148. 排序链表
给你链表的头结点 head ,请将其按 升序 排列并返回 排序后的链表 。
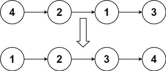
示例 1:

输入:head = [4,2,1,3]
输出:[1,2,3,4]
示例 2:

输入:head = [-1,5,3,4,0]
输出:[-1,0,3,4,5]
示例 3:
输入:head = []
输出:[]
提示:
链表中节点的数目在范围 [0, 5 * 104] 内
-10^5 <= Node.val <= 10 ^ 5
进阶:你可以在 O(n log n) 时间复杂度和常数级空间复杂度下,对链表进行排序吗?
解题
方法:归并排序
/**
* Definition for singly-linked list.
* public class ListNode {
* int val;
* ListNode next;
* ListNode() {}
* ListNode(int val) { this.val = val; }
* ListNode(int val, ListNode next) { this.val = val; this.next = next; }
* }
*/
class Solution {
// O(n log n) 时间复杂度,归并排序
// 自顶向下,先找到中间位置,然后进入递归,合并,空间复杂度O(n)
// 自底向上,(不递归)把链表拆成子链表,一开始子链表长度为1,然后合并两个子链表,遍历完链表即结束,空间复杂度O(1)
public ListNode sortList(ListNode head) {
// 自顶向下
return sortOrder(head, null);
}
private ListNode sortOrder(ListNode head, ListNode tail) {
if (head == null) {
return head;
}
if (head.next == tail) {
head.next = null;
return head;
}
// 归并排序
// 寻找中间节点
ListNode fast = head;
ListNode slow = head;
while (fast != tail) {
slow = slow.next;
fast = fast.next;
if (fast != tail) {
fast = fast.next;
}
}
ListNode mid = slow;
ListNode list1 = sortOrder(head, mid);
ListNode list2 = sortOrder(mid, tail);
ListNode mergeNode = merge(list1, list2);
return mergeNode;
}
// 合并两个有序链表
private ListNode merge(ListNode list1, ListNode list2) {
ListNode ans = new ListNode(0);
ListNode temp = ans;
ListNode head1 = list1;
ListNode head2 = list2;
while (head1 != null && head2 != null) {
if (head1.val <= head2.val) {
temp.next = head1;
head1 = head1.next;
} else {
temp.next = head2;
head2 = head2.next;
}
temp = temp.next;
}
if (head1 != null) {
temp.next = head1;
}
if (head2 != null) {
temp.next = head2;
}
return ans.next;
}
}
本文介绍了一种在O(nlogn)时间复杂度和常数级空间复杂度下对单链表进行排序的方法,即归并排序。作者提供了Java代码实现,包括寻找中间节点、递归排序和合并两个有序链表的过程。
1859

被折叠的 条评论
为什么被折叠?



