摘要
本文描述了一种基于回声测深仪对水下机器人前方地形特征评估的水下机器人底部跟随问题的解决方案。所使用的方法将该问题作为离散时间路径跟踪控制问题,其中工厂的方便定义的误差状态空间模型用测深(即深度)预览数据来扩充。采用分段仿射参数相关模型表示,描述了水下机器人在一组预定工作区域内的线性化误差动力学。对于每个区域,提出仿射参数相关系统的状态反馈㼿控制问题,并使用线性矩阵不等式(LMIs)求解。所得到的非线性控制器被实现为使用D-方法的增益调度控制器。给出并讨论了基于非线性动力学模型的水下机器人在垂直面上的仿真结果。
索引术语—离散时间系统、线性参数变化系统、预览控制、跟踪、瞬态响应、水下航行器
介绍
本文描述了一种自主水下航行器底部跟随控制器设计问题的解决方案,该方案明确考虑了由两个回声测深仪测量的航行器前方的水深特性。所采用的方法属于预控理论的范畴。所提出的解决方案是通过模拟原型英凡特水下机器人模型(见图1)进行评估的,该模型由葡萄牙里斯本高等理工学院建造和运营。
预览控制算法已被广泛用于改善闭环性能,当反映在关于未来命令和干扰的信息中的关于环境的未来信息可用时,可以用有限带宽的反馈补偿器获得闭环性能。关于线性二次预瞄控制理论在车辆主动悬架设计中的应用的一系列论文可以在文献中找到。
应该特别强调Tomizuka的开拓性工作,其中最佳预瞄控制问题被公式化和求解,并且讨论了不同预瞄长度对整个悬架系统性能的影响。Prokop和Sharp [2]中提出了一种替代方法,该方法包括将干扰或参考动态纳入设计模型,然后求解所得的线性二次控制问题。最近,Takaba [3]利用线性矩阵不等式解决了多面体不确定系统的具有预见作用的鲁棒伺服机构设计问题。
对于线性控制系统的设计,本文采用了一种离散时间状态反馈预见控制器综合算法。在本文所研究的方法中,文献[3]-[6]中给出的结果被用于开发仿射参数相关系统的基于线性矩阵不等式(LMI)的预见控制器综合算法。对于大的预览间隔,本文提出的技术导致涉及大量变量的LMI优化问题。为了克服这一限制,提出了一种利用增强预览系统的特定结构来计算所需前馈增益矩阵的替代算法。
本文针对有限个分段仿射参数依赖的离散时间对象模型,综合了线性状态反馈预见控制器。这些模型中的每一个都由参数空间(由飞行器的总速度和迎角定义)中定义明确的方框确定的每个水下机器人工作区域的广义误差线性化的离散等效物组成。采用的误差空间与[7]–[9]中给出的解决方案一致,并包括一个重要的方向性系数,该系数在线速度误差的定义中考虑了当前车辆的方向。作者将类似的技术应用于旋翼机地形跟踪问题,其细节见[10]。
最终得到的非线性增益调度控制器的实现使用了中描述的D-方法,这保证了基本的线性化特性,并且消除了在微调时前馈状态变量和输入值的需要。基于传感器的底部跟随控制系统设计的一个关键问题是声纳测量的底部高度数据的计算。在本文中,所采用的技术利用传感器的几何形状来有效地建立车辆前方的海床轮廓。
组织如下。第三节介绍了英凡特水下机器人垂直平面动力学的非线性模型。第三节阐述了底部跟随问题,简要介绍了用于描述车辆动力学的路径相关误差空间。第四节陈述了预览控制问题。第五节描述了用于线性控制器设计的方法,其中LMI综合技术被应用于仿射参数相关系统。第六节介绍了用于根据声纳剖面仪测量结果构建参考路径的重建技术。第七节重点介绍了水下机器人非线性底部跟随控制器的实现。最后,在第八节中给出了利用垂直平面非线性动力学模型获得的仿真结果。
车辆动力学
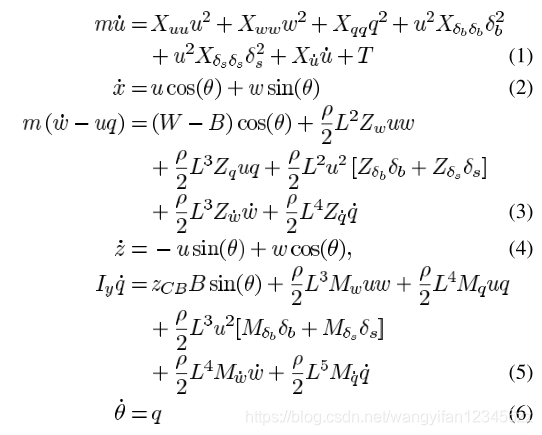
在这里,我们描述了垂直平面上的水下机器人的动力学模型。详见[12]和[13]。车辆长4.5 m,宽1.1 m,高0.6 m。它配备了两个主推进器(螺旋桨和喷嘴),用于巡航和完全移动表面(方向舵、船头平面和船尾平面),分别用于车辆在水平面和垂直面上的转向和潜水。使用的符号和车辆模型的结构是标准的[12],[14]。
变量u和w表示喘振和升沉速度,而
θ
\theta
θ、
q
q
q、
x
x
x和
z
z
z分别表示俯仰、俯仰速率、惯性位置和深度。符号
δ
b
\delta_b
δb和
δ
s
\delta_s
δs分别代表船头和船尾平面偏转。用这种符号并忽略稳定横摇模式,水下机器人在垂直面上的动力学可以用简洁的形式写成


其中(1)、(3)和(5)分别描述了喘振、升沉和俯仰运动,
X
(
.
)
,
Z
(
.
)
和
M
(
.
)
X_{(.)},Z_{(.)}和M_{(.)}
X(.),Z(.)和M(.)是流体动力导数项,
z
C
B
z_{CB}
zCB表示稳心距离。等式(2)、(4)和(6)捕捉车辆运动学。水动力参数的数值见[12]和[13]。变量m、L、W、B和
I
y
I_y
Iy分别是车辆的质量、长度、重量、浮力和绕轴的惯性矩,
ρ
\rho
ρ是水的密度。
本文介绍了一种自主水下航行器底部跟随控制器的设计方案,该方案利用回声测深仪评估航行器前方的地形特征。通过离散时间路径跟踪控制方法,结合预览数据扩充的误差状态空间模型,实现了基于线性矩阵不等式的非线性控制器设计。
5861

被折叠的 条评论
为什么被折叠?



