目录
修剪二叉搜索树
描述
给你二叉搜索树的根节点 root ,同时给定最小边界low 和最大边界 high。通过修剪二叉搜索树,使得所有节点的值在[low, high]中。修剪树不应该改变保留在树中的元素的相对结构(即,如果没有被移除,原有的父代子代关系都应当保留)。 可以证明,存在唯一的答案。
所以结果应当返回修剪好的二叉搜索树的新的根节点。注意,根节点可能会根据给定的边界发生改变。
示例 1
输入:root = [1,0,2], low = 1, high = 2 输出:[1,null,2]
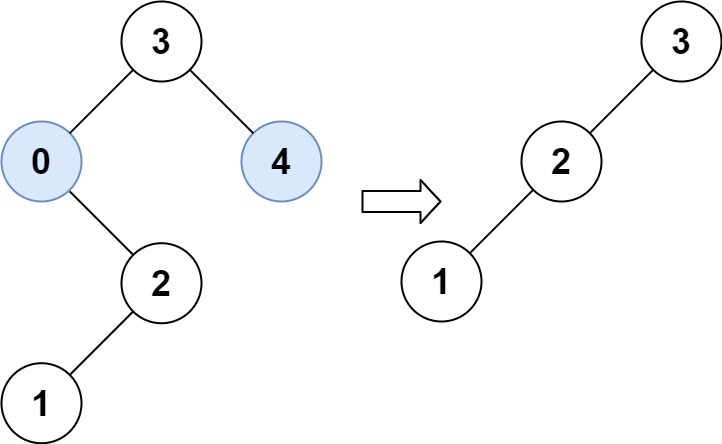
示例 2
输入:root = [3,0,4,null,2,null,null,1], low = 1, high = 3 输出:[3,2,null,1]
示例 3
输入:root = [1], low = 1, high = 2 输出:[1]
示例 4
输入:root = [1,null,2], low = 1, high = 3 输出:[1,null,2]
示例 5
输入:root = [1,null,2], low = 2, high = 4 输出:[2]
提示
- 树中节点数在范围 [1, 104] 内
- 树中每个节点的值都是唯一的
- 题目数据保证输入是一棵有效的二叉搜索树
方法:递归
class Solution {
public TreeNode trimBST(TreeNode root, int low, int high) {
if (root == null) return null;
if (root.val < low) {
root = root.right;//节点数字比low小,就把左节点全部裁掉.
root = trimBST(root, low, high);//裁掉之后,继续看右节点的剪裁情况.剪裁后重新赋值给root.
} else if (root.val > high) {
root = root.left;//如果数字比high大,就把右节点全部裁掉.
root = trimBST(root, low, high);//裁掉之后,继续看左节点的剪裁情况
} else {
//如果数字在区间内,就去裁剪左右子节点.
root.left = trimBST(root.left, low, high);
root.right = trimBST(root.right, low, high);
}
return root;
}
}

本文介绍了一种通过递归方式修剪二叉搜索树的方法,确保所有节点值位于指定范围内,同时保持原有节点间的相对结构不变。


106

被折叠的 条评论
为什么被折叠?



