前言
在弄清楚HashMap之前先介绍一下使用到的数据结构,在jdk1.8之后HashMap中为了优化效率加入了红黑树这种数据结构。
树
在计算机科学中,树(英语:tree)是一种抽象数据类型(ADT)或是实作这种抽象数据类型的数据结构,用来模拟具有树状结构性质的数据集合。它是由n(n>0)个有限节点组成一个具有层次关系的集合。把它叫做“树”是因为它看起来像一棵倒挂的树,也就是说它是根朝上,而叶朝下的。它具有以下的特点:
- 每个节点都只有有限个子节点或无子节点;
- 没有父节点的节点称为根节点;
- 每一个非根节点有且只有一个父节点;
- 除了根节点外,每个子节点可以分为多个不相交的子树;
- 树里面没有环路(cycle)

在分类上包含了二叉树、二叉查找树、红黑树、B树、B+树等。
1、二叉树
- 每个节点最多含有两个子节点,分别为左子节点和右子节点。
- 不要求每个节点都有两个子节点,有的只有左,有的只有右子节点
- 二叉树每个节点的左子树和右子树也分别满足前两条定义

2、二叉搜索树
- 在树种的任意一个节点,其左子树中的每个节点的值,都要小于这个节点的值而右子树节点的值都大于这个节点的值
- 不会出现键值相等的节点
- 通常情况下二叉树搜索的时间复杂度为O(log n)

因为他不会自旋所以会出现一种最坏的情况,左右子树极度不平衡,

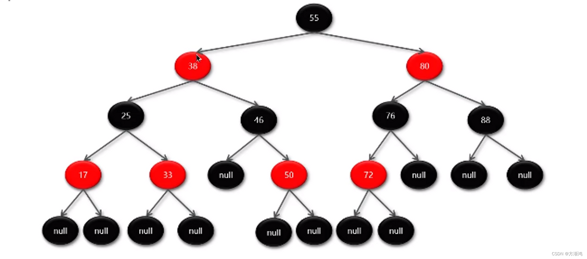
3、红黑树
- 节点要么是红色,要么是黑色
- 跟节点是黑色
- 叶子节点都是黑色的空节点
- 红黑树的红色节点的子节点都是黑色
- 从任意节点到叶子节点的所以路径都包含相同数目的黑色节点
- 在进行添加或者删除后,如果不满足上面的五条定义则会发生旋转调整操作
- 查找、删除、添加的操作时间复杂度都是O(log n)

散列表
散列表又名hash表,是根据键(key)直接访问在内存存储位置值(value)的数据结构,它是由数组演化而来的,利用了数组支持按照下标进行随机访问数据的特性

将键(key)映射为数组下标的函数叫做散列函数。可以表示为:hashValue = hash(key)
散列函数的基本要求:
- 散列函数计算得到的散列值必须是大于等于0的正整数,因为hashValue需要作为数组的下标。
- 如果key1 = key2,那么经过hash后得到的哈希值也必相同即:hash(key1) = hash(key2)
- 如果key1 != key2,那么经过hash后得到的哈希值也必相同即:hash(key1) != hash(key2)
散列冲突
实际的情况下想找一个散列函数能够做到对于不同的key计算得到的散列值都不同几乎是不可能的。从而就会造成一种现象,就是多个key通过hash运算转换之后映射到同一个数组下标位置,这种情况被称之为散列冲突(或者哈希冲突、哈希碰撞)

拉链法
为了解决散列冲突,一般都会采用一种叫拉链法的方式解决。
在散列表中,数组的每个下标位置我们可以称之为桶,每个桶会对应一条链表,所有散列值相同的元素我们都放到相同槽位对应的链表中,这种方式就叫拉链法
- 插入操作,通过散列函数计算出对应的散列槽位,将其插入到对应链表中即可,插入的时间复杂度是O(1)
- 当查找、删除一个元素时,我们同样通过散列函数计算出对应的槽,然后遍历链表查找或者删除
- 平均情况下基于链表法解决冲突时查询的时间复杂度是O(1)
- 散列表可能会退化为链表,查询的时间复杂度就从O(1)退化为O(n)
- 将链表法中的链表改造为其他高效的动态数据结构,比如红黑树,查询的时间复杂度是O(log n)


而且使用红黑树可以有效的防止DDos 攻击
一、简介
HashMap是Map中的重要实现类,它是一个散列表,存储的内容是键值对(key=>value)映射。HashMap是非线程安全的。HashMap中允许存储null的键和值,键是唯一的。
在JDK1.8以前,HashMap的底层数据结构是纯粹的数组+链表结构。由于数组具有读取快,增删慢的特点,而链表具有读取慢,增删快的特点,HashMap将二者相结合,并且没有使用同步锁进行修饰,它的性能较好。数组是HashMap的主体,链表则是为了解决哈希冲突而引入。此处解决哈希冲突的具体方法为:拉链法
二、源码解析
1、put方法
1.1、常见属性
扩容阈值 = 数组容量 * 加载因子
//默认的初始容量
static final int DEFAULT_INITIAL_CAPACITY = 1 << 4; // aka 16
//默认的加载因子
static final float DEFAULT_LOAD_FACTOR = 0.75f;
//存储数据的数组
transient Node<K,V>[] table;
//容量
transient int size;
1.2、构造函数
//默认无参构造
public HashMap() {
this.loadFactor = DEFAULT_LOAD_FACTOR; // 指定加载因子为默认加载因子 0.75
}
- HashMap是懒惰创建数组的,在创建对象的时候并没有初始化数组
- 在无参的构造函数中,设置了默认的加载因子
1.3、put方法
- 流程图

- 具体源码
public V put(K key, V value) {
return putVal(hash(key), key, value, false, true);
}
/**
* 计算hash值的方法
*/
static final int hash(Object key) {
int h;
return (key == null) ? 0 : (h = key.hashCode()) ^ (h >>> 16);
}
/**
* 具体执行put添加方法
*/
final V putVal(int hash, K key, V value, boolean onlyIfAbsent,
boolean evict) {
Node<K,V>[] tab; Node<K,V> p; int n, i;
//判断数组是否初始化(数组初始化是在第一次put的时候)
if ((tab = table) == null || (n = tab.length) == 0)
//如果未初始化,调用resize()进行初始化
n = (tab = resize()).length;
//通过 & 运算符计算求出该数据(key)的数组下标并且判断该下标位置是否有数据
if ((p = tab[i = (n - 1) & hash]) == null)
//如果没有,直接将数据放在该下标位置
tab[i] = newNode(hash, key, value, null);
else { //该下标位置有数据的情况
Node<K,V> e; K k;
//判断该下标位置的数据是否和当前新put的数据一样
if (p.hash == hash &&
((k = p.key) == key || (key != null && key.equals(k))))
//如果一样,则直接覆盖value
e = p;
//判断是不是红黑树
else if (p instanceof TreeNode)
//如果是红黑树的话,进行红黑树的具体添加操作
e = ((TreeNode<K,V>)p).putTreeVal(this, tab, hash, key, value);
//如果都不是代表是链表
else {
//遍历链表
for (int binCount = 0; ; ++binCount) {
//判断next节点是否为null,是null代表遍历到链表尾部了
if ((e = p.next) == null) {
//把新值插入到尾部
p.next = newNode(hash, key, value, null);
//插入数据后,判断链表长度有大于等于8了没
if (binCount >= TREEIFY_THRESHOLD - 1) // -1 for 1st
//如果是则进行红黑树转换
treeifyBin(tab, hash);
break; //退出
}
//如果在链表中找到相同数据的值,则进行修改操作
if (e.hash == hash &&
((k = e.key) == key || (key != null && key.equals(k))))
break;
//把下一个节点赋值为当前节点
p = e;
}
}
//判断e是否为null(e值为前面修改操作存放原数据的变量)
if (e != null) { // existing mapping for key
//不为null的话证明是修改操作,取出老值
V oldValue = e.value;
if (!onlyIfAbsent || oldValue == null)
//把新值赋值给当前节点
e.value = value;
afterNodeAccess(e);
//返回老值
return oldValue;
}
}
//计算当前节点的修改次数
++modCount;
//判断当前数组中的数据量是否大于扩容阈值
if (++size > threshold)
//进行扩容
resize();
afterNodeInsertion(evict);
return null;
}
- 具体流程
- 判断键值对数组table是否为ull,复杂执行resize()进行扩容(初始化)
- 根据键值对key计算hash值得到数组索引
- 判断table[i]==hash值得到数组索引
- 如果taale[i] ==null ,条件成立,直接新建节点添加
i. 判断table[i]的首个元素是否和key一样,如果相同直接覆盖value
ii. 判断table[i]是否为treeNode,即table[i]是否为红黑树,如果红黑树,则直接在数中插入键值对
iii. 遍历table[i],链表的尾部插入数据,然后判断链表长度是否大于8,大于的话把链表转换为红黑树操作,遍历过程中若发现key已经存在执行覆盖value
1.4 resize方法(扩容)
- 流程图

- 具体源码
final Node<K,V>[] resize() {
Node<K,V>[] oldTab = table;
//如果当前数组为null的时候,把oldCap 老数组容量设置为0
int oldCap = (oldTab == null) ? 0 : oldTab.length;
//老的扩容阈值
int oldThr = threshold;
int newCap, newThr = 0;
//判断数组容量是否大于0,大于0说明数组已经初始化
if (oldCap > 0) {
//判断当前数组长度是否大于最大数组长度
if (oldCap >= MAXIMUM_CAPACITY) {
//如果是,将扩容阈值直接设置为int类型的最大数值并且直接返回
threshold = Integer.MAX_VALUE;
return oldTab;
}
//如果在最大长度访问内,则需要扩容oldCap << 1 == oldCap * 2
//并且判断是否大于16,
else if ((newCap = oldCap << 1) < MAXIMUM_CAPACITY &&
oldCap >= DEFAULT_INITIAL_CAPACITY)
newThr = oldThr << 1; // double threshold 等价于 oldCap * 2
}
else if (oldThr > 0) // initial capacity was placed in threshold
newCap = oldThr;
//数组初始化的情况,将阈值和扩容因子设置为默认值
else { // zero initial threshold signifies using defaults
newCap = DEFAULT_INITIAL_CAPACITY;
newThr = (int)(DEFAULT_LOAD_FACTOR * DEFAULT_INITIAL_CAPACITY);
}
//初始化容量小于16的时候,扩容阈值没用阈值的
if (newThr == 0) {
//创建阈值
float ft = (float)newCap * loadFactor;
newThr = (newCap < MAXIMUM_CAPACITY && ft < (float)MAXIMUM_CAPACITY ?
(int)ft : Integer.MAX_VALUE);
}
//计算出来的阈值赋值
threshold = newThr;
@SuppressWarnings({"rawtypes","unchecked"})
//根据上边计算得出的容量 创建新的数组
Node<K,V>[] newTab = (Node<K,V>[])new Node[newCap];
table = newTab;
//扩容操作,判断不为null证明不是初始化数组
if (oldTab != null) {
// 遍历数组
for (int j = 0; j < oldCap; ++j) {
Node<K,V> e;
//判断当前下标为j的数组如果不为null的话赋值给e
if ((e = oldTab[j]) != null) {
//将数组的位置设置为null
oldTab[j] = null;
//判断是否有下一个节点
if (e.next == null)
//如果没有,就查询计算在新数组中的下标并放进去
newTab[e.hash & (newCap - 1)] = e;
//有下个节点的情况,并且判断是否已经树化
else if (e instanceof TreeNode)
//进行红黑树的操作
((TreeNode<K,V>)e).split(this, newTab, j, oldCap);
//有下个节点的情况,并且判还没有树化
else { // preserve order
Node<K,V> loHead = null, loTail = null; //低位数组
Node<K,V> hiHead = null, hiTail = null; //高位数组
Node<K,V> next;
遍历循环
do {
//取出next节点
next = e.next;
//通过 & 操作计算出结果为0
if ((e.hash & oldCap) == 0) {
//如果低位为null,则把e值放入低位2头
if (loTail == null)
loHead = e;
//低位尾不是null,
else
//将数据放入next节点
loTail.next = e;
loTail = e;
}
else {
if (hiTail == null)
hiHead = e;
else
hiTail.next = e;
hiTail = e;
}
} while ((e = next) != null);
//低位如果记录的有数据,是链表
if (loTail != null) {
//将下一个元素置空
loTail.next = null;
//将低位头放入新数组的
newTab[j] = loHead;
}
//高位尾如果记录有数据,是链表
if (hiTail != null) {
//将下个元素置空
hiTail.next = null;
//将高位头放入新数组的(原下标+原数组容量)位置
newTab[j + oldCap] = hiHead;
}
}
}
}
}
return newTab;
}
- 执行原理
- 在添加元素或初始化的时候需要调用resize方法进行扩容,第一次添加数据初始化数组长度为16,以后每次每次扩容都是达到了扩容阈值(数组长度*0.75)
- 每次扩容的时候,都是扩容之前容量的2倍;
- 扩容之后,会新创建一个数组,需要把老数组中的数据挪动到新的数组中
i.没有hash冲突的节点,则直接使用e.hash&(newCap-1)计算新数组的索引位置
ii.如果是红黑树,走红黑树的添加
iii.如果是链表,则需要遍历链表,可能需要拆分链表,判断(e.hash&oldCap)是否为0,该元素的位詈要么停留在原始位置,要么移动到原始位置+增加的数组大小这个位置上
扩容时候怎么重新确定元素在数组中的位置,我们看到是由 if ((e.hash & oldCap) == 0) 确定的。
hash HEX(97) = 0110 0001 n HEX(16) = 0001 0000 -------------------------- 结果 = 0000 0000 # e.hash & oldCap = 0 计算得到位置还是扩容前位置 hash HEX(17) = 0001 0001 n HEX(16) = 0001 0000 -------------------------- 结果 = 0001 0000 # e.hash & oldCap != 0 计算得到位置是扩容前位置+扩容前容量
get方法
public V get(Object key) {
// 定义一个Node结点
Node<K,V> e;
return (e = getNode(hash(key), key)) == null ? null : e.value;
}
final Node<K,V> getNode(int hash, Object key) {
Node<K,V>[] tab; Node<K,V> first, e; int n; K k;
if ((tab = table) != null && (n = tab.length) > 0 &&
(first = tab[(n - 1) & hash]) != null) {
// 数组中元素相等的情况
if (first.hash == hash && // always check first node
((k = first.key) == key || (key != null && key.equals(k))))
return first;
// bucket中不止一个结点
if ((e = first.next) != null) {
//判断是否为TreeNode树结点
if (first instanceof TreeNode)
//通过树的方法获取结点
return ((TreeNode<K,V>)first).getTreeNode(hash, key);
do {
//通过链表遍历获取结点
if (e.hash == hash &&
((k = e.key) == key || (key != null && key.equals(k))))
return e;
} while ((e = e.next) != null);
}
}
// 找不到就返回null
return null;
}
常见问题
1、索引如何计算?hashCode都有了,为何还要使用hash()方法?数组容量为何是2的n次幂?
-
先计算key的hashCode(),再进行调用
Hash()方法使用异或的方式扰动运算进行二次哈希,最后再通过(n - 1) & hash与运算得到索引。(使用该方式相当于hash % n取模运算) -
二次hash()是为了综合二进制的高位数据,让哈希分布更加均匀,减少哈希碰撞的概率,计算公式:
(h = key.hashCode()) ^ (h >>> 16) -
计算索引是,如果是2的n次幂可以使用位与运算代替取模,效率更高;而且再扩容时hash & lodCap == 0 的元素留在原来位置,为1的则到到扩容后的新位置,新位置=旧位置+lodCap
计算方式:hash & length使用二次hash值和原始容量做运算,如果结果是0则位置不变,如果不是0则移动到新的位置,- 新的位置计算方式:
原始数组容量+原始下标=新的位置
-
使用2的n次幂主要也是为了可以更好的配合优化效率,使得下标分布得更加的均匀
2、HashMap的put方法流程,1.7和1.8有何不同?
- HashMap是懒惰创建数组的,首次使用才创建数组
- 计算索引(桶下标)
- 首先得到key的hash值,在经过一次hash()方法计算出二次hash的值,**计算方式为:
(h = key.hashCode()) ^ (h >>> 16)**把hash值通过无符号右移,然后再和原本的hash值进行异或计算,这样的作用主要是为了打乱真正参与计算的低16位,可以有效的做到扰乱运算的效果,减少了哈希碰撞的概率 - 然后再拿整个二次hash的值和数组的容量进行除留余数法,取得的余数就是最终的桶下标,计算方式为:
(n-1)&hash把数组长度-1再通过和hash值进行与运算。相当于使用hash值去和数组的长度n做取余% % 运算,使用&做运算主要也是为了可以有效的提高运算的效率(1.7没有该优化)
- 首先得到key的hash值,在经过一次hash()方法计算出二次hash的值,**计算方式为:
- 如果该桶下标还没人占用,则创建Node节点返回
- 如果该桶下标已经被占用:则会去逐个的和各个节点进行比较看hash值和equals()是否都相对,如果都相等,代表是同一个key,则进行覆盖修改,如果不相同则添加
- 当已经TreeNode走红黑树的添加或更新逻辑
- 如果是普通的Node走链表的添加或更新逻辑,如果链表长度超过树化阈值8时,走树化逻辑,执行树化操作(前提条件是数组长度达到64)
- 返回前还会检查容量是否超过了扩容的阈值(数组长度/加载因子),一但超过则会进行扩容
- 不同:
- 链表插入时,1.7使用的是头插法(从链表头部插入),1.8使用的是尾插法(从链表尾部插入)
- 1.7是大于等于阈值且没有空位才扩容(如果有空位则不会扩容而是继续放在计算出来的桶下标的位置上),而1.8是大于等于阈值就扩容
- 1.8在扩容计算Node节点时,会优化
- 链表插入时,1.7使用的是头插法(从链表头部插入),1.8使用的是尾插法(从链表尾部插入)
HashMap是Java中重要的散列表实现,结合数组和链表(或红黑树)来存储数据,提供快速访问。在JDK1.8之后,当链表长度超过8时,HashMap会将链表转换为红黑树以优化查找效率。在插入和扩容时,HashMap使用二次哈希来降低冲突,并在冲突发生时使用链表或红黑树处理。此外,文章还介绍了不同数据结构如二叉树、二叉搜索树和红黑树的基本概念和特性。
3726





