目录
删除二叉搜索树中的节点
描述
给定一个二叉搜索树的根节点 root 和一个值 key,删除二叉搜索树中的 key 对应的节点,并保证二叉搜索树的性质不变。返回二叉搜索树(有可能被更新)的根节点的引用。
一般来说,删除节点可分为两个步骤:
- 首先找到需要删除的节点;
- 如果找到了,删除它。
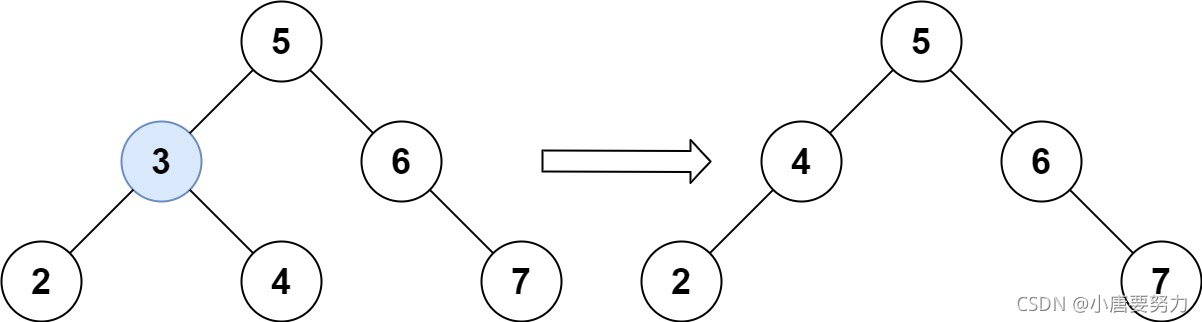
示例 1
输入:root = [5,3,6,2,4,null,7], key = 3
输出:[5,4,6,2,null,null,7]
解释:给定需要删除的节点值是 3,所以我们首先找到 3 这个节点,然后删除它。
一个正确的答案是 [5,4,6,2,null,null,7], 如下图所示。
另一个正确答案是 [5,2,6,null,4,null,7]。
示例 2
输入: root = [5,3,6,2,4,null,7], key = 0
输出: [5,3,6,2,4,null,7]
解释: 二叉树不包含值为 0 的节点
示例 3
输入: root = [], key = 0
输出: []
提示
- 节点数的范围
- 节点值唯一
- root 是合法的二叉搜索树
进阶: 要求算法时间复杂度为 O(h),h 为树的高度。
方法:递归
class Solution {
public TreeNode deleteNode(TreeNode root, int key) {
if (root==null) return null;//如果没找到,则不删除
if (root.val==key){//找到该节点了
if (root.left==null) return root.right;//如果该节点左子树为空,那么就让右子树赋值给root
else if (root.right==null) return root.left;//如果该节点右子树为空,就将左子树赋值给root
else{//如果左右子树都不为空,则找该节点的后缀节点赋值给该节点
TreeNode cur=root.right,pre=root;
while (cur.left!=null) {
pre=cur;//更新pre的值
cur=cur.left;//查找右子树中最左的节点
}
if (pre==root){//如果该节点右边没有左子树了
pre.right=cur.right;//就将右边的右子树往上提
}else pre.left=cur.right;//否则就将最左的节点右子树往上提,覆盖最左节点
root.val=cur.val;//删除当前节点
}
return root;
}else if (root.val<key) root.right=deleteNode(root.right,key);//在右子树查找节点
else root.left=deleteNode(root.left,key);//在左子树查找节点
return root;
}
}

本文介绍了一种从二叉搜索树中删除指定节点的方法,通过递归算法实现,保持树的特性不变。示例展示了不同情况下的操作流程。


634

被折叠的 条评论
为什么被折叠?



