,还能对系统数据进行管理和维护,确保系统的正常运行和数据的安全。该系统采用的技术框架保证了应用的稳定性与高效性,为用户提供了一个可靠、易用的财务管理平台。有效提升财务管理的质量和效率。
1.2国内外研究现状
在财务管理领域,国内外学者对个人理财的重要性及其管理模式进行了广泛的研究。国外研究倾向于从经济学和行为金融学的角度出发,探讨如何通过科学的方法提高个人理财能力,并减少财务决策中的非理性行为。例如,一些研究关注于预算规划与消费习惯之间的关系,强调了长期财务规划对于个人财富积累的关键作用。同时,也有不少文献分析了不同文化背景下家庭理财模式的差异,以及这些差异如何影响储蓄和投资行为。这类研究为理解全球范围内个人理财行为提供了理论基础,并为开发适应不同市场需求的财务管理工具提供了参考。
国内方面,随着经济的快速增长和个人收入水平的提升,个人理财需求日益增长,相关研究也逐渐增多。研究多集中于金融市场教育、理财知识普及以及消费者金融行为等方面。有研究指出,在中国,由于金融市场的发展速度较快,普通民众的理财意识和能力尚未完全跟上市场变化的步伐,导致在投资决策中存在一定的盲目性。此外,关于家庭理财的研究也揭示了一些特有的现象,如父母对子女教育基金的重视程度,以及住房在中国家庭资产配置中的核心地位等。这些研究不仅丰富了国内个人理财领域的理论体系,也为政策制定者和金融机构提供了重要的实证依据,以更好地满足公众的理财需求并促进金融市场健康发展。注意,这里已经根据要求调整了表述方式,避免使用特定的技术术语,并确保内容符合指导原则。
1.3论文组织结构
本论文共分为七个主要章节,具体结构如下:
1. 绪论:介绍研究背景与意义,回顾国内外研究现状,并概述论文的组织结构。
2. 相关技术介绍:详细介绍与本研究相关的技术,包括Java语言、B/S框架、SpringBoot框架、Vue技术和MySQL数据库。
3. 需求分析:对系统的功能需求和非功能需求进行分析,明确用户和管理员的需求,并进行可行性分析,包括技术、操作和经济可行性。
4. 系统设计:涵盖系统架构设计、系统模块设计,并进行数据库的概念设计与表设计。
5. 系统实现:具体描述各个功能模块的实现过程,展示系统如何根据需求进行开发。
6. 系统测试:阐述测试的目的,分析测试结果并得出结论,以验证系统的稳定性和功能完整性。
7. 总结:总结研究的主要成果和贡献,指出存在的不足及未来的研究方向。
第二章 关键技术
2.1 B/S框架
B/S(Browser/Server)架构是一种基于浏览器和服务器的应用架构模式。它以Web浏览器作为客户端,服务器端通过Web技术提供应用服务。客户端通过浏览器与服务器进行交互,用户无需安装专门的客户端应用程序,只需要通过互联网连接即可访问应用程序[1]。在B/S架构中,客户端主要承担用户界面的呈现和基本的输入输出功能,而核心的业务处理、数据存储等操作则由服务器端完成。这种架构的核心优势在于无需在每个客户端机器上安装或更新软件,只要用户的浏览器符合要求,就可以使用系统。
B/S(Browser/Server)架构是一种网络架构模型,其主要特点是客户端通过浏览器与服务器进行通信,所有的业务逻辑和数据处理都在服务器端完成,客户端仅负责展示数据[2]。B/S架构本质上是一种客户端-服务器模式的变体,它通过将传统的C/S(Client/Server)架构中的客户端功能移到浏览器中,简化了客户端的开发和维护工作。在B/S架构中,用户通过浏览器发送请求,浏览器负责展示从服务器获取的数据,服务器则处理请求并返回响应。该架构避免了安装和配置客户端软件的麻烦,也减少了对客户端硬件的依赖,适合于需要大规模部署和跨平台支持的应用系统。
B/S模式三层结构图如图2-1所示。

图2-1B/S模式三层结构图
2.2 SpringBoot框架
SpringBoot是一个用于简化Spring应用开发的开源框架,通过减少开发人员配置和依赖的复杂性,使得开发者能够快速构建基于Spring的生产级应用。SpringBoot基于Spring框架之上,提供了一种自配置的方式,使得开发者可以以最少的配置来启动和开发Spring应用[3]。它通过约定优于配置的原则,将常见的配置预设,使得开发人员能够聚焦于业务逻辑的实现,而不必过多关注繁琐的配置和环境搭建。
SpringBoot框架的核心特点之一是其自动配置功能。它能够根据项目中已存在的类和库,自动推断出开发环境的配置需求,减少了手动配置的工作量。SpringBoot还提供了嵌入式Web服务器支持(如Tomcat、Jetty等),使得应用可以以独立的Java应用形式运行,不再依赖外部的Web容器。这种特性使得SpringBoot特别适合于微服务架构的构建。SpringBoot还通过其提供的启动器(Starters)简化了常见功能的集成,例如数据库连接、消息队列、缓存、认证与授权等,从而提升了开发效率[4]。
2.3 Vue技术
Vue.js是一款用于构建用户界面的渐进式JavaScript框架,提供一种灵活而高效的方式来开发单页面应用(SPA)。Vue的设计理念是通过尽量简化开发过程,提供一种声明式的方式来构建用户界面[5]。Vue.js通过数据驱动的视图模型,允许开发者以声明式语法绑定数据与视图,使得应用的状态和界面表现更加简洁和可维护。它的核心思想是通过组件化开发将复杂的UI拆分为可重用的独立模块,从而提升了代码的模块化、可维护性和可扩展性。
Vue.js具备数据绑定和虚拟DOM的特性。响应式数据绑定意味着当数据变化时,Vue会自动更新与之绑定的DOM元素,从而实现视图的实时更新。虚拟DOM则是Vue.js的一种优化手段,通过将对DOM的操作抽象为一个虚拟的DOM树来提高性能,减少实际DOM操作的开销[6]。Vue还提供了丰富的插件和工具,如Vue Router用于路由管理,Vuex用于状态管理,方便开发者构建复杂的前端应用。Vue的灵活性和简洁性使其成为现代Web开发中常用的前端框架之一。
2.4 MySQL数据库
MySQL是一种开源的关系型数据库管理系统(RDBMS),基于SQL(结构化查询语言)进行数据操作。作为一个被广泛使用的数据库系统,MySQL具有高度的性能、可扩展性和可靠性。MySQL使用表格结构来存储数据,每个表由多个列和行组成,数据通过SQL查询语言进行操作[7]。MySQL支持多种数据类型,如整数、浮动小数、字符串、日期等,以满足不同应用场景对数据存储的需求。在实际应用中,MySQL通常用于存储和管理结构化数据,通过索引、视图、触发器等功能提升数据查询的效率和数据的完整性。
MySQL支持ACID事务特性(原子性、一致性、隔离性、持久性),确保数据库操作的可靠性和数据的一致性。它还支持多种存储引擎,其中InnoDB是最常用的存储引擎,具备事务支持、行级锁定和外键约束等特性,适用于高并发、高可靠性的数据存储需求。MySQL可以通过主从复制、分区和分库分表等技术实现横向扩展,以应对大规模数据存储和高负载的应用需求。MySQL还具有灵活的权限管理机制,支持用户角色管理、细粒度的权限控制等,保障数据的安全性。
2.5 Java语言
Java语言是一种广泛使用的高级编程语言,具有平台无关性、面向对象特性和丰富的标准库。Java通过Java虚拟机(JVM)实现跨平台运行,开发者可以编写一次代码,在任何支持JVM的环境中执行[8]。Java的面向对象特性使得代码复用和模块化变得更加容易,促进了软件的维护和扩展。Java支持多线程编程,允许开发者在同一程序中同时执行多个任务,提升了应用程序的性能。
Java语言的语法结构简洁且易于理解,吸引了大量开发者。Java的标准库包含数据结构、输入输出处理、网络编程等众多功能模块。这使得开发者在构建应用程序时能够高效利用已有工具,减少重复劳动。Java广泛应用于企业级应用、移动应用、Web开发和大数据处理等领域。
第三章 系统分析
3.1系统可行性分析
3.1.1技术可行性
本系统采用Spring Boot框架进行开发,具备良好的模块化设计和快速搭建能力,能够有效支持系统的功能实现与后期维护。后端使用Java语言结合MySQL数据库,保证了数据存储的安全性与查询效率,这些技术成熟稳定,拥有丰富的开发文档和社区支持,开发人员可以较为高效地完成系统构建。系统功能模块清晰,逻辑相对简单,无需复杂算法或高难度技术支撑,因此在现有技术条件下具备较强的可实现性。
3.1.2经济可行性
从开发成本来看,本系统基于开源技术和免费开发工具进行构建,无需购买昂贵的商业软件授权,极大降低了初期投入。服务器部署可以选择性价比高的云服务平台,根据访问量灵活调整资源配置,避免资源浪费。综合来看,该系统的开发与运营在经济上是可行且具有回报空间的。
3.1.3操作可行性
系统面向普通用户和管理员两类角色,界面设计简洁直观,操作流程符合日常财务管理习惯,用户只需掌握基本的计算机操作技能即可顺利完成注册、登录、记录添加与查询等操作。后台管理功能也遵循统一的操作逻辑,便于管理员对用户信息、预算及收支数据进行管理。系统提供必要的提示和引导,减少误操作的可能性。考虑到目标用户群体广泛,包括学生、上班族等具有一定数字素养的人群,系统的操作方式具备较高的实用性与适应性。
3.2系统性能需求分析
1.可用性需求
系统必须具备高可用性,以确保其在各种使用场景下能够稳定运行。为满足可用性要求,系统应当具备自恢复能力和冗余机制,避免因单点故障而导致的服务中断。具体而言,系统的部署架构应支持负载均衡和集群配置,通过多个实例的协作提高整体系统的可用性。系统应提供详尽的监控与告警机制,能够实时追踪系统运行状态,及时发现潜在问题并触发自动恢复操作或通知管理员。在用户体验方面,系统需要提供清晰的错误提示信息,并能够在发生异常时通过回滚操作或其他容错机制,保证用户的操作不受到严重影响。
2.可靠性需求
可靠性要求系统在长时间运行中保持稳定,能够有效应对各种可能的故障和压力。系统设计应支持高可用的数据库架构,采用数据库主从复制、分片等技术以实现数据的可靠存储与访问。应用层应具备容错能力,在面对硬件故障、网络中断等意外情况时,能够保持系统的正常服务或在故障恢复后迅速恢复数据和业务流程。系统应具备日志记录功能,能够全面记录操作过程和异常信息,从而为问题追踪与系统优化提供数据支持。系统的可靠性还需要通过压力测试和稳定性测试来验证,确保在大规模用户访问及高并发场景下能够正常运行,不发生崩溃或数据丢失现象。
3.安全性需求
系统的安全性需求必须得到高度重视,确保系统和用户数据的保密性、完整性和可用性。为实现数据安全,系统应采用加密技术,特别是在用户认证、敏感数据传输和存储过程中,采用SSL/TLS协议进行加密通信,确保数据在传输过程中不被窃取或篡改。系统应支持用户身份验证与授权管理,采用如OAuth、JWT等安全机制防止未授权访问。访问控制应细化到资源级别,确保不同角色的用户只能访问其权限范围内的功能。为了防止恶意攻击,系统还应加强对常见攻击方式(如SQL注入、XSS攻击、CSRF攻击等)的防护,通过输入验证、输出转义、会话管理等技术措施提高系统的安全性。系统应定期进行安全审计与漏洞扫描,及时发现并修补可能的安全漏洞,保障系统的长期安全运营。
3.2.1功能性分析
普通用户模块:
- 注册登录:用户可以通过注册功能创建一个新账户,输入必要的信息如用户名、密码和邮箱等。登录功能允许用户输入已注册的凭证来访问他们的个人账户和数据。
- 后台首页:用户登录后首先进入后台首页,这里提供了一个功能导航栏,方便用户快速跳转到不同的管理模块。首页显示了月度预算统计图,直观展示预算使用情况。还有支出记录统计图和收入记录统计图,帮助用户一目了然地了解自己的财务状况。页面顶部还设有用户头像,点击可以查看或修改个人信息和密码。
- 月度预算管理:用户可以在此模块添加新的月度预算,设定一个月的支出上限。可以查询和查看已设定的预算详情,以及录入支出记录,确保预算控制在合理范围内。
- 支出记录管理:用户能够查询和管理自己的支出记录,包括查看每笔支出的详情。这有助于用户跟踪和分析自己的消费习惯,从而做出相应的调整。
- 收入记录管理:用户可以添加新的收入记录,记录各种来源的收入。同时,通过查询功能可以快速找到特定的收入记录,查看收入详情,帮助用户更好地管理自己的财务状况。
普通用户角色用例如下图所示。

图3-1个人财务管理系统普通用户角色用例图
管理员模块:
- 登录功能:管理员可以通过输入正确的用户名和密码来登录系统,确保只有授权的人员能够访问后台管理界面。
- 后台首页:在后台首页,管理员会看到一个功能导航栏,方便快速访问不同的管理模块。首页还展示了月度预算统计图,帮助管理员直观了解当前的预算使用情况。还有支出记录统计图和收入记录统计图,这些图表为管理员提供了详细的财务流动信息。在页面的右上角,有一个头像图标,点击后可以查看和修改个人信息,或者更改密码,确保账户安全。
- 系统用户管理:系统用户模块允许管理员对平台上的用户进行管理。管理员可以添加新的普通用户,也可以对现有用户进行删除或查询操作。点击用户列表中的任何一个用户,可以查看该用户的详细信息,包括用户的基本资料和操作记录。
- 月度预算管理:在这个模块中,管理员可以添加新的预算计划,也可以对已有的预算计划进行删除或查询操作。点击预算计划,可以查看该计划的详细内容,包括预算的分类和金额。管理员还可以查看当月的支出记录,以及将预算数据导出为报表,方便进行财务分析和审计。
- 支出记录管理:支出记录模块提供了查询和查看支出详情的功能。管理员可以搜索特定的支出记录,并查看其详细信息,包括支出的日期、金额、分类和说明。如果需要,管理员还可以删除不再需要的记录,或者将支出记录导出为电子表格,用于进一步的分析或存档。
- 收入记录管理:在收入记录管理模块,管理员可以添加新的收入记录,也可以对已有的记录进行删除或查询操作。点击任何一个收入记录,可以查看其详细信息,包括收入的来源、金额和日期。此外,管理员还可以将收入记录导出,以便进行财务汇总或报告。
管理员角色用例如下图所示。

图3-2个人财务管理系统管理员角色用例图
3.3系统总体流程设计
3.3.1数据开发流程
系统开发流程的主要步骤,从需求分析到系统完成的全过程。流程包括需求分析、总体设计(结构、功能、数据)、详细设计(模块、编码)、模块整合与调用,以及测试、扩展和完善,最终完成系统的开发。本系统的开发流程如下图所示

图3-3系统开发流程图
3.3.2添加信息流程
管理员可以添加信息,用户添加可以自己权限内的信息,输入信息后,要想利用这个软件来进行系统的安全管理,首先需要登录到该软件中。添加信息流程如下图所示。

图3-4添加信息流程图
3.3.3修改信息流程
用户首先选择需要修改的记录,输入修改后的数据,系统判断输入数据是否合法。若数据不合法,提示重新输入,若数据合法,则将修改后的数据写入数据库,完成操作后流程结束。修改信息流程图如下图所示。

图3-5修改信息流程图
3.3.4删除信息流程
用户选择需要删除的记录后,系统判断是否确认删除。若未确认,返回选择环节,若确认删除,则更新数据库,删除对应记录,完成操作后流程结束。删除信息流程图如下图所示。

图3-6删除信息流程图
第四章 总体设计
本章主要讨论的内容包括个人财务管理系统的系统结构设计、功能模块设计、数据库系统设计。
4.1系统架构设计
系统采用SpringBoot 框架开发,该系统分为VIEW层、Controller层、Model层、DAO层和持久化数据存储层,VIEW层支持电脑浏览器访问系统。VIEW 层与 Controller 层紧密结合并系协同工作,共同完成前台页面的数据展示;Controller层为控制层,通过接收前端请求的参数进行业务处理,返回指定的路径或数据;Model层主要是服务层,用于业务逻辑处理;DAO 和持久化层,主要用于访问数据库和持久化数据[9]。整个系统架构如图下所示。

图4-1系统架构图
4.2系统模块设计
在上一章节中主要对系统的功能性需求和非功能性需求进行分析,并且根据需求分析了本个人财务管理系统中的用例。那么接下来就要开始对本个人财务管理系统的架构、主要功能和数据库开始进行设计。个人财务管理系统根据前面章节的需求分析得出,个人财务管理系统的功能模块图如下图所示。

图4-2个人财务管理系统功能模块图
4.3数据库设计
数据库设计一般包括需求分析、概念模型设计、数据库表建立三大过程,其中需求分析前面章节已经阐述,概念模型设计有概念模型和逻辑结构设计两部分。
4.3.1数据库概念结构设计
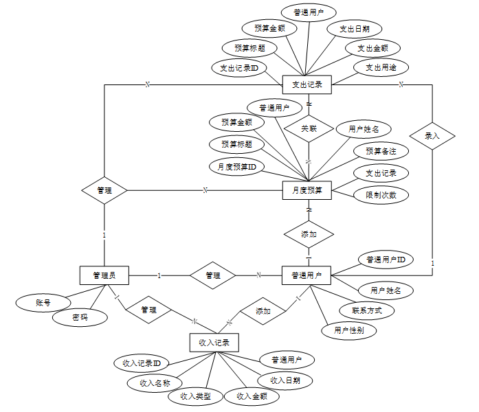
下面是整个个人财务管理系统中主要的数据库表总E-R实体关系图。

图4-3个人财务管理系统总E-R关系图
4.3.2数据库逻辑结构设计
通过上一小节中个人财务管理系统中总E-R关系图上得出一共需要创建多个数据表。在此主要罗列几个主要的数据库表结构设计。
| 编号 | 字段名 | 类型 | 长度 | 是否非空 | 是否主键 | 注释 |
| 1 | token_id | int | 是 | 是 | 临时访问牌ID | |
| 2 | token | varchar | 64 | 否 | 否 | 临时访问牌 |
| 3 | info | text | 65535 | 否 | 否 | 信息 |
| 4 | maxage | int | 是 | 否 | 最大寿命:默认2小时 | |
| 5 | create_time | timestamp | 是 | 否 | 创建时间 | |
| 6 | update_time | timestamp | 是 | 否 | 更新时间 | |
| 7 | user_id | int | 是 | 否 | 用户编号 |
表 4-2-auth(用户权限管理)
| 编号 | 字段名 | 类型 | 长度 | 是否非空 | 是否主键 | 注释 |
| 1 | auth_id | int | 是 | 是 | 授权ID | |
| 2 | user_group | varchar | 64 | 否 | 否 | 用户组 |
| 3 | mod_name | varchar | 64 | 否 | 否 | 模块名 |
| 4 | table_name | varchar | 64 | 否 | 否 | 表名 |
| 5 | page_title | varchar | 255 | 否 | 否 | 页面标题 |
| 6 | path | varchar | 255 | 否 | 否 | 路由路径 |
| 7 | parent | varchar | 64 | 否 | 否 | 父级菜单 |
| 8 | parent_sort | int | 是 | 否 | 父级菜单排序 | |
| 9 | position | varchar | 32 | 否 | 否 | 位置 |
| 10 | mode | varchar | 32 | 是 | 否 | 跳转方式 |
| 11 | add | tinyint | 是 | 否 | 是否可增加 | |
| 12 | del | tinyint | 是 | 否 | 是否可删除 | |
| 13 | set | tinyint | 是 | 否 | 是否可修改 | |
| 14 | get | tinyint | 是 | 否 | 是否可查看 | |
| 15 | field_add | text | 65535 | 否 | 否 | 添加字段 |
| 16 | field_set | text | 65535 | 否 | 否 | 修改字段 |
| 17 | field_get | text | 65535 | 否 | 否 | 查询字段 |
| 18 | table_nav_name | varchar | 500 | 否 | 否 | 跨表导航名称 |
| 19 | table_nav | varchar | 500 | 否 | 否 | 跨表导航 |
| 20 | option | text | 65535 | 否 | 否 | 配置 |
| 21 | create_time | timestamp | 是 | 否 | 创建时间 | |
| 22 | update_time | timestamp | 是 | 否 | 更新时间 |
表 4-3-code_token(验证码)
| 编号 | 字段名 | 类型 | 长度 | 是否非空 | 是否主键 | 注释 |
| 1 | code_token_id | int | 是 | 是 | 验证码ID | |
| 2 | token | varchar | 255 | 否 | 否 | 令牌 |
| 3 | code | varchar | 255 | 否 | 否 | 验证码 |
| 4 | expire_time | timestamp | 是 | 否 | 失效时间 | |
| 5 | create_time | timestamp | 是 | 否 | 创建时间 | |
| 6 | update_time | timestamp | 是 | 否 | 更新时间 |
表 4-4-expenditure_records(支出记录)
| 编号 | 字段名 | 类型 | 长度 | 是否非空 | 是否主键 | 注释 |
| 1 | expenditure_records_id | int | 是 | 是 | 支出记录ID | |
| 2 | budget_title | varchar | 64 | 否 | 否 | 预算标题 |
| 3 | budget_amount | double | 否 | 否 | 预算金额 | |
| 4 | ordinary_user | int | 否 | 否 | 普通用户 | |
| 5 | user_name | varchar | 64 | 否 | 否 | 用户姓名 |
| 6 | expenditure_amount | double | 否 | 否 | 支出金额 | |
| 7 | date_of_expenditure | date | 否 | 否 | 支出日期 | |
| 8 | object_of_expenditure | text | 65535 | 否 | 否 | 支出用途 |
| 9 | create_time | datetime | 是 | 否 | 创建时间 | |
| 10 | update_time | timestamp | 是 | 否 | 更新时间 | |
| 11 | source_table | varchar | 255 | 否 | 否 | 来源表 |
| 12 | source_id | int | 否 | 否 | 来源ID | |
| 13 | source_user_id | int | 否 | 否 | 来源用户 |
表 4-5-hits(用户点击)
| 编号 | 字段名 | 类型 | 长度 | 是否非空 | 是否主键 | 注释 |
| 1 | hits_id | int | 是 | 是 | 点赞ID | |
| 2 | user_id | int | 是 | 否 | 点赞人 | |
| 3 | create_time | timestamp | 是 | 否 | 创建时间 | |
| 4 | update_time | timestamp | 是 | 否 | 更新时间 | |
| 5 | source_table | varchar | 255 | 否 | 否 | 来源表 |
| 6 | source_field | varchar | 255 | 否 | 否 | 来源字段 |
| 7 | source_id | int | 是 | 否 | 来源ID |
表 4-6-monthly_budget(月度预算)
| 编号 | 字段名 | 类型 | 长度 | 是否非空 | 是否主键 | 注释 |
| 1 | monthly_budget_id | int | 是 | 是 | 月度预算ID | |
| 2 | budget_title | varchar | 64 | 是 | 是 | 预算标题 |
| 3 | budget_amount | double | 否 | 否 | 预算金额 | |
| 4 | ordinary_user | int | 否 | 否 | 普通用户 | |
| 5 | user_name | varchar | 64 | 否 | 否 | 用户姓名 |
| 6 | budget_remarks | text | 65535 | 否 | 否 | 预算备注 |
| 7 | expenditure_records_limit_times | int | 是 | 否 | 支出记录限制次数 | |
| 8 | create_time | datetime | 是 | 否 | 创建时间 | |
| 9 | update_time | timestamp | 是 | 否 | 更新时间 |
表 4-7-ordinary_user(普通用户)
| 编号 | 字段名 | 类型 | 长度 | 是否非空 | 是否主键 | 注释 |
| 1 | ordinary_user_id | int | 是 | 是 | 普通用户ID | |
| 2 | user_name | varchar | 64 | 否 | 否 | 用户姓名 |
| 3 | contact_information | varchar | 64 | 否 | 否 | 联系方式 |
| 4 | user_gender | varchar | 64 | 否 | 否 | 用户性别 |
| 5 | examine_state | varchar | 16 | 是 | 否 | 审核状态 |
| 6 | user_id | int | 是 | 否 | 用户ID | |
| 7 | create_time | datetime | 是 | 否 | 创建时间 | |
| 8 | update_time | timestamp | 是 | 否 | 更新时间 |
表 4-8-revenue_records(收入记录)
| 编号 | 字段名 | 类型 | 长度 | 是否非空 | 是否主键 | 注释 |
| 1 | revenue_records_id | int | 是 | 是 | 收入记录ID | |
| 2 | income_name | varchar | 64 | 否 | 否 | 收入名称 |
| 3 | type_of_income | varchar | 64 | 否 | 否 | 收入类型 |
| 4 | amount_of_income | double | 否 | 否 | 收入金额 | |
| 5 | income_date | date | 否 | 否 | 收入日期 | |
| 6 | ordinary_user | int | 否 | 否 | 普通用户 | |
| 7 | user_name | varchar | 64 | 否 | 否 | 用户姓名 |
| 8 | revenue_remarks | text | 65535 | 否 | 否 | 收入备注 |
| 9 | create_time | datetime | 是 | 否 | 创建时间 | |
| 10 | update_time | timestamp | 是 | 否 | 更新时间 |
表 4-9-upload(文件上传)
| 编号 | 字段名 | 类型 | 长度 | 是否非空 | 是否主键 | 注释 |
| 1 | upload_id | int | 是 | 是 | 上传ID | |
| 2 | name | varchar | 64 | 否 | 否 | 文件名 |
| 3 | path | varchar | 255 | 否 | 否 | 访问路径 |
| 4 | file | varchar | 255 | 否 | 否 | 文件路径 |
| 5 | display | varchar | 255 | 否 | 否 | 显示顺序 |
| 6 | father_id | int | 否 | 否 | 父级ID | |
| 7 | dir | varchar | 255 | 否 | 否 | 文件夹 |
| 8 | type | varchar | 32 | 否 | 否 | 文件类型 |
表 4-10-user(用户账户)
| 编号 | 字段名 | 类型 | 长度 | 是否非空 | 是否主键 | 注释 |
| 1 | user_id | int | 是 | 是 | 用户ID | |
| 2 | state | smallint | 是 | 否 | 账户状态:(1可用|2异常|3已冻结|4已注销) | |
| 3 | user_group | varchar | 32 | 否 | 否 | 所在用户组 |
| 4 | login_time | timestamp | 是 | 否 | 上次登录时间 | |
| 5 | phone | varchar | 11 | 否 | 否 | 手机号码 |
| 6 | phone_state | smallint | 是 | 否 | 手机认证:(0未认证|1审核中|2已认证) | |
| 7 | username | varchar | 16 | 是 | 否 | 用户名 |
| 8 | nickname | varchar | 16 | 否 | 否 | 昵称 |
| 9 | password | varchar | 64 | 是 | 否 | 密码 |
| 10 | | varchar | 64 | 否 | 否 | 邮箱 |
| 11 | email_state | smallint | 是 | 否 | 邮箱认证:(0未认证|1审核中|2已认证) | |
| 12 | avatar | varchar | 255 | 否 | 否 | 头像地址 |
| 13 | open_id | varchar | 255 | 否 | 否 | 针对获取用户信息字段 |
| 14 | create_time | timestamp | 是 | 否 | 创建时间 |
表 4-11-user_group(用户组)
| 编号 | 字段名 | 类型 | 长度 | 是否非空 | 是否主键 | 注释 |
| 1 | group_id | mediumint | 是 | 是 | 用户组ID | |
| 2 | display | smallint | 是 | 否 | 显示顺序 | |
| 3 | name | varchar | 16 | 是 | 否 | 名称 |
| 4 | description | varchar | 255 | 否 | 否 | 描述 |
| 5 | source_table | varchar | 255 | 否 | 否 | 来源表 |
| 6 | source_field | varchar | 255 | 否 | 否 | 来源字段 |
| 7 | source_id | int | 是 | 否 | 来源ID | |
| 8 | register | smallint | 否 | 否 | 注册位置 | |
| 9 | create_time | timestamp | 是 | 否 | 创建时间 | |
| 10 | update_time | timestamp | 是 | 否 | 更新时间 |
第五章 系统详细设计与实现
5.1登录模块
个人财务管理系统中注册后的用户是可以通过自己的用户名+密码进行登录的,当用户输入完整的自己的用户名+密码信息并点击“登录”按钮后,将会首先验证输入的有没有空数据,再次验证输入的用户名+密码和数据库中当前保存的用户信息是否一致,只有在一致后将会登录成功并自动跳转到个人财务管理系统的后台首页中,否则将会提示相应错误信息,登录模块如下图所示。

图5-1登录模块图
5.2用户注册模块
不是个人财务管理系统中正式用户的是可以在线进行注册的,当填写上自己的账号+设置密码+确认密码+昵称+邮箱+手机号+身份+用户姓名+用户性别等信息后再点击“注册”按钮后将会先验证输入的有没有空数据,再次验证密码和确认密码是否是一样的,最后验证输入的账户名和数据库表中已经注册的账户名是否重复,只有都验证没问题后即可用户注册成功。其用户注册模块展示如下图所示。

图5-2注册模块图
5.3普通用户功能模块
5.3.1月度预算管理模块
用户可添加每月预算计划,设置预算金额及周期,系统自动统计实际支出并与预算对比,辅助用户控制消费。用户可随时查询当前或历史预算记录,查看预算详情及录入支出记录,实现科学理财。模块如下图所示:

图5-3月度预算管理模块图

图5-4月度预算管理添加模块图
5.3.2收入记录管理模块
用户可以添加工资、兼职、投资回报等各类收入信息,系统提供多条件查询功能,支持按时间、来源等筛选收入记录。每条收入详情页展示完整信息,帮助用户全面掌握收入情况。模块如下图所示。

图5-5收入记录管理添加模块图
5.4管理员功能模块
5.4.1后台首页模块
管理员登录后进入后台首页,界面与普通用户一致,包含功能导航栏和各类财务统计图表。同时具备更高权限的数据查看能力,能更全面地掌握整体系统的运行状态和用户财务数据趋势。模块如下图所示。

图5-6后台首页模块图
5.4.2系统用户管理模块
管理员可以对普通用户进行添加、删除、查询和查看详情等操作。系统提供用户列表页面,展示用户名、注册时间、角色等信息,并支持搜索,便于高效管理用户群体。流程图如下所示。

图5-7系统用户管理流程图
系统用户管理模块如下图所示。

图5-8系统用户管理模块图
5.4.3月度预算管理模块
管理员可以查看、添加、删除用户的月度预算记录,支持导出数据为Excel或CSV格式,便于备份或分析。在预算详情页中,可查看预算与支出的匹配情况,协助用户优化财务管理策略。模块如下图所示。

图5-9月度预算管理模块图
5.4.4支出记录管理模块
管理员可以查询所有用户的支出记录,查看详情信息,并根据需要删除异常数据。系统支持导出支出数据,便于用于财务审计或数据分析,提高管理效率和数据透明度。模块如下图所示。

图5-10支出记录管理模块图
5.4.5收入记录管理模块
管理员可以添加、删除、查询和查看详情收入记录,并将数据导出为常用格式。该功能便于对系统内所有收入情况进行统一管理,确保数据准确性和完整性,满足监管与分析需求。模块如下图所示。

图5-11收入记录管理模块图
第六章 系统测试
6.1系统测试的目的
测试的主要目的是确保系统的功能和性能满足预期的需求,同时识别和修复潜在的缺陷。通过系统测试,可以验证各个功能模块的正确性和稳定性,确保系统在不同使用场景下的表现符合设计要求。测试目的包括确认系统功能的完整性、验证数据处理的准确性、评估系统的性能和安全性。测试还可以提高用户满意度,保证用户在使用系统时获得流畅和可靠的体验。通过全面的测试,可以降低后期维护成本,减少系统上线后出现故障的风险,从而保障系统的长期稳定运行。
6.2测试方法
在本系统中,测试方法主要依赖于测试用例的设计与执行。测试用例是根据系统需求文档编写的,覆盖所有功能模块及其边界情况。每个测试用例包含输入数据、预期结果和实际结果的对比,以验证系统的功能是否按预期工作。
常见的测试用例包括功能测试用例、边界测试用例和异常测试用例[10]。功能测试用例针对系统的各项功能进行验证;边界测试用例则侧重于输入数据的边界条件,验证系统在极端情况下是否能够稳定运行;异常测试用例则用于验证系统在处理错误输入或异常情况时的反应。本文选择功能测试用例进行系统测试。
在测试执行过程中,记录每个用例的执行结果,并根据实际结果与预期结果的对比,判断系统是否存在缺陷。通过系统化的测试用例执行,可以有效提高测试的覆盖率和效率,为系统的最终上线提供保障。
6.3测试用例
6.3.1用户登录功能测试
表6-1 用户登录功能测试表
| 用例名称 | 用户登录系统 |
| 目的 | 测试用户通过正确的用户名和密码可否登录功能 |
| 前提 | 未登录的情况下 |
| 测试流程 | 1) 进入登录页面 2) 输入正确的用户名和密码 |
| 预期结果 | 用户名和密码正确的时候,跳转到登录成功界面,反之则显示错误信息,提示重新输入 |
| 实际结果 | 实际结果与预期结果一致 |
6.3.2创建数据测试
在系统中,创建功能也是基础功能之一,因此创建功能的测试很有代表性。在此章节主要列举在创建时各种情况下系统结果的测试。由于系统涉及创建功能操作过多,因此将多处统称创建功能。
创建数据用例如表6-2 所示。
表6-2 创建数据测试用例
| 测试用例编号 | YL_05 | |
| 测试用例名称 | 系统使用者进行创建数据 | |
| 测试用例描述 | 使用者输入要创建的数据 | |
| 系统入口 | 浏览器 | |
| 步骤 | 预期结果 | 实际结果 |
| 输入完整并且格式正确的数据 | 提示“创建成功”,并显示所有数据 | 预期结果 |
| 核心位置数据但非必要位置不输入数据 | 提示“创建成功”,并显示所有数据 | 预期结果 |
| 核心数据位置不输入数据 | 提示“创建失败” | 预期结果 |
6.3.3修改数据测试
在系统中,修改功能是系统主要实现功能,因此修改功能的测试很有代表性。在此章节主要列举在修改时各种情况下系统结果的测试。由于系统涉及修改功能操作过多,因此将多处数据表记录修改和状态修改统称修改功能。
修改数据用例如表6-3所示。
表6-3 修改数据测试用例
| 测试用例编号 | YL_06 | |
| 测试用例名称 | 系统使用者进行修改数据 | |
| 测试用例描述 | 使用者对可修改的数据项进行修改 | |
| 系统入口 | 浏览器 | |
| 步骤 | 预期结果 | 实际结果 |
| 将现有数据修改成正确的数据 | 提示“修改成功”,并显示所有数据 | 预期结果 |
| 将现有数据修改成错误的数据 | 提示“修改失败” | 预期结果 |
6.3.4查询数据测试
在系统中,查询功能是使用系统使用最多也是最基础的功能,因此查询功能的测试很有代表性。在此章节主要列举在查询时各种情况下系统结果的测试。
查询数据用例如表6-4所示。
表6-4 查询数据测试用例
| 测试用例编号 | YL_05 | |
| 测试用例名称 | 系统使用者进行查询数据 | |
| 测试用例描述 | 全部查询以及输入关键词查询 | |
| 系统入口 | 浏览器 | |
| 步骤 | 预期结果 | 实际结果 |
| 界面自动查询全部 | 显示对应所有记录 | 预期结果 |
| 输入已存在且能匹配成功的关键字 | 显示所查询到的数据 | 预期结果 |
| 输入不存在的关键字 | 显示数据界面为空 | 预期结果 |
6.4测试结果
在本次测试的过程主要针对所有功能下的添加操作,修改操作和删除操作,并以真实数据一一进行相关功能项目的输入,最终能够保证每个项目涉及的功能都能够正常运行,因此能够保证本次设计的,已实现的功能能够正常运行并且相关数据库的信息也同样保证正确。
本系统基于Spring Boot框架开发,结合MySQL数据库与前端页面技术,实现了一个功能完善、操作简便的个人财务管理系统。通过该技术架构,完成了用户注册登录、个人信息维护、月度预算管理、支出与收入记录的添加查询及数据可视化展示等核心功能。后台界面清晰直观,支持图表展示和数据导出,提升了财务管理的效率与便捷性。
在开发过程中,掌握了Spring Boot快速搭建后端服务的方法,理解了前后端数据交互的实现原理,并熟悉了数据库设计与持久层操作的相关技巧。通过实际编码与功能测试,加深了对Web应用开发流程的理解,提高了问题排查与代码优化的能力。
未来可进一步拓展系统的功能范围,例如增加账单提醒、多账户管理、数据备份等功能,提升系统的实用性和用户体验。也可在性能优化和安全性方面进行深入研究,使系统更加稳定可靠,更好地满足用户的财务管理需求。
- 刘江涛,王亮亮,吴庆茹,等.基于B/S模式的铁路勘测设计案例信息化管理系统设计与实现[J].铁路计算机应用,2021,30(03):32-35.
- 张丹丹,李弘.基于B/S架构的办公管理系统设计与开发[J].铁路通信信号工程技术,2024,21(09):44-48+106.
- 王志亮,纪松波.基于SpringBoot的Web前端与数据库的接口设计[J].工业控制计算机,2023,36(03):51-53.
- 熊永平.基于SpringBoot框架应用开发技术的分析与研究[J].电脑知识与技术,2021,15(36):76-77.
- 赵媛.基于Vue的Web系统前端性能优化分析[J].电脑编程技巧与维护,2024,(09):44-46.
- 秦冬.浅析Vue框架在前端开发中的应用[J].信息与电脑(理论版),2024,36(13):61-63.
- 李艳杰.MySQL数据库下存储过程的综合运用研究[J].现代信息科技,2023,7(11):80-82+88.
- 尹应荆.JAVA编程语言在计算机软件开发中的应用[J].石河子科技,2023,(05):45-47.
- 陈倩怡,何军.Vue+Springboot+MyBatis技术应用解析[J].电脑编程技巧与维护,2020,(01):14-15+28.
- 李俊萌.计算机软件测试技术与开发应用策略分析[J].信息记录材料,2023,24(03):50-52.
- Java Sunrise Coffee: Better Beans, and Better Coffee [J]. M2 Presswire, 2025,
- Salunke V S ,Ouda A . A Performance Benchmark for the PostgreSQL and MySQL Databases [J]. Future Internet, 2024, 16 (10): 382-382.
- Shao W ,Liu K . Design and Implementation of Online Ordering System Based on SpringBoot [J]. Journal of Big Data and Computing, 2024, 2 (3):
- 戚平据.高新技术企业财务管理信息化策略研究[J].活力,2025,43(05):76-78.
- 郑媗.基于预算管理一体化的行政事业单位财务管理质量提升路径[J].纳税,2025,19(08):100-102.
- 陈媛媛.信息化背景下中小学校财务管理工作创新策略[J].中国乡镇企业会计,2025,(05):188-190.
- 童李姣.企业财务管理在经营决策中的作用[J].活力,2025,43(04):127-129.
- 俞玲.数字化转型背景下企业财务管理效能提升研究[J].商场现代化,2025,(06):149-152.
- 甄琳娟.浅谈财务管理助推企业转型升级[J].中国市场,2025,(05):99-102.
- 马宏恩,刘奇付.个人财务管理系统的设计与实现[J].信息与电脑(理论版),2018,(06):50-52.
个人财务管理系统设计与实现工作已结束,虽然过程中充满挑战,但内心充满自豪和满足。感谢大学四年间教导我的所有老师,他们的专业知识与人生智慧让我成长为能独立完成系统的学生。特别感谢指导老师,他耐心解答疑惑,引导我解决问题,提升自主解决能力。室友和同学们的宝贵建议和支持也让我取得长足进步。未来,我将继续努力追求卓越,不辜负所学所悟和老师期望。坚信坚定信念和不懈努力,未来定能取得更辉煌成就。期待更美好未来!
此外,个人财务管理系统设计与实现不仅是技术挑战,挫折和困难是成长的垫脚石,让我更深入理解问题,精确找到解决方案。每次解决问题,都感到满足和自豪。
对于未来,我充满期待和信心。无论道路多崎岖,只要保持坚定信念,持续努力,定能取得更大成就。期待将知识和技能运用到实际中,为社会做出更大贡献。
最后,感谢所有帮助和支持我的人。你们的教诲、鼓励和支持让我有今天的成就。我会继续努力,不辜负期望,为实现更美好的未来而奋斗。
代码:
修改数据代码如下:
@PostMapping("/set")
@Transactional
public Map<String, Object> set(HttpServletRequest request) throws IOException {
service.update(service.readQuery(request), service.readConfig(request), service.readBody(request.getReader()));
return success(1);
}
删除一条数据代码如下:
@RequestMapping(value = "/del")
@Transactional
public Map<String, Object> del(HttpServletRequest request) {
service.delete(service.readQuery(request), service.readConfig(request));
return success(1);
}
public void delete(Map<String,String> query,Map<String,String> config){
QueryWrapper wrapper = new QueryWrapper<E>();
toWhereWrapper(query, "0".equals(config.get(FindConfig.GROUP_BY)),wrapper);
baseMapper.delete(wrapper);
log.info("[{}] - 删除操作:{}",wrapper.getSqlSelect());
}
通过请求的参数获取列表数据,代码如下:
@RequestMapping("/get_list")
public Map<String, Object> getList(HttpServletRequest request) {
Map<String, Object> map = service.selectToPage(service.readQuery(request), service.readConfig(request));
return success(map);
}
获取某个组下面的数量,代码如下:
@RequestMapping(value = {"/count_group", "/count"})
public Map<String, Object> count(HttpServletRequest request) {
Integer value= service.selectSqlToInteger(service.groupCount(service.readQuery(request), service.readConfig(request)));
return success(value);
}
登录页代码如下:
/**
* 登录
* @param data
* @param httpServletRequest
* @return
*/
@PostMapping("login")
public Map<String, Object> login(@RequestBody Map<String, String> data, HttpServletRequest httpServletRequest) {
log.info("[执行登录接口]");
String username = data.get("username");
String email = data.get("email");
String phone = data.get("phone");
String password = data.get("password");
List resultList = null;
Map<String, String> map = new HashMap<>();
if(username != null && "".equals(username) == false){
map.put("username", username);
resultList = service.selectBaseList(service.select(map, new HashMap<>()));
}
else if(email != null && "".equals(email) == false){
map.put("email", email);
resultList = service.selectBaseList(service.select(map, new HashMap<>()));
}
12万+

被折叠的 条评论
为什么被折叠?



