树系列:
树的定义
树(tree) n(n≥0)个结点的有限集。
- n=0 时是一颗空树,不包含任何结点
- n>0 时是一颗非空树,有且仅有一个特定的成为根(root) 的结点
- n>1时 其余结点可分为m(m>0)个互不相交的有限集T1,T2、…Tm,其中每个集合本身又是一颗树,并且称为根的子树(SubTree)

子树
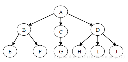
T1和T2是根结点A的左右子树,当然E、F结点又是B结点的左右子树,只不过是没有子结点的子树

结点的度&树的度

结点拥有子树的个数称为结点的度
上图,B结点的度是E和F 2个结点,所以度是2,同理D结点的度是3,分别是H、I、J结点
树的度取自树内结点的度的最大值
上图,结点度最大的是D结点,所以这颗树的度就是D结点的度是3
结点间的关系

父结点
上图,A是B、C、D的父结点。 B是E、F的父结点
子结点
上图,反过来,B、C、D是A的子结点。E、F是B的子结点
兄弟结点
上图,拥有同一个父结点的结点们是兄弟结点。B、C、D是兄弟结点
双亲结点
上图、B是E的双亲结点,通俗的说E的爸爸是B,E的爷爷是A
结点的层次

备注:该图来自大话数据结构这本书
结点的层次(Level) 从根结点开始,根为第一层,根的孩子结点为第二层,以此类推
树的深度或高度树中结点最大层次称为数的深度或高度,当前数的深度是4
森林
是m(m≥0) 颗互不相交的树的集合。对于树中的每个结点来说,其子树的集就是森林,通俗的说,把一颗很大的树的根砍了就得到很多子树,这些子树组成了一个小森林
本文深入讲解树这一数据结构,包括树的基本概念、结点的度与树的度、结点间的关系如父结点、子结点、兄弟结点及双亲结点,以及结点的层次与树的深度等关键知识点。
1001

被折叠的 条评论
为什么被折叠?



