
在LLC电路设计中,为了防止电路运行进入ZCS容性区域,需要限制电路的工作最大增益小于最大增益峰值约10%-15%,可是最大增益峰值,直接计算需要解三次方程,比较麻烦,可以有如下简易方法:
如上图所示,纯阻性曲线和某一个Q值的电压传输比曲线相交的点,即为谐振网络的串并联谐振点,即阻性工作点,但这个点的电压增益并非最大,最大电路峰值增益点的频率比这个频率稍低,这个纯阻性点的电压增益比最大峰值电压增益低约2-7%
通常可以采用如下步骤来确定系统设计的最大允许电压增益点频率。
-
将系统最大允许电压增益放大1.08倍(1.05-1.11倍),作为纯阻性点增益Mres
-
根据增益Mres,求出纯阻性增益点对应的纯阻性工作点频率
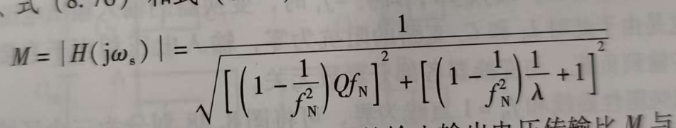
具体可采用如下公式:

其中λ 为电感比,具体其峰值,可以采用编写一段程序扫描数值解,和给定的Mres比较,求出fN
除此外也有具体公式,推到比较麻烦。 -
将纯阻性工作点频率放大1.08倍(1.05-1.11倍),作为最大允许增益点频率(最小工作频率)
由于纯阻性点的电压增益比最大峰值电压增益低约2-7%,因此系统最大允许电压增益控制在比最大峰值电压增益低约10%-15%,达到10-15%的保留裕量要求。
其实还可以采用纯粹编程计算的方式,根据公式,编程数值计算出不同Q值的曲线的电压峰值增益,找到某一个Q值,其电压峰值增益,刚好使设计允许的最大总电压增益小于其10-15%,即可,同时计算出Q值对应曲线上的小于峰值增益10-15%点的频率,即为设计允许的最大增益点频率(最小工作频率)
公式如下:

通过这一例子,说明开关电源和电力电子硬件设计这种多参数交织,相互影响工作,实际上人工计算误差大,难以校验,是一种很不好的措施,使用计算机编程,仿真设计校验相结合,才是最佳的方式。当然这个和工艺,具体器件选型密切相关。
5589

被折叠的 条评论
为什么被折叠?



