功率分配器是微波电路设计中常用的一个无源元器件,简称功分器,顾名思义,就是把一路输出功率按照一定的比例分配成N路功率输出的一种微波元器件,如下图所示,A端口进入的信号分成两路信号从C1和C2端口输出。当然,如果信号从C1和C2 端口输入,从A端口输出的话,功分器也可以作为功率合成器使用。

功分器的种类很多,在微波射频系统中也得到了广泛的应用。通常情况下,大功率微波功分器通常用波导或者同轴线结构组成,中小功率微波功分器通常采用带状线或者微带线结构。如下图所示。

同轴结构功分器

微带结构功分器
我们今天一起来学习一下功分器的基础知识。今天学习的知识依然来自于栾秀珍老师等人所撰写的《微波技术与器件》。
购买链接如下。
No.1 一分二 功分器
一分二功分器是一个三端口网络,如下图所示。

根据微波网络理论,一个三端口网络的散射参量矩阵可以表示为:

如果三端口网络是互易的,则散射参量矩阵可以表示为:

如果三端口网络均匹配,则此时的散射参量矩阵可以简化为:

如果三端口网络是无耗的,则满足网络正幺性,即:


这时矛盾就出现了,如果满足上面等于零的条件,那么等于1就不满足。这也说明了一个三端口网络不可能做到同时满足无耗,互易,又完全匹配的条件。
这又怎么理解呢?
1.1 T型功率分配器
T型结功率分配器也是一种最简单的功率分配器,能用于功率分配和功率合成。如下图所示:

这种T型结功率分配器是无耗和互易的,但是不能在全部端口同时实现匹配。当信号传输时,在连接处会产生高次模,高次模不能传输,就会在连接处储存起来,可等效为集中参数的电纳B,若信号从端口3输入,从端口1和端口2 分配输出,则为了使输入端口匹配,必须满足下式:

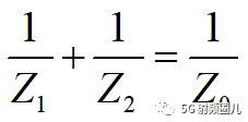
当电纳B等于0时,上式简化为:

因此可以在结处加入电抗性调谐结构,以抵消电纳B的影响。

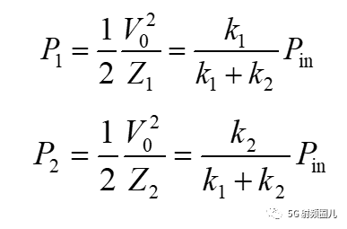
根据功率分配比的要求,可以求出所需要传输线的特性阻抗Z1和Z2. 假定输入电压为V0,则输入功率为:

若功率分配要求为k1:k2,则在输入端口匹配,无反射条件下,输出端口的功率为:

进而求出分配端口处的特性阻抗为:

若两输出端口匹配,则输入传输线是匹配的(输入传输线到结)。但这种功分器两个输出端口之间没有隔离,且输出端口是失配的(输出传输线到结)。在实际设计中,根据系统需求,可以将其设计成非互易元件,例如环形器。或者设计成有耗元件,如威尔金森功分器。

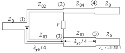
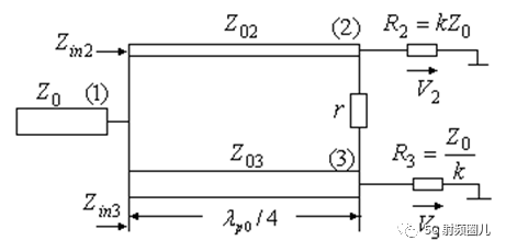
威尔金森功分器也是一种常用的功率分配器,即可用于功率分配也可用于功率合成。下图是威尔金森功分器的一个原理图,信号又端口1 输入,曾国特性阻抗为Z02和Z03的四分之一波长传输线,从端口2和端口3输出。端口2和端口3的负载阻抗分别为R2和R3.在端口2和端口3之间有一个隔离电阻r,使两输出端口之间没有耦合。通过加入隔离电阻r,做一个有耗网络,来实现各个端口的匹配。
威尔金森功分器应满足以下条件:1,可实现任意比例的功率分配;
2,输入端口1无反射;
3,输出端口相互隔离;
根据这些条件即可确定各个传输线的阻抗Z02/Z03,R2/R3.
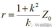
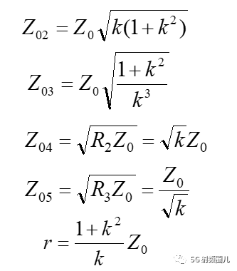
假设两输出端口功率分配比为k,则两四分之一波长传输线的特性阻抗为:
隔离电阻r为:
端口负载阻抗为:
通常情况下,我们希望输出端口阻抗和输入端口阻抗相等,都是50欧姆,以便于整个射频链路的设计,威尔金森功分器的结构可优化为:
设计公式如下:
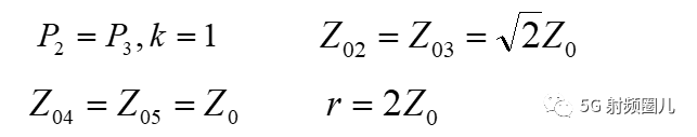
若功率等分,即k=1.则:
也就是在输出端口不需要进行阻抗变换就可以实现输出端口和输入端口阻抗相同了。No.2 一分N 功分器有时候,我们需要把一路信号分成多路信号来,通常可通过将几个一分二的功分器进行级联就可实现。如下图利用三个威尔金森功分器级联成一个一分四的功分器。
No.3 宽带 功分器



注释:文中图片来自于网络,如有侵权,请联系删除。


本文介绍了微波功率分配器的基本概念和应用,特别是焦点在于一分二功分器。内容包括功分器的结构类型,如同轴和微带结构,以及T型结功率分配器的工作原理。通过微波网络理论分析了三端口网络的散射参量矩阵,讨论了无耗、互易和匹配条件的矛盾。此外,还探讨了如何通过电抗性调谐结构实现匹配,并根据功率分配比计算特性阻抗,以满足不同应用需求。
890

被折叠的 条评论
为什么被折叠?



