摘 要
随着食品行业的发展,预制菜产业逐渐成为现代餐饮行业的重要组成部分。为提高预制菜工厂的生产效率、产品质量以及运营管理水平,本文设计并实现了一种基于Spring Boot的智能预制菜工厂管理系统。系统采用Java语言开发,MySQL数据库存储数据,并通过后台管理平台实现对生产流程、材料管理、设备维护、产品销售等多个环节的智能化管理。系统根据不同角色的需求,划分为生产员工、产品员工和管理员三类用户,分别提供针对性的功能模块。
对于生产员工和产品员工,系统提供材料管理、产品管理、设备管理和通知管理等功能,确保生产流程的顺畅和物料的及时供应。管理员则拥有更高权限,除了以上功能外,还具备用户管理、物流管理、生产运行管理等功能,实现对整个生产和运营过程的全方位监控与优化。通过预警提醒、审批流程、数据统计等手段,系统不仅提高了各类资源的使用效率,还确保了生产过程中的数据安全和质量控制。
本系统的实施,有效提升了预制菜工厂的管理水平,优化了生产计划和物料管理,减少了人工干预,提升了生产效率和产品质量。系统架构灵活、可扩展,具有较强的适应性,能够满足日益增长的市场需求,具有较好的推广前景和应用价值。
关键词:预制菜;Spring Boot;生产管理;材料管理;设备管理;后台管理
ABSTRACT
With the development of the food industry, the pre packaged food industry has gradually become an important component of the modern catering industry. To improve the production efficiency, product quality, and operational management level of prefabricated vegetable factories, this article designs and implements an intelligent prefabricated vegetable factory management system based on Spring Boot. The system is developed in Java language, with MySQL database storing data, and intelligent management of multiple links such as production process, material management, equipment maintenance, and product sales through a backend management platform. The system is divided into three types of users based on the needs of different roles: production employees, product employees, and administrators, each providing targeted functional modules.
For production and product employees, the system provides functions such as material management, product management, equipment management, and notification management to ensure smooth production processes and timely supply of materials. Administrators have higher privileges, in addition to the above functions, they also have user management, logistics management, production operation management and other functions, realizing comprehensive monitoring and optimization of the entire production and operation process. Through warning reminders, approval processes, data statistics, and other means, the system not only improves the efficiency of various resource utilization, but also ensures data security and quality control in the production process.
The implementation of this system has effectively improved the management level of prefabricated vegetable factories, optimized production planning and material management, reduced manual intervention, and improved production efficiency and product quality. The system architecture is flexible and scalable, with strong adaptability, able to meet the growing market demand, and has good promotion prospects and application value.
Keywords: pre made dishes; Spring Boot;Production management; Material management; Equipment management; back-stage management
目 录
1绪论
1.1课题研究背景及意义
随着社会经济的快速发展和城市化进程的推进,食品行业的需求日益增长,尤其是预制菜行业的崛起,成为现代餐饮市场的重要组成部分。传统的食品生产和管理模式已难以满足日益复杂的生产需求和管理挑战,如何通过信息技术提升生产效率、降低运营成本、提高产品质量成为行业发展的关键。预制菜工厂面临着诸如生产计划调度、材料供应链管理、设备维护、库存控制等一系列管理难题,迫切需要一套完善的信息化管理系统来优化生产流程、保障资源的合理分配。
传统的手工管理方式不仅效率低下,而且容易出现信息传递滞后、决策失误等问题,难以适应快速变化的市场需求。借助信息技术进行工厂管理,不仅可以提高各环节的协作效率,还能对整个生产过程进行实时监控和数据分析,为决策提供有力支持。尤其是在生产管理、材料采购、库存管理、设备维护等方面,信息化系统能够实现自动化、规范化、可追溯化的管理,提高工作效率并减少人为错误。
基于Spring Boot框架、Java语言和MySQL数据库的工厂管理系统,能够为预制菜工厂提供全方位的后台管理支持,涵盖材料管理、生产管理、设备管理、产品销售等多个功能模块,旨在通过数字化、信息化手段提升工厂的整体运营效率。通过该系统的实施,不仅能够解决传统管理模式下存在的诸多问题,还能够在一定程度上提升企业的核心竞争力,使其在激烈的市场竞争中占据有利位置。
从社会和行业发展趋势来看,信息化和智能化管理已经成为现代企业发展的必然趋势,尤其是在食品生产行业,采用先进的管理系统不仅能够提升企业的生产效率,还能优化供应链,保障食品安全,增强企业的市场响应能力。对于预制菜工厂而言,构建一套符合行业需求的智能管理系统,能够更好地适应市场需求变化,提高生产运营的透明度和可控性,进一步推动食品工业的升级与发展。
1.2国内外发展现状分析
在全球范围内,随着消费者对便捷、健康饮食需求的增加,预制菜产业得到了迅速发展。国内外许多企业在预制菜的生产和销售过程中面临着资源管理、生产调度、质量控制等多方面的挑战。为了提高生产效率和管理水平,越来越多的工厂开始借助信息技术手段进行管理。现有的研究和实践主要集中在如何通过信息化手段对生产流程进行优化,提升运营效率,并降低成本。
在国内,随着制造业的转型升级,越来越多的企业开始应用现代化的管理系统。传统的生产管理方式逐渐被信息化系统替代,这一过程在食品行业尤为明显。许多研究探讨了基于ERP(企业资源计划)系统和MES(制造执行系统)的解决方案,这些系统主要应用于生产计划管理、物料管理、质量控制等方面。国内一些大型食品企业已经开始部署相关的管理系统,尤其是在预制菜领域,通过系统化管理有效提高了生产流程的可控性和透明度。研究还表明,信息化管理系统不仅能够改善生产的调度效率,还能够优化供应链管理,确保材料的及时供应和库存的合理性。随着市场需求的多元化,企业越来越需要针对性强的管理系统,以应对不同的生产需求和管理难题。
国外的研究则在信息化工厂管理系统的应用上具有较长时间的实践经验,尤其是在欧美地区。许多食品生产企业早期就开始运用信息化系统进行生产调度和质量控制。国外的一些研究强调了通过智能化管理平台对生产过程进行精细化管理的必要性,尤其是在自动化生产线和复杂的供应链管理中,信息化系统能够显著提升工厂运营的灵活性和应变能力。许多国外的食品企业已将管理系统与数据分析相结合,通过集中管理平台提升生产效率,降低资源浪费,同时确保食品安全与质量符合标准。国外的实践经验表明,生产环节的高效协同和精准调度对提升企业核心竞争力起到了关键作用。
尽管国内外的研究和应用背景有所不同,但总体上来看,食品生产领域的信息化建设正在逐步走向深入。预制菜工厂的管理系统发展趋势呈现出精细化、智能化和集成化的特点。随着需求的日益增长和技术的不断进步,预制菜生产企业越来越重视如何通过技术手段提升生产流程的自动化和管理系统的高效性,以便在竞争激烈的市场中获得更大的市场份额。
1.3论文组织结构
本论文共分为七个主要章节,具体结构如下:
1. 绪论:介绍研究背景与意义,回顾国内外研究现状,并概述论文的组织结构。
2. 相关技术介绍:详细介绍与本研究相关的技术,包括Java语言、B/S框架、SpringBoot框架、Vue技术和MySQL数据库。
3. 需求分析:对系统的功能需求和非功能需求进行分析,明确用户和管理员的需求,并进行可行性分析,包括技术、操作和经济可行性。
4. 系统设计:涵盖系统架构设计、总体流程设计和功能设计,并进行数据库的概念设计与表设计。
5. 系统实现:具体描述各个功能模块的实现过程,展示系统如何根据需求进行开发。
6. 系统测试:阐述测试的目的、方法和内容,分析测试结果并得出结论,以验证系统的稳定性和功能完整性。
7. 总结:总结研究的主要成果和贡献,指出存在的不足及未来的研究方向。
2相关技术简介
2.1Java语言
Java语言是一种广泛使用的高级编程语言,具有平台无关性、面向对象特性和丰富的标准库[1]。Java通过Java虚拟机(JVM)实现跨平台运行,开发者可以编写一次代码,在任何支持JVM的环境中执行。Java的面向对象特性使得代码复用和模块化变得更加容易,促进了软件的维护和扩展。Java支持多线程编程,允许开发者在同一程序中同时执行多个任务,提升了应用程序的性能。
Java语言的语法结构简洁且易于理解,吸引了大量开发者[2]。Java的标准库包含数据结构、输入输出处理、网络编程等众多功能模块。这使得开发者在构建应用程序时能够高效利用已有工具,减少重复劳动。Java广泛应用于企业级应用、移动应用、Web开发和大数据处理等领域。
2.2 B/S框架
B/S(Browser/Server)架构是一种基于浏览器和服务器的系统架构模式,用户通过浏览器与服务器进行交互。B/S架构简化了客户端的部署和管理,用户无需在本地安装复杂的软件,只需使用标准浏览器即可访问应用程序。服务器端负责处理业务逻辑和数据存储,客户端则主要负责展示用户界面和数据交互[3]。B/S架构的设计使得系统更新和维护集中在服务器端,降低了维护成本。
B/S架构通常采用Web技术进行实现,包括HTML、CSS和JavaScript等。用户在浏览器中发起请求,服务器响应并返回数据。数据传输通常通过HTTP或HTTPS协议进行,B/S架构的灵活性使其适用于在线购物、信息管理系统和社交网络等各类应用场景[4]。由于其易于扩展性,B/S架构可以方便地支持大规模用户访问,适应不断变化的业务需求。
2.3 SpringBoot框架
SpringBoot框架是基于Spring框架的开源项目,简化Java应用程序的开发过程。SpringBoot通过约定优于配置的理念,减少了传统Spring应用的繁琐配置,开发者可以快速搭建和部署应用程序。框架提供了一系列默认配置,支持自动化配置,简化了应用启动的复杂性[5]。SpringBoot内置了嵌入式Web服务器,使得开发者能够独立运行Java应用,无需外部容器。
SpringBoot支持微服务架构,开发者可以轻松创建和管理多个微服务。框架集成了丰富的功能模块,包括安全、数据访问和消息中间件等,支持RESTful API和JSON数据格式的处理[6]。SpringBoot还提供了强大的监控和管理功能,允许开发者实时监控应用的健康状态和性能指标。借助SpringBoot,开发者能够高效构建和维护现代企业级应用,满足复杂业务需求。
2.4 Vue技术
Vue是一种渐进式JavaScript框架,专注于构建用户界面。Vue采用组件化的开发模式,允许开发者将应用程序拆分为独立的、可重用的组件,从而提高了开发效率和代码的可维护性[7]。框架的核心库专注于视图层,支持数据绑定和DOM操作,提供了简洁的API。Vue的虚拟DOM机制提升了应用的性能,减少了实际DOM操作的次数。
Vue支持双向数据绑定,能够自动更新视图与模型之间的变化。开发者可以通过Vue的指令系统,简化数据展示和事件处理。Vue还支持路由管理和状态管理,使得开发复杂单页面应用变得更加容易[8]。借助Vue的生态系统,开发者能够使用多种工具和库来扩展功能,满足不同的业务需求。Vue在前端开发中逐渐成为主流选择,受到广泛关注和应用。
2.5 MySQL数据库
MySQL是一种开源关系型数据库管理系统,广泛应用于Web应用和企业级数据存储。MySQL支持结构化查询语言,允许开发者通过标准语句进行数据的创建、读取、更新和删除操作[9]。数据库通过表格形式组织数据,支持数据完整性和约束条件的定义。MySQL的存储引擎机制使得用户可以根据具体需求选择不同的存储引擎,以优化性能和功能。
MySQL具有高性能和可扩展性,支持大规模数据存储和高并发访问。系统提供了丰富的用户权限管理和数据加密安全特性。MySQL能够与多种编程语言和框架兼容,广泛应用于内容管理系统、电子商务平台和数据分析等各种场景。
3系统需求分析
3.1系统功能需求分析
本文设计并实现的三餐悦味预制菜工厂管理系统,采用SpringBoot框架开发,旨在为生产员工、管理员和产品员工提供一个高效、便捷的预制菜工厂管理平台。系统的核心功能包括生产员工、管理员和产品员工的多种操作权限和功能模块,确保系统的多角色协同工作,实现预制菜生产销售全流程顺畅管理。下面是对系统各类用户功能的详细分析:
1.生产员工功能
后台首页:生产员工登录系统后,进入后台首页,可以查看工作日程、待处理任务、设备状态等重要信息。首页直观展示生产任务进度,确保员工了解当前工作内容及生产目标。
材料管理:该模块用于管理原材料的各项信息,确保材料供应链的正常运行。具体功能包括:
材料仓库管理:负责日常材料库存的管理,并且提供库存预警功能,提醒生产员工及时补充材料,避免生产中断。
材料采购管理:管理材料的采购流程,包括生成采购订单、材料的审批、预算等。采购单需要得到生产员工审核,确保采购的合理性。
供应商管理:管理材料供应商的信息,包括供应商的联系方式、信用记录、交货情况等,便于选择合适的供应商。
材料入库管理:记录所有入库材料的信息,包括入库时间、数量、批次等,确保材料入库流程的准确和顺畅。
材料检测管理:对材料进行质量检测,确保每批材料符合生产标准,并生成质检报告。材料检测的结果会影响生产计划的制定。
材料出库管理:管理材料的出库情况,确保生产所需材料的及时供应,同时做好出库记录,保证物料追溯的准确性。
产品管理:该模块负责预制菜产品的生产、销售和库存管理,包括:
生产计划管理:根据生产需求制定详细的生产计划,并需要管理员或产品员工的审核。确保生产计划的科学性和可执行性。
生产记录管理:记录生产过程中的每一项数据,包含生产日期、产品批次、操作员等信息,为产品质量追溯提供保障。
成品仓库管理:管理成品的库存情况,确保产品出库时的库存数量准确,避免生产过剩或断货。
客户信息管理:存储客户的相关信息,包括订单记录、交货时间、客户反馈等,便于后续客户服务和产品追踪。
产品销售管理:管理产品的销售情况,包括销售订单、销售数量、销售渠道等,帮助企业分析销售业绩。
设备管理:设备的管理保证生产线的顺利运行,主要包括:
设备信息管理:记录所有生产设备的详细信息,如设备类型、规格、运行状况等,确保设备信息的全面性。
维修记录管理:记录设备的维修历史和维护周期,帮助生产员工及时掌握设备的维护需求。
维修团队管理:管理维修人员的信息,确保设备出现故障时,能够及时安排专业的维修团队进行处理。
通知管理:用于发布和接收通知,确保生产员工及时获得相关信息,包括:
公告信息管理:生产员工可以查看系统公告,如新的生产计划、重要通知等。
个人通知管理:生产员工接收与个人相关的通知,包括工作安排、任务分配等。
2.产品员工功能
产品员工在功能模块上与生产员工有相似之处,但功能的执行权限有所不同,重点在于对产品的生产、质量控制等环节的参与。
后台首页:与生产员工相似,产品员工也可以在后台首页查看生产任务、设备状态、待处理任务等信息。
材料管理:产品员工在材料管理模块的操作包括:
材料仓库管理:与生产员工相同,管理材料库存及预警提醒。
材料采购管理:产品员工参与材料采购管理,审核采购单并根据需求提交质检报告,确保采购的材料符合标准。
供应商管理:管理供应商信息,参与选择和管理供应商。
材料入库管理:管理材料入库记录,确保材料按计划及时入库。
材料检测管理:参与材料的质量检测并生成质检报告,确保材料符合生产标准。
材料出库管理:记录出库材料的信息,确保出库流程的顺利进行。
产品管理:产品员工参与产品的生产、质量控制等工作:
生产计划管理:参与生产计划的制定和审核,确保生产的顺利进行。
生产记录管理:管理和记录生产过程中的每项数据,确保质量追溯和产品合规性。
成品仓库管理:管理成品的存储,确保库存的实时更新和准确性。
客户信息管理:管理和跟踪客户订单和反馈,确保产品按时交付。
产品销售管理:通过销售数据反馈帮助改进产品设计和生产流程。
设备管理:产品员工也会记录设备的维修情况和管理维修团队:
设备信息管理:管理设备信息,确保生产设备的正常运行。
维修记录管理:记录设备的维修历史,为设备维护和故障排除提供支持。
维修团队管理:协助安排维修团队及时进行设备维护,确保生产线不受影响。
通知管理:与生产员工相同,产品员工也能查看系统公告和个人通知,保持与团队和生产任务的协调。
3.管理员功能
管理员在工厂管理系统中扮演着决策者和管理者的角色,主要负责系统的整体管理、资源调配和流程优化。
后台首页:管理员登录后,可以查看系统的整体概况、各部门工作进展、生产数据统计等。
系统用户管理:管理员能够管理所有系统用户,包括生产员工、产品员工等,进行权限分配、账号管理等操作。
材料管理:管理员对材料管理有最终审批权:
材料仓库管理:管理员可以查看所有材料的库存情况,并可根据需要调整库存和预警设置。
材料采购管理:管理员审核材料采购单,并根据需求审批采购计划。
供应商管理:管理员选择和管理供应商,确保材料采购的稳定性和质量。
材料入库管理:管理员审核入库记录,并确保所有材料的入库符合要求。
材料检测管理:管理员审批材料检测结果,确保生产的材料符合标准。
材料出库管理:管理员审核材料的出库记录,确保材料按照生产需求及时出库。
产品管理:管理员负责审批和管理产品的生产及销售:
生产计划管理:管理员审核和调整生产计划,确保生产目标和实际需求一致。
生产记录管理:管理员检查生产记录,确保生产过程符合质量要求。
成品仓库管理:管理员管理成品库存,确保产品的库存情况合理。
客户信息管理:管理员管理客户信息及订单,确保客户需求得到及时响应。
产品销售管理:管理员对产品销售进行统计分析,为生产和销售决策提供数据支持。
设备管理:管理员需要审批维修记录和设备维修情况:
设备信息管理:管理员管理所有设备的详细信息,确保设备处于良好状态。
维修记录管理:管理员审核设备维修记录,确保设备维修及时、合理。
维修团队管理:管理员协调维修团队的工作安排,确保设备故障能够得到及时修复。
通知管理:管理员管理全员的通知发布:
公告信息管理:管理员发布重要公告,确保生产员工和产品员工及时了解相关信息。
个人通知管理:管理员为个人或部门发送工作相关的通知,确保工作安排有序。
物流管理:管理员负责物流的各项工作:
物流种类管理:管理员对物流方式进行管理,确保物料和产品的运输畅通。
运输记录管理:管理员记录所有运输信息,确保物资的流动有据可查。
其他管理:管理员还负责整体生产过程的监控:
生产运行管理:管理员管理生产运营情况,确保生产过程不受干扰。
生产监控管理:管理员监控生产设备的状态和生产进度,及时发现问题并解决。
三餐悦味预制菜工厂管理系统为三餐悦味预制菜工厂提供了全面的生产管理解决方案,通过清晰的权限设置和功能模块,确保生产员工、产品员工和管理员能够各司其职,提升了生产效率、资源管理的精准度和产品质量的可控性。
3.2系统非功能性分析
三餐悦味预制菜工厂管理系统在撰写系统毕业论文时,非功能性需求分析是一个重要的部分。非功能性需求主要关注的是系统如何运行,而不是它具体完成什么功能。这些需求包括性能、可用性、安全性、可维护性、可扩展性、易用性等方面。以下是一个关于三餐悦味预制菜工厂管理系统非功能性需求分析的概要。
性能需求:系统需确保快速响应和高吞吐量,以支持大量用户同时访问,即使在高峰时段也能保持流畅的操作体验,避免因延迟或卡顿影响用户体验。
可用性:安系统必须具备高可用性,采用冗余部署、负载均衡等策略,确保即使部分组件故障也能迅速恢复服务,减少服务中断时间,保障用户业务的连续性。
安全性:鉴于系统处理用户敏感信息,如个人信息等,必须实施严格的安全措施,包括数据加密、访问控制、防攻击机制等,以保护用户数据免受未授权访问或泄露。
可维护性:系统设计应注重可维护性,采用模块化、标准化的架构,提供详尽的开发文档和用户手册,确保系统易于理解和维护,降低长期运维成本。
可扩展性:随着业务的发展,系统可能需要扩展功能或提升性能。因此,系统需具备灵活的可扩展性,能够轻松添加新模块、优化性能,以应对未来增长的需求。
易用性:用户界面应直观易用,符合用户习惯,提供清晰的导航和友好的操作反馈,帮助用户快速上手并高效完成任务,提升整体用户满意度。
3.3系统可行性分析
通过三餐悦味预制菜工厂管理系统的可行性分析,我们可以从技术可行性、经济可行性、操作可行性三个维度进行深入探讨,以确保系统的开发与应用具有坚实的可行性基础。
3.3.1技术可行性
Springboot作为目前流行的Java企业级应用开发框架,以其“约定优于配置”的原则,极大地简化了开发流程,降低了技术门槛。同时,结合MyBatis Plus这一强大的ORM框架,可以高效实现数据持久化操作。MySQL数据库作为后端数据存储,以其高性能和稳定性为系统提供了可靠的数据支持。综上所述,从技术角度来看,该系统的开发具备高度可行性。
3.3.2经济可行性
考虑到Springboot、MyBatis Plus及MySQL等均为开源技术,无需支付高昂的许可费用,大大降低了系统的开发成本。同时,这些技术拥有广泛的用户群体和成熟的社区支持,便于获取技术支持和资源共享。此外,系统的实施将显著提升三餐悦味预制菜工厂管理系统的效率和用户体验,从而带来潜在的经济效益。因此,从经济角度来看,三餐悦味预制菜工厂管理系统的开发同样具备可行性。
3.3.3操作可行性
系统设计应遵循用户友好原则,确保用户能够轻松上手并高效使用。通过合理的界面布局、直观的操作流程以及详尽的帮助文档,可以大大降低用户的学习成本,提高系统的操作可行性。此外,系统还应具备完善的权限管理和数据安全机制,确保操作的安全性和合规性。
从技术、经济、操作三个维度来看,三餐悦味预制菜工厂管理系统的开发均具备高度的可行性。
3.4系统用例分析
三餐悦味预制菜工厂管理系统用例分析主要从生产员工、管理员、产品员工这些实体展开描述。
3.4.1生产员工用例分析
生产员工具备后台首页、材料管理(材料仓库管理、材料采购管理、供应商管理、材料入库管理、材料检测管理、材料出库管理)、产品管理(生产计划管理、生产记录管理、成品仓库管理、客户信息管理、产品销售管理)、设备管理(设备信息管理、维修记录管理、维修团队管理)、通知管理(公告信息管理、个人通知管理)等需求用例,详细用例图如图3-1所示。

图3-1生产员工用例图
3.4.2管理员用例分析
管理员具备后后台首页、系统用户、材料管理(材料仓库管理、材料采购管理、供应商管理、材料入库管理、材料检测管理、材料出库管理)、产品管理(生产计划管理、生产记录管理、成品仓库管理、客户信息管理、产品销售管理)、设备管理(设备信息管理、维修记录管理、维修团队管理)、通知管理(公告信息管理、个人通知管理)、物流管理(物流种类管理、运输记录管理)、其他管理(生产运行管理、生产监控管理)等需求用例。详细用例图如图3-2所示。

图3-2管理员用例图
3.4.3产品员工用例分析
产品员工具备后台首页、材料管理(材料仓库管理、材料采购管理、供应商管理、材料入库管理、材料检测管理、材料出库管理)、产品管理(生产计划管理、生产记录管理、成品仓库管理、客户信息管理、产品销售管理)、设备管理(设备信息管理、维修记录管理、维修团队管理)、通知管理(公告信息管理、个人通知管理)等需求用例。详细用例图如图3-3所示。

图3-3产品员工用例图
4系统设计
4.1系统架构设计
系统采用三层开发设计模式,分为:用户界面层,业务逻辑层和数据访问层。用户界面层用来和用户交互,业务逻辑层负责业务的处理和各层之间的数据的传递;数据访问层负责对数据库的访问和检索[10]。
系统的架构图如下图所示。

图4-1 系统架构图
系统各层之间的调用过程如下:
(1)用户通过用户界面层访问系统,向系统提交请求,界面层对请求进行初步的处理和包装,并判断是否要与业务逻辑层进行交互。
(2)业务逻辑层接收来自界面层的请求,对请求进行数据处理。然后调用数据访问层来实现数据库访问,数据访问层访问数据库,将数据读出并返回给逻辑层。
(3)逻辑层将处理的结果,返回给界面层。界面层加以处理呈现给用户。
4.2系统结构设计
三餐悦味预制菜工厂管理系统的整体结构设计如图4-2所示。

图4-2整体功能结构设计图
4.3系统功能设计
4.3.1系统开发流程
三餐悦味预制菜工厂管理系统开发时,首先进行需求分析,进而对系统进行总体的设计规划,设计系统功能模块,数据库的选择等,本系统的开发流程如图4-3所示。

图4-3系统开发流程图
4.3.2 用户登录流程
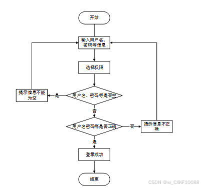
为了保证系统的安全性,要使用本系统对系统信息进行管理,必须先登陆到系统中。如图4-4所示。

图4-4登录流程图
4.3.3 系统操作流程
用户打开并进入系统后,会先显示登录界面,输入正确的用户名和密码,系统自动检测信息,若信息无误,则用户会进入系统功能界面,进行操作,否则会提示错误无法登录,操作流程如图4-5所示。

图4-5 系统操作流程图
4.3.4 添加信息流程
管理员可以进行信息的添加,用户也可以对自己权限内的信息进行添加,输入信息后,系统会自行验证输入的信息和数据,若信息正确,会将其添加到数据库内,若信息有误,则会提示重新输入信息,添加信息流程如图4-6所示。

图4-6 添加信息流程图
4.3.5 修改信息流程
管理员可以进行信息的修改,用户也可以对自己权限内的信息进行修改,首先进入修改信息界面,输入修改信息数据,系统进行数据的判断验证,修改信息合法则修改成功,信息更新至数据库,信息不合法则修改失败,重新输入。修改信息流程图如图4-7所示。

图4-7 修改信息流程图
4.3.6 删除信息流程
管理员可以进行信息的删除,对要删除的信息进行选中后,点击删除按钮,系统会询问是否确定,若点击确定,则系统会删除掉选中的信息,并在数据库内对信息进行删除,删除信息流程图如图4-8所示。

图4-8 删除信息流程图
4.4数据库设计
在进行数据库设计时,概念设计帮助明确系统的整体结构和需求。在这一阶段,需要确定实体、属性以及它们之间的关系,为后续的数据库表设计奠定基础。接下来,将深入探讨数据库表设计的具体细节,实现更高效的数据存储和管理。
4.4.1 概念设计
概念设计是数据库设计的第一步,其主要目标是对系统的数据需求进行全面的理解和抽象[11]。在这一阶段,通过建立实体-关系模型(ER模型)来识别系统中的关键实体、属性及其相互关系。概念设计的输出是一个清晰的ER图,作为后续数据库表设计的基础。以下将展示系统的全局E-R图。

图4-10数据库E-R图
4.4.2数据库表设计
这一阶段的重点是将概念模型转换为实际的数据库结构,包括表的创建、字段的定义及数据类型的选择。每个实体通常对应于数据库中的一张表,而实体的属性则转化为表的列[12]。以下是系统的数据库表设计展示。
表 4-1-access_token(登陆访问时长)
| 编号 | 字段名 | 类型 | 长度 | 是否非空 | 是否主键 | 注释 |
| 1 | token_id | int | 是 | 是 | 临时访问牌ID | |
| 2 | token | varchar | 64 | 否 | 否 | 临时访问牌 |
| 3 | info | text | 65535 | 否 | 否 | 信息 |
| 4 | maxage | int | 是 | 否 | 最大寿命:默认2小时 | |
| 5 | create_time | timestamp | 是 | 否 | 创建时间 | |
| 6 | update_time | timestamp | 是 | 否 | 更新时间 | |
| 7 | user_id | int | 是 | 否 | 用户编号 |
表 4-2-announcement_information(公告信息)
| 编号 | 字段名 | 类型 | 长度 | 是否非空 | 是否主键 | 注释 |
| 1 | announcement_information_id | int | 是 | 是 | 公告信息ID | |
| 2 | announcement_title | varchar | 64 | 否 | 否 | 公告标题 |
| 3 | notification_date | date | 否 | 否 | 通知日期 | |
| 4 | announcement_content | longtext | 4294967295 | 否 | 否 | 公告内容 |
| 5 | create_time | datetime | 是 | 否 | 创建时间 | |
| 6 | update_time | timestamp | 是 | 否 | 更新时间 |
表 4-3-auth(用户权限管理)
| 编号 | 字段名 | 类型 | 长度 | 是否非空 | 是否主键 | 注释 |
| 1 | auth_id | int | 是 | 是 | 授权ID | |
| 2 | user_group | varchar | 64 | 否 | 否 | 用户组 |
| 3 | mod_name | varchar | 64 | 否 | 否 | 模块名 |
| 4 | table_name | varchar | 64 | 否 | 否 | 表名 |
| 5 | page_title | varchar | 255 | 否 | 否 | 页面标题 |
| 6 | path | varchar | 255 | 否 | 否 | 路由路径 |
| 7 | parent | varchar | 64 | 否 | 否 | 父级菜单 |
| 8 | parent_sort | int | 是 | 否 | 父级菜单排序 | |
| 9 | position | varchar | 32 | 否 | 否 | 位置 |
| 10 | mode | varchar | 32 | 是 | 否 | 跳转方式 |
| 11 | add | tinyint | 是 | 否 | 是否可增加 | |
| 12 | del | tinyint | 是 | 否 | 是否可删除 | |
| 13 | set | tinyint | 是 | 否 | 是否可修改 | |
| 14 | get | tinyint | 是 | 否 | 是否可查看 | |
| 15 | field_add | text | 65535 | 否 | 否 | 添加字段 |
| 16 | field_set | text | 65535 | 否 | 否 | 修改字段 |
| 17 | field_get | text | 65535 | 否 | 否 | 查询字段 |
| 18 | table_nav_name | varchar | 500 | 否 | 否 | 跨表导航名称 |
| 19 | table_nav | varchar | 500 | 否 | 否 | 跨表导航 |
| 20 | option | text | 65535 | 否 | 否 | 配置 |
| 21 | create_time | timestamp | 是 | 否 | 创建时间 | |
| 22 | update_time | timestamp | 是 | 否 | 更新时间 |
表 4-4-code_token(验证码)
| 编号 | 字段名 | 类型 | 长度 | 是否非空 | 是否主键 | 注释 |
| 1 | code_token_id | int | 是 | 是 | 验证码ID | |
| 2 | token | varchar | 255 | 否 | 否 | 令牌 |
| 3 | code | varchar | 255 | 否 | 否 | 验证码 |
| 4 | expire_time | timestamp | 是 | 否 | 失效时间 | |
| 5 | create_time | timestamp | 是 | 否 | 创建时间 | |
| 6 | update_time | timestamp | 是 | 否 | 更新时间 |
表 4-5-customer_information(客户信息)
| 编号 | 字段名 | 类型 | 长度 | 是否非空 | 是否主键 | 注释 |
| 1 | customer_information_id | int | 是 | 是 | 客户信息ID | |
| 2 | customer_name | varchar | 64 | 是 | 是 | 客户名称 |
| 3 | customer_phone_number | varchar | 64 | 否 | 否 | 客户电话 |
| 4 | customer_address | varchar | 64 | 否 | 否 | 客户地址 |
| 5 | person_in_charge | varchar | 64 | 否 | 否 | 负责人 |
| 6 | business_scope | text | 65535 | 否 | 否 | 营业范围 |
| 7 | create_time | datetime | 是 | 否 | 创建时间 | |
| 8 | update_time | timestamp | 是 | 否 | 更新时间 |
表 4-6-equipment_information(设备信息)
| 编号 | 字段名 | 类型 | 长度 | 是否非空 | 是否主键 | 注释 |
| 1 | equipment_information_id | int | 是 | 是 | 设备信息ID | |
| 2 | equipment_number | varchar | 64 | 是 | 是 | 设备编号 |
| 3 | equipment_name | varchar | 64 | 否 | 否 | 设备名称 |
| 4 | equipment_type | varchar | 64 | 否 | 否 | 设备类型 |
| 5 | equipment_specifications | varchar | 64 | 否 | 否 | 设备规格 |
| 6 | equipment_status | varchar | 64 | 否 | 否 | 设备状态 |
| 7 | device_details | longtext | 4294967295 | 否 | 否 | 设备详情 |
| 8 | maintenance_record_limit_times | int | 是 | 否 | 记录维修限制次数 | |
| 9 | create_time | datetime | 是 | 否 | 创建时间 | |
| 10 | update_time | timestamp | 是 | 否 | 更新时间 |
表 4-7-finished_product_warehouse(成品仓库)
| 编号 | 字段名 | 类型 | 长度 | 是否非空 | 是否主键 | 注释 |
| 1 | finished_product_warehouse_id | int | 是 | 是 | 成品仓库ID | |
| 2 | product_code | varchar | 64 | 是 | 是 | 产品编号 |
| 3 | product_name | varchar | 64 | 否 | 否 | 产品名称 |
| 4 | product_specifications | varchar | 64 | 否 | 否 | 产品规格 |
| 5 | product_quantity | double | 否 | 否 | 产品数量 | |
| 6 | storage_temperature | varchar | 64 | 否 | 否 | 贮藏温度 |
| 7 | valid_until | date | 否 | 否 | 有效期至 | |
| 8 | product_sales_limit_times | int | 是 | 否 | 销售出库限制次数 | |
| 9 | create_time | datetime | 是 | 否 | 创建时间 | |
| 10 | update_time | timestamp | 是 | 否 | 更新时间 | |
| 11 | source_table | varchar | 255 | 否 | 否 | 来源表 |
| 12 | source_id | int | 否 | 否 | 来源ID | |
| 13 | source_user_id | int | 否 | 否 | 来源用户 |
表 4-8-hits(用户点击)
| 编号 | 字段名 | 类型 | 长度 | 是否非空 | 是否主键 | 注释 |
| 1 | hits_id | int | 是 | 是 | 点赞ID | |
| 2 | user_id | int | 是 | 否 | 点赞人 | |
| 3 | create_time | timestamp | 是 | 否 | 创建时间 | |
| 4 | update_time | timestamp | 是 | 否 | 更新时间 | |
| 5 | source_table | varchar | 255 | 否 | 否 | 来源表 |
| 6 | source_field | varchar | 255 | 否 | 否 | 来源字段 |
| 7 | source_id | int | 是 | 否 | 来源ID |
表 4-9-logistics_types(物流种类)
| 编号 | 字段名 | 类型 | 长度 | 是否非空 | 是否主键 | 注释 |
| 1 | logistics_types_id | int | 是 | 是 | 物流种类ID | |
| 2 | logistics_name | varchar | 64 | 否 | 否 | 物流名称 |
| 3 | average_temperature | double | 否 | 否 | 平均温度 | |
| 4 | create_time | datetime | 是 | 否 | 创建时间 | |
| 5 | update_time | timestamp | 是 | 否 | 更新时间 |
表 4-10-maintenance_record(维修记录)
| 编号 | 字段名 | 类型 | 长度 | 是否非空 | 是否主键 | 注释 |
| 1 | maintenance_record_id | int | 是 | 是 | 维修记录ID | |
| 2 | repair_number | varchar | 64 | 否 | 否 | 维修编号 |
| 3 | equipment_number | varchar | 64 | 否 | 否 | 设备编号 |
| 4 | equipment_name | varchar | 64 | 否 | 否 | 设备名称 |
| 5 | equipment_type | varchar | 64 | 否 | 否 | 设备类型 |
| 6 | equipment_specifications | varchar | 64 | 否 | 否 | 设备规格 |
| 7 | repair_date | date | 否 | 否 | 维修日期 | |
| 8 | team_name | varchar | 64 | 否 | 否 | 团队名称 |
| 9 | team_phone_number | varchar | 64 | 否 | 否 | 团队电话 |
| 10 | team_address | varchar | 64 | 否 | 否 | 团队地址 |
| 11 | person_in_charge | varchar | 64 | 否 | 否 | 负责人 |
| 12 | repair_content | longtext | 4294967295 | 否 | 否 | 维修内容 |
| 13 | record_employees | int | 否 | 否 | 记录员工 | |
| 14 | examine_state | varchar | 16 | 是 | 否 | 审核状态 |
| 15 | examine_reply | varchar | 16 | 否 | 否 | 审核回复 |
| 16 | create_time | datetime | 是 | 否 | 创建时间 | |
| 17 | update_time | timestamp | 是 | 否 | 更新时间 | |
| 18 | source_table | varchar | 255 | 否 | 否 | 来源表 |
| 19 | source_id | int | 否 | 否 | 来源ID | |
| 20 | source_user_id | int | 否 | 否 | 来源用户 |
表 4-11-maintenance_team(维修团队)
| 编号 | 字段名 | 类型 | 长度 | 是否非空 | 是否主键 | 注释 |
| 1 | maintenance_team_id | int | 是 | 是 | 维修团队ID | |
| 2 | team_name | varchar | 64 | 是 | 是 | 团队名称 |
| 3 | team_phone_number | varchar | 64 | 否 | 否 | 团队电话 |
| 4 | team_address | varchar | 64 | 否 | 否 | 团队地址 |
| 5 | person_in_charge | varchar | 64 | 否 | 否 | 负责人 |
| 6 | details_introduction | longtext | 4294967295 | 否 | 否 | 详情介绍 |
| 7 | create_time | datetime | 是 | 否 | 创建时间 | |
| 8 | update_time | timestamp | 是 | 否 | 更新时间 |
表 4-12-material_procurement(材料采购)
| 编号 | 字段名 | 类型 | 长度 | 是否非空 | 是否主键 | 注释 |
| 1 | material_procurement_id | int | 是 | 是 | 材料采购ID | |
| 2 | purchase_number | varchar | 64 | 否 | 否 | 采购编号 |
| 3 | material_number | varchar | 64 | 否 | 否 | 材料编号 |
| 4 | material_name | varchar | 64 | 否 | 否 | 材料名称 |
| 5 | material_type | varchar | 64 | 否 | 否 | 材料类型 |
| 6 | material_specifications | varchar | 64 | 否 | 否 | 材料规格 |
| 7 | purchase_quantity | double | 否 | 否 | 采购数量 | |
| 8 | purchase_unit_price | double | 否 | 否 | 采购单价 | |
| 9 | purchase_amount | double | 否 | 否 | 采购金额 | |
| 10 | purchase_date | date | 否 | 否 | 采购日期 | |
| 11 | responsible_for_employees | int | 否 | 否 | 负责员工 | |
| 12 | supplier_name | varchar | 64 | 否 | 否 | 供应商名称 |
| 13 | suppliers_phone_number | varchar | 64 | 否 | 否 | 供应商电话 |
| 14 | supplier_address | varchar | 64 | 否 | 否 | 供应商地址 |
| 15 | person_in_charge | varchar | 64 | 否 | 否 | 负责人 |
| 16 | product_staff | int | 否 | 否 | 产品员工 | |
| 17 | examine_state | varchar | 16 | 是 | 否 | 审核状态 |
| 18 | examine_reply | varchar | 16 | 否 | 否 | 审核回复 |
| 19 | material_testing_limit_times | int | 是 | 否 | 检测限制次数 | |
| 20 | material_storage_limit_times | int | 是 | 否 | 入库限制次数 | |
| 21 | create_time | datetime | 是 | 否 | 创建时间 | |
| 22 | update_time | timestamp | 是 | 否 | 更新时间 | |
| 23 | source_table | varchar | 255 | 否 | 否 | 来源表 |
| 24 | source_id | int | 否 | 否 | 来源ID | |
| 25 | source_user_id | int | 否 | 否 | 来源用户 |
表 4-13-material_storage(材料入库)
| 编号 | 字段名 | 类型 | 长度 | 是否非空 | 是否主键 | 注释 |
| 1 | material_storage_id | int | 是 | 是 | 材料入库ID | |
| 2 | purchase_number | varchar | 64 | 是 | 是 | 采购编号 |
| 3 | material_number | varchar | 64 | 否 | 否 | 材料编号 |
| 4 | material_name | varchar | 64 | 否 | 否 | 材料名称 |
| 5 | material_type | varchar | 64 | 否 | 否 | 材料类型 |
| 6 | material_specifications | varchar | 64 | 否 | 否 | 材料规格 |
| 7 | purchase_quantity | double | 否 | 否 | 采购数量 | |
| 8 | purchase_unit_price | double | 否 | 否 | 采购单价 | |
| 9 | purchase_amount | double | 否 | 否 | 采购金额 | |
| 10 | responsible_for_employees | int | 否 | 否 | 负责员工 | |
| 11 | supplier_name | varchar | 64 | 否 | 否 | 供应商名称 |
| 12 | suppliers_phone_number | varchar | 64 | 否 | 否 | 供应商电话 |
| 13 | supplier_address | varchar | 64 | 否 | 否 | 供应商地址 |
| 14 | person_in_charge | varchar | 64 | 否 | 否 | 负责人 |
| 15 | storage_date | date | 否 | 否 | 入库日期 | |
| 16 | product_staff | int | 否 | 否 | 产品员工 | |
| 17 | create_time | datetime | 是 | 否 | 创建时间 | |
| 18 | update_time | timestamp | 是 | 否 | 更新时间 | |
| 19 | source_table | varchar | 255 | 否 | 否 | 来源表 |
| 20 | source_id | int | 否 | 否 | 来源ID | |
| 21 | source_user_id | int | 否 | 否 | 来源用户 |
表 4-14-material_testing(材料检测)
| 编号 | 字段名 | 类型 | 长度 | 是否非空 | 是否主键 | 注释 |
| 1 | material_testing_id | int | 是 | 是 | 材料检测ID | |
| 2 | purchase_number | varchar | 64 | 是 | 是 | 采购编号 |
| 3 | material_number | varchar | 64 | 否 | 否 | 材料编号 |
| 4 | material_name | varchar | 64 | 否 | 否 | 材料名称 |
| 5 | material_type | varchar | 64 | 否 | 否 | 材料类型 |
| 6 | material_specifications | varchar | 64 | 否 | 否 | 材料规格 |
| 7 | purchase_quantity | double | 否 | 否 | 采购数量 | |
| 8 | purchase_unit_price | double | 否 | 否 | 采购单价 | |
| 9 | purchase_amount | double | 否 | 否 | 采购金额 | |
| 10 | responsible_for_employees | int | 否 | 否 | 负责员工 | |
| 11 | supplier_name | varchar | 64 | 否 | 否 | 供应商名称 |
| 12 | suppliers_phone_number | varchar | 64 | 否 | 否 | 供应商电话 |
| 13 | supplier_address | varchar | 64 | 否 | 否 | 供应商地址 |
| 14 | person_in_charge | varchar | 64 | 否 | 否 | 负责人 |
| 15 | testing_date | date | 否 | 否 | 检测日期 | |
| 16 | testing_attachments | varchar | 255 | 否 | 否 | 检测附件 |
| 17 | quality_inspection | varchar | 64 | 否 | 否 | 检测质量 |
| 18 | remarks_content | text | 65535 | 否 | 否 | 备注内容 |
| 19 | create_time | datetime | 是 | 否 | 创建时间 | |
| 20 | update_time | timestamp | 是 | 否 | 更新时间 | |
| 21 | source_table | varchar | 255 | 否 | 否 | 来源表 |
| 22 | source_id | int | 否 | 否 | 来源ID | |
| 23 | source_user_id | int | 否 | 否 | 来源用户 |
表 4-15-material_type(材料类型)
| 编号 | 字段名 | 类型 | 长度 | 是否非空 | 是否主键 | 注释 |
| 1 | material_type_id | int | 是 | 是 | 材料类型ID | |
| 2 | material_type | varchar | 64 | 否 | 否 | 材料类型 |
| 3 | create_time | datetime | 是 | 否 | 创建时间 | |
| 4 | update_time | timestamp | 是 | 否 | 更新时间 |
表 4-16-material_warehouse(材料仓库)
| 编号 | 字段名 | 类型 | 长度 | 是否非空 | 是否主键 | 注释 |
| 1 | material_warehouse_id | int | 是 | 是 | 材料仓库ID | |
| 2 | material_number | varchar | 64 | 是 | 是 | 材料编号 |
| 3 | material_name | varchar | 64 | 否 | 否 | 材料名称 |
| 4 | material_type | varchar | 64 | 否 | 否 | 材料类型 |
| 5 | material_specifications | varchar | 64 | 否 | 否 | 材料规格 |
| 6 | quantity_of_materials | double | 否 | 否 | 材料数量 | |
| 7 | storage_temperature | varchar | 64 | 否 | 否 | 贮藏温度 |
| 8 | material_details | longtext | 4294967295 | 否 | 否 | 材料详情 |
| 9 | product_warehouse_limit_times | int | 是 | 否 | 出库限制次数 | |
| 10 | create_time | datetime | 是 | 否 | 创建时间 | |
| 11 | update_time | timestamp | 是 | 否 | 更新时间 |
表 4-17-personal_notice(个人通知)
| 编号 | 字段名 | 类型 | 长度 | 是否非空 | 是否主键 | 注释 |
| 1 | personal_notice_id | int | 是 | 是 | 个人通知ID | |
| 2 | product_staff | int | 否 | 否 | 产品员工 | |
| 3 | production_staff | int | 否 | 否 | 生产员工 | |
| 4 | notification_date | date | 否 | 否 | 通知日期 | |
| 5 | notification_content | longtext | 4294967295 | 否 | 否 | 通知内容 |
| 6 | create_time | datetime | 是 | 否 | 创建时间 | |
| 7 | update_time | timestamp | 是 | 否 | 更新时间 |
表 4-18-production_monitoring(生产监控)
| 编号 | 字段名 | 类型 | 长度 | 是否非空 | 是否主键 | 注释 |
| 1 | production_monitoring_id | int | 是 | 是 | 生产监控ID | |
| 2 | operation_workshop | varchar | 64 | 否 | 否 | 运行车间 |
| 3 | plan_number | varchar | 64 | 否 | 否 | 计划编号 |
| 4 | product_name | varchar | 64 | 否 | 否 | 产品名称 |
| 5 | spending_materials | varchar | 64 | 否 | 否 | 花费材料 |
| 6 | product_specifications | varchar | 64 | 否 | 否 | 产品规格 |
| 7 | planned_output_quantity | varchar | 64 | 否 | 否 | 计划产出量 |
| 8 | operation_date | date | 否 | 否 | 运行日期 | |
| 9 | record_temperature | double | 否 | 否 | 记录温度 | |
| 10 | processing_time | double | 否 | 否 | 加工时长 | |
| 11 | sampling_frequency | double | 否 | 否 | 抽检次数 | |
| 12 | create_time | datetime | 是 | 否 | 创建时间 | |
| 13 | update_time | timestamp | 是 | 否 | 更新时间 | |
| 14 | source_table | varchar | 255 | 否 | 否 | 来源表 |
| 15 | source_id | int | 否 | 否 | 来源ID | |
| 16 | source_user_id | int | 否 | 否 | 来源用户 |
表 4-19-production_operation(生产运行)
| 编号 | 字段名 | 类型 | 长度 | 是否非空 | 是否主键 | 注释 |
| 1 | production_operation_id | int | 是 | 是 | 生产运行ID | |
| 2 | operation_workshop | varchar | 64 | 是 | 否 | 运行车间 |
| 3 | plan_number | varchar | 64 | 是 | 是 | 计划编号 |
| 4 | product_name | varchar | 64 | 否 | 否 | 产品名称 |
| 5 | spending_materials | varchar | 64 | 否 | 否 | 花费材料 |
| 6 | product_specifications | varchar | 64 | 否 | 否 | 产品规格 |
| 7 | planned_output_quantity | varchar | 64 | 否 | 否 | 计划产出量 |
| 8 | production_process | varchar | 64 | 否 | 否 | 生产工艺 |
| 9 | operation_date | date | 否 | 否 | 运行日期 | |
| 10 | remarks_content | text | 65535 | 否 | 否 | 备注内容 |
| 11 | production_monitoring_limit_times | int | 是 | 否 | 监控记录限制次数 | |
| 12 | create_time | datetime | 是 | 否 | 创建时间 | |
| 13 | update_time | timestamp | 是 | 否 | 更新时间 |
表 4-20-production_plan(生产计划)
| 编号 | 字段名 | 类型 | 长度 | 是否非空 | 是否主键 | 注释 |
| 1 | production_plan_id | int | 是 | 是 | 生产计划ID | |
| 2 | plan_number | varchar | 64 | 否 | 否 | 计划编号 |
| 3 | product_name | varchar | 64 | 否 | 否 | 产品名称 |
| 4 | spending_materials | varchar | 64 | 否 | 否 | 花费材料 |
| 5 | product_specifications | varchar | 64 | 否 | 否 | 产品规格 |
| 6 | planned_output_quantity | double | 否 | 否 | 计划产出量 | |
| 7 | production_process | varchar | 64 | 否 | 否 | 生产工艺 |
| 8 | date_of_manufacture | date | 否 | 否 | 生产日期 | |
| 9 | remarks_content | text | 65535 | 否 | 否 | 备注内容 |
| 10 | product_staff | int | 否 | 否 | 产品员工 | |
| 11 | production_staff | int | 否 | 否 | 生产员工 | |
| 12 | examine_state | varchar | 16 | 是 | 否 | 审核状态 |
| 13 | examine_reply | varchar | 16 | 否 | 否 | 审核回复 |
| 14 | production_records_limit_times | int | 是 | 否 | 执行生产限制次数 | |
| 15 | create_time | datetime | 是 | 否 | 创建时间 | |
| 16 | update_time | timestamp | 是 | 否 | 更新时间 |
表 4-21-production_records(生产记录)
| 编号 | 字段名 | 类型 | 长度 | 是否非空 | 是否主键 | 注释 |
| 1 | production_records_id | int | 是 | 是 | 生产记录ID | |
| 2 | product_code | varchar | 64 | 否 | 否 | 产品编号 |
| 3 | product_name | varchar | 64 | 否 | 否 | 产品名称 |
| 4 | spending_materials | varchar | 64 | 否 | 否 | 花费材料 |
| 5 | product_specifications | varchar | 64 | 否 | 否 | 产品规格 |
| 6 | remarks_content | text | 65535 | 否 | 否 | 备注内容 |
| 7 | production_staff | int | 否 | 否 | 生产员工 | |
| 8 | product_staff | int | 否 | 否 | 产品员工 | |
| 9 | storage_temperature | varchar | 64 | 否 | 否 | 贮藏温度 |
| 10 | product_quantity | double | 否 | 否 | 产品数量 | |
| 11 | valid_until | date | 否 | 否 | 有效期至 | |
| 12 | sampling_quantity | double | 否 | 否 | 抽查数量 | |
| 13 | qualified_quantity | double | 否 | 否 | 合格数量 | |
| 14 | qualification_rate | double | 否 | 否 | 合格率 | |
| 15 | material_processing | text | 65535 | 否 | 否 | 材料加工 |
| 16 | production_process | text | 65535 | 否 | 否 | 制作流程 |
| 17 | packaging_details | text | 65535 | 否 | 否 | 包装详情 |
| 18 | detecting_files | varchar | 255 | 否 | 否 | 检测文件 |
| 19 | examine_state | varchar | 16 | 是 | 否 | 审核状态 |
| 20 | examine_reply | varchar | 16 | 否 | 否 | 审核回复 |
| 21 | finished_product_warehouse_limit_times | int | 是 | 否 | 入库限制次数 | |
| 22 | create_time | datetime | 是 | 否 | 创建时间 | |
| 23 | update_time | timestamp | 是 | 否 | 更新时间 | |
| 24 | source_table | varchar | 255 | 否 | 否 | 来源表 |
| 25 | source_id | int | 否 | 否 | 来源ID | |
| 26 | source_user_id | int | 否 | 否 | 来源用户 |
表 4-22-production_staff(生产员工)
| 编号 | 字段名 | 类型 | 长度 | 是否非空 | 是否主键 | 注释 |
| 1 | production_staff_id | int | 是 | 是 | 生产员工ID | |
| 2 | employee_id | varchar | 64 | 是 | 是 | 员工工号 |
| 3 | employee_name | varchar | 64 | 否 | 否 | 员工姓名 |
| 4 | examine_state | varchar | 16 | 是 | 否 | 审核状态 |
| 5 | user_id | int | 是 | 否 | 用户ID | |
| 6 | create_time | datetime | 是 | 否 | 创建时间 | |
| 7 | update_time | timestamp | 是 | 否 | 更新时间 |
表 4-23-product_sales(产品销售)
| 编号 | 字段名 | 类型 | 长度 | 是否非空 | 是否主键 | 注释 |
| 1 | product_sales_id | int | 是 | 是 | 产品销售ID | |
| 2 | outbound_number | varchar | 64 | 否 | 否 | 出库编号 |
| 3 | product_code | varchar | 64 | 否 | 否 | 产品编号 |
| 4 | product_name | varchar | 64 | 否 | 否 | 产品名称 |
| 5 | product_specifications | varchar | 64 | 否 | 否 | 产品规格 |
| 6 | storage_temperature | varchar | 64 | 否 | 否 | 贮藏温度 |
| 7 | valid_until | date | 否 | 否 | 有效期至 | |
| 8 | sales_volumes | double | 否 | 否 | 销售数量 | |
| 9 | sales_unit_price | double | 否 | 否 | 销售单价 | |
| 10 | total_sales_amount | double | 否 | 否 | 销售总额 | |
| 11 | type_of_shipping | varchar | 64 | 否 | 否 | 运输方式 |
| 12 | sales_date | date | 否 | 否 | 销售日期 | |
| 13 | customer_name | varchar | 64 | 否 | 否 | 客户名称 |
| 14 | customer_phone_number | varchar | 64 | 否 | 否 | 客户电话 |
| 15 | customer_address | varchar | 64 | 否 | 否 | 客户地址 |
| 16 | person_in_charge | varchar | 64 | 否 | 否 | 负责人 |
| 17 | allow_maximum_temperature | double | 否 | 否 | 允许最高温 | |
| 18 | transportation_records_limit_times | int | 是 | 否 | 运输限制次数 | |
| 19 | create_time | datetime | 是 | 否 | 创建时间 | |
| 20 | update_time | timestamp | 是 | 否 | 更新时间 | |
| 21 | source_table | varchar | 255 | 否 | 否 | 来源表 |
| 22 | source_id | int | 否 | 否 | 来源ID | |
| 23 | source_user_id | int | 否 | 否 | 来源用户 |
表 4-24-product_staff(产品员工)
| 编号 | 字段名 | 类型 | 长度 | 是否非空 | 是否主键 | 注释 |
| 1 | product_staff_id | int | 是 | 是 | 产品员工ID | |
| 2 | employee_id | varchar | 64 | 是 | 是 | 员工工号 |
| 3 | employee_name | varchar | 64 | 否 | 否 | 员工姓名 |
| 4 | examine_state | varchar | 16 | 是 | 否 | 审核状态 |
| 5 | user_id | int | 是 | 否 | 用户ID | |
| 6 | create_time | datetime | 是 | 否 | 创建时间 | |
| 7 | update_time | timestamp | 是 | 否 | 更新时间 |
表 4-25-product_warehouse(材料出库)
| 编号 | 字段名 | 类型 | 长度 | 是否非空 | 是否主键 | 注释 |
| 1 | product_warehouse_id | int | 是 | 是 | 材料出库ID | |
| 2 | outbound_number | varchar | 64 | 否 | 否 | 出库编号 |
| 3 | material_number | varchar | 64 | 否 | 否 | 材料编号 |
| 4 | material_name | varchar | 64 | 否 | 否 | 材料名称 |
| 5 | material_type | varchar | 64 | 否 | 否 | 材料类型 |
| 6 | material_specifications | varchar | 64 | 否 | 否 | 材料规格 |
| 7 | outbound_quantity | double | 否 | 否 | 出库数量 | |
| 8 | production_staff | int | 否 | 否 | 生产员工 | |
| 9 | date_of_manufacture | date | 否 | 否 | 生产日期 | |
| 10 | remarks_content | text | 65535 | 否 | 否 | 备注内容 |
| 11 | create_time | datetime | 是 | 否 | 创建时间 | |
| 12 | update_time | timestamp | 是 | 否 | 更新时间 | |
| 13 | source_table | varchar | 255 | 否 | 否 | 来源表 |
| 14 | source_id | int | 否 | 否 | 来源ID | |
| 15 | source_user_id | int | 否 | 否 | 来源用户 |
表 4-26-schedule(日程管理)
| 编号 | 字段名 | 类型 | 长度 | 是否非空 | 是否主键 | 注释 |
| 1 | schedule_id | smallint | 是 | 是 | 日程ID | |
| 2 | content | varchar | 255 | 否 | 否 | 日程内容 |
| 3 | scheduled_time | datetime | 否 | 否 | 计划时间 | |
| 4 | user_id | int | 是 | 否 | 用户ID | |
| 5 | create_time | datetime | 否 | 否 | 创建时间 | |
| 6 | update_time | datetime | 否 | 否 | 更新时间 |
表 4-27-score(评分)
| 编号 | 字段名 | 类型 | 长度 | 是否非空 | 是否主键 | 注释 |
| 1 | score_id | int | 是 | 是 | 评分ID | |
| 2 | user_id | int | 是 | 否 | 评分人 | |
| 3 | nickname | varchar | 64 | 否 | 否 | 昵称 |
| 4 | score_num | double | 是 | 否 | 评分 | |
| 5 | create_time | timestamp | 是 | 否 | 创建时间 | |
| 6 | update_time | timestamp | 是 | 否 | 更新时间 | |
| 7 | source_table | varchar | 255 | 否 | 否 | 来源表 |
| 8 | source_field | varchar | 255 | 否 | 否 | 来源字段 |
| 9 | source_id | int | 是 | 否 | 来源ID |
表 4-28-supplier(供应商)
| 编号 | 字段名 | 类型 | 长度 | 是否非空 | 是否主键 | 注释 |
| 1 | supplier_id | int | 是 | 是 | 供应商ID | |
| 2 | supplier_name | varchar | 64 | 是 | 是 | 供应商名称 |
| 3 | suppliers_phone_number | varchar | 64 | 否 | 否 | 供应商电话 |
| 4 | supplier_address | varchar | 64 | 否 | 否 | 供应商地址 |
| 5 | person_in_charge | varchar | 64 | 否 | 否 | 负责人 |
| 6 | scope_of_supply | text | 65535 | 否 | 否 | 供应范围 |
| 7 | material_procurement_limit_times | int | 是 | 否 | 材料采购限制次数 | |
| 8 | create_time | datetime | 是 | 否 | 创建时间 | |
| 9 | update_time | timestamp | 是 | 否 | 更新时间 |
表 4-29-transportation_records(运输记录)
| 编号 | 字段名 | 类型 | 长度 | 是否非空 | 是否主键 | 注释 |
| 1 | transportation_records_id | int | 是 | 是 | 运输记录ID | |
| 2 | outbound_number | varchar | 64 | 是 | 是 | 出库编号 |
| 3 | product_code | varchar | 64 | 否 | 否 | 产品编号 |
| 4 | product_name | varchar | 64 | 否 | 否 | 产品名称 |
| 5 | product_specifications | varchar | 64 | 否 | 否 | 产品规格 |
| 6 | storage_temperature | varchar | 64 | 否 | 否 | 贮藏温度 |
| 7 | valid_until | date | 否 | 否 | 有效期至 | |
| 8 | sales_volumes | double | 否 | 否 | 销售数量 | |
| 9 | sales_unit_price | double | 否 | 否 | 销售单价 | |
| 10 | total_sales_amount | double | 否 | 否 | 销售总额 | |
| 11 | type_of_shipping | varchar | 64 | 否 | 否 | 运输方式 |
| 12 | sales_date | date | 否 | 否 | 销售日期 | |
| 13 | customer_name | varchar | 64 | 否 | 否 | 客户名称 |
| 14 | customer_phone_number | varchar | 64 | 否 | 否 | 客户电话 |
| 15 | customer_address | varchar | 64 | 否 | 否 | 客户地址 |
| 16 | person_in_charge | varchar | 64 | 否 | 否 | 负责人 |
| 17 | allow_maximum_temperature | double | 否 | 否 | 允许最高温 | |
| 18 | logistics_name | varchar | 64 | 否 | 否 | 物流名称 |
| 19 | average_temperature | varchar | 64 | 否 | 否 | 平均温度 |
| 20 | create_time | datetime | 是 | 否 | 创建时间 | |
| 21 | update_time | timestamp | 是 | 否 | 更新时间 | |
| 22 | source_table | varchar | 255 | 否 | 否 | 来源表 |
| 23 | source_id | int | 否 | 否 | 来源ID | |
| 24 | source_user_id | int | 否 | 否 | 来源用户 |
表 4-30-upload(文件上传)
| 编号 | 字段名 | 类型 | 长度 | 是否非空 | 是否主键 | 注释 |
| 1 | upload_id | int | 是 | 是 | 上传ID | |
| 2 | name | varchar | 64 | 否 | 否 | 文件名 |
| 3 | path | varchar | 255 | 否 | 否 | 访问路径 |
| 4 | file | varchar | 255 | 否 | 否 | 文件路径 |
| 5 | display | varchar | 255 | 否 | 否 | 显示顺序 |
| 6 | father_id | int | 否 | 否 | 父级ID | |
| 7 | dir | varchar | 255 | 否 | 否 | 文件夹 |
| 8 | type | varchar | 32 | 否 | 否 | 文件类型 |
表 4-31-user(用户账户)
| 编号 | 字段名 | 类型 | 长度 | 是否非空 | 是否主键 | 注释 |
| 1 | user_id | int | 是 | 是 | 用户ID | |
| 2 | state | smallint | 是 | 否 | 账户状态:(1可用|2异常|3已冻结|4已注销) | |
| 3 | user_group | varchar | 32 | 否 | 否 | 所在用户组 |
| 4 | login_time | timestamp | 是 | 否 | 上次登录时间 | |
| 5 | phone | varchar | 11 | 否 | 否 | 手机号码 |
| 6 | phone_state | smallint | 是 | 否 | 手机认证:(0未认证|1审核中|2已认证) | |
| 7 | username | varchar | 16 | 是 | 否 | 用户名 |
| 8 | nickname | varchar | 16 | 否 | 否 | 昵称 |
| 9 | password | varchar | 64 | 是 | 否 | 密码 |
| 10 | | varchar | 64 | 否 | 否 | 邮箱 |
| 11 | email_state | smallint | 是 | 否 | 邮箱认证:(0未认证|1审核中|2已认证) | |
| 12 | avatar | varchar | 255 | 否 | 否 | 头像地址 |
| 13 | open_id | varchar | 255 | 否 | 否 | 针对获取用户信息字段 |
| 14 | create_time | timestamp | 是 | 否 | 创建时间 |
表 4-32-user_group(用户组)
| 编号 | 字段名 | 类型 | 长度 | 是否非空 | 是否主键 | 注释 |
| 1 | group_id | mediumint | 是 | 是 | 用户组ID | |
| 2 | display | smallint | 是 | 否 | 显示顺序 | |
| 3 | name | varchar | 16 | 是 | 否 | 名称 |
| 4 | description | varchar | 255 | 否 | 否 | 描述 |
| 5 | source_table | varchar | 255 | 否 | 否 | 来源表 |
| 6 | source_field | varchar | 255 | 否 | 否 | 来源字段 |
| 7 | source_id | int | 是 | 否 | 来源ID | |
| 8 | register | smallint | 否 | 否 | 注册位置 | |
| 9 | create_time | timestamp | 是 | 否 | 创建时间 | |
| 10 | update_time | timestamp | 是 | 否 | 更新时间 |
5系统实现
5.1系统用户功能实现
点击“系统用户”菜单,管理员可以管理用户信息,能够查看、修改和删除系统中的生产员工和产品员工账户信息。用户管理页面如图5-1所示。

图5-1用户管理界面图
5.2生产计划管理功能实现
点击系统导航栏上的“生产计划管理”菜单按钮,生产员工可以根据生产需求制定详细的生产计划,计划生产后由产品员工或者管理员进行审批。生产员工生成生产计划页面如图5-2所示。产品员工生产计划列表页面如图5-3所示。

图5-2生产员工生成生产计划界面图

图5-3产品员工生产计划列表界面图
5.3材料采购管理功能实现
点击系统导航栏上的“材料采购管理”菜单按钮,产品员工可以录入材料采购清单,采购单生成后由生产员工进行审核和出质检报告。产品员工录入材料采购信息页面如图5-4所示。生产员工审核采购清单页面如图5-5所示。

图5-4产品员工录入材料采购信息界面图

图5-5生产员工审核采购清单界面图
5.4生产记录管理功能实现
点击系统导航栏上的“生产记录管理”菜单按钮,生产员工可以记录生产过程中的每一项数据,包含生产日期、产品批次、操作员等信息。产品员工可以查看和审核生产员工提交的生产记录。产品员工生产记录列表页面如图5-6所示。

图5-6产品员工生产记录列表界面图
5.5供应商管理功能实现
点击系统导航栏上的“供应商管理”菜单按钮,管理员可以对供应商信息进行增删改查等操作,生产员工和产品员工都可以查看。供应商添加页面如图5-7所示。

图5-7供应商添加界面图
5.6客户信息管理功能实现
点击系统导航栏上的“客户信息管理”菜单按钮,管理员可以对客户信息进行增删改查等操作,生产员工和产品员工都可以查看。客户信息添加页面如图5-8所示。

图5-8客户信息添加界面图
5.7设备信息管理功能实现
点击系统导航栏上的“设备信息管理”菜单按钮,管理员可以对设备信息进行增删改查等操作,生产员工和产品员工都可以查看。设备信息添加页面如图5-9所示。

图5-9设备信息添加界面图
5.8公告信息管理功能实现
点击系统导航栏上的“公告信息管理”菜单按钮,管理员可以对公告信息进行增删改查等操作,生产员工和产品员工都可以查看。公告信息添加页面如图5-10所示。

图5-10公告信息添加界面图
5.9个人通知管理功能实现
点击系统导航栏上的“个人通知管理”菜单按钮,管理员可以向生产员工和产品员工发送工作相关的通知,生产员工和产品员工都可以查看。个人通知添加页面如图5-11所示。

图5-11个人通知添加界面图
5.10维修记录管理功能实现
点击系统导航栏上的“维修记录管理”菜单按钮,产品员工可以记录设备的维修记录。管理员可以查看和审核维修记录。产品员工维修记录页面如图5-12所示。管理员维修记录列表页面如图5-13所示。

图5-12产品员工维修记录界面图

图5-13管理员维修记录列表界面图
6系统测试
6.1测试目的
测试的主要目的是确保系统的功能和性能满足预期的需求,同时识别和修复潜在的缺陷。通过系统测试,可以验证各个功能模块的正确性和稳定性,确保系统在不同使用场景下的表现符合设计要求。测试目的包括确认系统功能的完整性、验证数据处理的准确性、评估系统的性能和安全性。测试还可以提高用户满意度,保证用户在使用系统时获得流畅和可靠的体验。通过全面的测试,可以降低后期维护成本,减少系统上线后出现故障的风险,从而保障系统的长期稳定运行。
6.2测试方法
在本系统中,测试方法主要依赖于测试用例的设计与执行。测试用例是根据系统需求文档编写的,覆盖所有功能模块及其边界情况。每个测试用例包含输入数据、预期结果和实际结果的对比,以验证系统的功能是否按预期工作。
常见的测试用例包括功能测试用例、边界测试用例和异常测试用例[13]。功能测试用例针对系统的各项功能进行验证;边界测试用例则侧重于输入数据的边界条件,验证系统在极端情况下是否能够稳定运行;异常测试用例则用于验证系统在处理错误输入或异常情况时的反应。本文选择功能测试用例进行系统测试。
在测试执行过程中,记录每个用例的执行结果,并根据实际结果与预期结果的对比,判断系统是否存在缺陷。通过系统化的测试用例执行,可以有效提高测试的覆盖率和效率,为系统的最终上线提供保障。
6.3测试内容
通过对系统中所含的主要实体对象及其功能操作进行测试用例设计。以下是详细的测试:
表6-1用户注册登录测试表
用户注册登录测试用例:
| 用例说明 | 测试目的 | 测试步骤 | 预期结果 | 输出结果 | 通过情况 |
| 用户注册、登录 | 测试用户正确注册、登录 |
| 用户注册成功,登录成功 | 结果输出符合预期 | 通过 |
表6-2生产计划生成测试表
生产计划生成用例:
| 用例说明 | 测试目的 | 测试步骤 | 预期结果 | 输出结果 | 通过情况 |
| 生产计划生成 | 测试生产员工生产计划生成功能 |
| 用户生产计划生成成功,生成生产计划信息列表 | 结果输出符合预期 | 通过 |
表6-3生产计划审批测试表
生产计划审批测试用例:
| 用例说明 | 测试目的 | 测试步骤 | 预期结果 | 输出结果 | 通过情况 |
| 生产计划审批 | 测试产品员工生产计划审批功能 | 1、点击导航栏“生产计划管理”,进入生产计划列表页; 2、点击“审批”,输入审批状态和结果点击提交 | 生成新的审批信息列表 | 结果输出符合预期 | 通过 |
表6-4设备信息添加测试表
管理员设备信息添加测试用例:
| 用例说明 | 测试目的 | 测试步骤 | 预期结果 | 输出结果 | 通过情况 |
| 设备信息添加测试 | 测试管理员添加设备信息功能 |
| 设备信息添加成功,生成设备信息列表 | 结果输出符合预期 | 通过 |
6.4测试结论
经过上述测试,并对测试数据结果综合分析。三餐悦味预制菜工厂管理系统具备简便,数据透明等特性。完全符合三餐悦味预制菜工厂管理系统的要求。
结 论
本文设计并实现的三餐悦味预制菜工厂管理系统,通过基于Spring Boot框架、Java语言和MySQL数据库的技术架构,成功为预制菜工厂提供了一个全面、高效的后台管理平台。系统涵盖了生产员工、产品员工和管理员的不同角色需求,整合了材料管理、生产计划、产品销售、设备管理、通知管理等多项功能模块,有效提升了工厂的生产效率、资源管理水平和产品质量控制能力。
通过材料管理模块的实时库存监控和预警提醒,确保了原材料的及时供应,避免了因材料短缺而影响生产进度。生产计划的审核流程和生产记录的实时跟踪,使得生产过程更加规范化、透明化,并能够及时发现并解决生产中的问题。成品仓库管理和客户信息管理功能,有效地提高了产品的出库效率和客户服务的质量,确保了市场需求的快速响应。
设备管理模块通过对设备信息、维修记录和维修团队的有效管理,保障了生产设备的正常运行,减少了设备故障对生产的影响。通知管理模块则为工厂内的各类人员提供了及时的工作通知和公告,提升了团队的协作效率。
此外,管理员通过系统提供的高级功能,如用户管理、物流管理、生产运行管理等,能够全面掌控工厂的运营状况,进行有效的资源调配和生产监控,保证了整个生产流程的顺畅和工厂资源的优化利用。
综上所述,三餐悦味预制菜工厂管理系统通过实现智能化的生产和管理流程,提升了工厂的运营效率和产品质量,减少了人工干预和管理成本。系统不仅满足了当前工厂管理的需求,也具备良好的可扩展性和适应性,能够随着业务的发展和需求的变化不断优化和升级。未来,随着技术的进一步发展,该系统有望进一步提升工厂的自动化水平,并为行业内其他企业提供参考和借鉴,具有较大的应用价值和推广前景。
参考文献
- 冯志林.Java EE程序设计与开发实践教程[M].机械工业出版社:202105.353.
- 尹应荆.JAVA编程语言在计算机软件开发中的应用[J].石河子科技,2023,(05):45-47.
- 刘江涛,王亮亮,吴庆茹,等.基于B/S模式的铁路勘测设计案例信息化管理系统设计与实现[J].铁路计算机应用,2021,30(03):32-35.
- 张丹丹,李弘.基于B/S架构的办公管理系统设计与开发[J].铁路通信信号工程技术,2024,21(09):44-48+106.
- 王志亮,纪松波.基于SpringBoot的Web前端与数据库的接口设计[J].工业控制计算机,2023,36(03):51-53.
- 熊永平.基于SpringBoot框架应用开发技术的分析与研究[J].电脑知识与技术,2021,15(36):76-77.
- 赵媛.基于Vue的Web系统前端性能优化分析[J].电脑编程技巧与维护,2024,(09):44-46.
- 秦冬.浅析Vue框架在前端开发中的应用[J].信息与电脑(理论版),2024,36(13):61-63.
- 李艳杰.MySQL数据库下存储过程的综合运用研究[J].现代信息科技,2023,7(11):80-82+88.
- 陈倩怡,何军.Vue+Springboot+MyBatis技术应用解析[J].电脑编程技巧与维护,2020,(01):14-15+28.
- 周晓玉,崔文超.基于Web技术的数据库应用系统设计[J].信息与电脑(理论版),2023,35(09):189-191.
- 马艳艳,吴晓光.计算机软件与数据库的设计策略分析[J].电子技术,2024,53(05):104-105.
- 李俊萌.计算机软件测试技术与开发应用策略分析[J].信息记录材料,2023,24(03):50-52.
- MoodleyD ,OosthuizenR .A framework for developing systems engineering management for process plant acquisition projects[J].Systems Engineering,2024,28(1):45-57.
- 郑菲菲.智能工厂云MES质量管理系统研发[D].西南科技大学,2024.DOI:10.27415/d.cnki.gxngc.2024.000677.
- 赵全海,王力.智能化背景下工厂生产运行管理系统设计[J].今日制造与升级,2024,(05):133-135.
- Yang C ,Ren X ,Zhao Y .A Factory Management System Based on Digital Twin Platform and Methodology[J].Industrial Engineering and Innovation Management,2024,7(2):
- 贾太森.食用菌工厂化生产管理系统零代码构建平台设计与实现[D].山东农业大学,2024.DOI:10.27277/d.cnki.gsdnu.2024.000825.
- 刘双飞.嘉和工业智慧工厂生产管理系统应用分析[J].安徽建筑,2024,31(01):89-90.DOI:10.16330/j.cnki.1007-7359.2024.1.033.
- Riho Y ,Shinya S ,Hajime U .Data management system for the plant data in JT-60SA[J].Fusion Engineering and Design,2023,190
致 谢
本论文的完成离不开众多导师、同学以及亲友的支持与帮助。在此,首先向我的导师表示最诚挚的感谢。在整个研究和写作过程中,导师以严谨治学的态度和丰富的专业知识给予了我无私的指导,从论文选题到最终定稿的每一个环节,都为我提供了宝贵的建议与意见,使我得以不断完善研究内容、拓展学术视野。导师耐心细致的指导不仅帮助我解决了许多学术难题,也让我在研究能力与学术写作方面得到了显著的提升。导师的鼓励与支持是我完成这篇论文的重要动力,也让我深刻体会到学术研究的严谨性与意义。
我还要感谢在学习生活中给予我帮助和支持的同学、朋友以及家人。论文撰写过程中,许多同学与我共同探讨问题,分享经验与资料,使我的研究更加全面深入。朋友们的关心和陪伴让我在繁忙的研究过程中能够调节心情,保持良好的状态。特别感谢我的家人,他们始终给予我无条件的理解和支持,为我创造了安心学习与研究的环境。正是因为有了大家的帮助和支持,我才能克服论文写作中的重重困难并顺利完成。再次向所有支持和帮助过我的人表达衷心的感谢。
827

被折叠的 条评论
为什么被折叠?



