摘 要
随着旅游业的快速发展,游客在选择景区时面临的信息量不断增加,而传统的景区推荐方式已难以满足个性化和精准化的需求。因此,如何根据游客的偏好与需求,为其提供高效、便捷的景区推荐服务成为一个亟待解决的问题。
本论文基于这一背景,设计并实现了一款景区智能推荐APP。通过采用Django框架与Python语言开发,结合MySQL数据库,利用大数据分析和智能推荐算法,平台能够为游客提供个性化的景区推荐服务。本研究首先对游客在选择景区过程中涉及的需求进行深入调研,分析了景区类型、游玩项目、交通便利性、门票价格等方面的考量,以及景区在宣传推广中的需求。随后,设计了信息整合、智能推荐、搜索、实时信息与社交互动等功能模块,通过大数据存储和分析技术,智能推荐系统能够根据用户的地理位置、兴趣偏好及历史行为数据,精准推荐符合需求的景区。同时,平台还通过社交互动功能,增强了用户与平台的互动性。经过测试,APP在各项功能表现上均达到了预期目标,并展现出较高的实用性和应用前景。该系统不仅提升了游客的出行体验,也为景区推广提供了新的思路。
关键词:景区智能推荐、Python、MySQL、移动APP设计
ABSTRACT
With the rapid development of the tourism industry, tourists face an increasing amount of information when choosing scenic spots, and traditional scenic spot recommendation methods are no longer able to meet the needs of personalization and precision. Therefore, how to provide efficient and convenient scenic spot recommendation services based on tourists' preferences and needs has become an urgent problem to be solved.
Based on this background, this paper designs and implements an intelligent recommendation app for scenic spots. By using the Django framework and Python language for development, combined with MySQL database, and utilizing big data analysis and intelligent recommendation algorithms, the platform can provide personalized scenic spot recommendation services for tourists. This study first conducted in-depth research on the needs of tourists in the process of choosing scenic spots, analyzing considerations such as scenic spot types, attractions, transportation convenience, ticket prices, as well as the needs of scenic spots in promotion and advertising. Subsequently, functional modules such as information integration, intelligent recommendation, search, real-time information and social interaction were designed. Through big data storage and analysis technology, the intelligent recommendation system can accurately recommend scenic spots that meet the needs of users based on their geographical location, interest preferences, and historical behavior data. At the same time, the platform also enhances the interaction between users and the platform through social interaction functions. After testing, the APP has achieved the expected performance in various functions and demonstrated high practicality and application prospects. This system not only enhances the travel experience for tourists, but also provides new ideas for promoting scenic spots.
Keywords: intelligent recommendation for scenic spots Python、MySQL、 Mobile APP design
第1章引言
1.1选题背景
随着经济发展和生活水平的提高,旅游业在全球经济中占据重要地位,尤其是在中国,游客数量逐年增加,旅游需求从单一的观光型向多样化、个性化转变。随着移动互联网的普及,游客越来越依赖在线平台进行景区选择[1]。然而,传统的推荐方式存在信息过载、推荐不精准等问题,无法满足游客的个性化需求。
目前,大多数旅游平台缺乏智能推荐功能,未能综合考虑游客的兴趣、出行时间及交通便利性等因素。游客在面对大量信息时常感困惑,缺少高效的推荐手段。智能推荐系统通过分析用户历史行为和偏好,能够提供个性化、精准的景区推荐,提升游客体验[2]。
基于此,本文设计了一款景区智能推荐APP,利用大数据和人工智能技术,结合用户行为分析和地理位置服务,为游客提供个性化推荐。这不仅能改善游客的出行体验,还能为景区推广提供新的思路,推动旅游行业的智能化发展[3]。
1.2研究目标和意义
本研究的主要目标是设计并实现一款基于大数据分析的景区推荐APP,利用用户历史行为、兴趣偏好和地理位置信息,提供个性化的景区推荐服务。通过对游客需求的深入分析,系统将精准推送符合用户需求的景区信息,优化游客的选择过程[4]。此外,研究还将加强APP的互动性,加入社交功能,如游客评价与分享,提升用户参与感与平台粘性,从而让用户不仅能获得精准推荐,还能通过互动功能增进旅行体验。
本研究在理论和实践方面均具有显著意义。理论上,研究为旅游推荐系统的设计提供了新的思路,突破了传统静态推荐模式,通过结合大数据技术和APP的便捷性,提供更加精准和个性化的推荐方案[5]。实践中,所设计的APP不仅能够提升游客的出行体验,帮助其快速找到符合兴趣的景区,同时通过社交互动功能促进用户之间的信息交流与分享,增强了用户粘性和APP的市场竞争力。该系统的推广有望推动旅游行业向智能化、个性化的方向发展。
1.3研究思路
本研究的核心思路是通过需求分析、数据采集、推荐系统设计以及APP开发与优化等步骤,构建一款基于大数据分析的景区推荐APP。研究将深入分析目标用户的需求,了解游客在选择景区时的兴趣、偏好以及出行条件,进而规划APP的主要功能模块,包括个性化推荐、景区搜索、用户评价和社交互动等[6]。通过收集游客的历史行为数据(如浏览记录、搜索偏好、地理位置)和景区的相关信息,分析游客的兴趣特征,构建推荐规则与模型,实现精准推送符合用户需求的景区信息。推荐系统依托大数据技术,以用户的需求为基础,确保推荐结果的实时性和个性化。APP的开发将基于Django框架和Python语言,后端使用MySQL数据库进行数据存储与管理,前端则注重简洁高效的用户界面和流畅的交互设计[7]。社交功能的加入使用户能够分享旅游经历、查看他人评价,从而增强平台的互动性和用户粘性。通过多轮的系统测试和用户反馈,研究将不断优化推荐算法和功能设计,提升用户体验,并确保推荐服务的高效性与准确性[7]。
第2章 相关技术介绍
2.1python语言
Python 是一种广泛应用的高级编程语言,以其简洁直观的语法、强大且丰富的标准库和第三方库、以及良好的跨平台兼容性而深受开发者喜爱。作为解释型语言,Python 允许代码逐行执行,无需事先编译,从而极大地提升了开发的灵活性和调试的便捷性。Python 支持多种编程范式,包括面向对象编程和函数式编程,这使得开发者可以根据项目需求选择合适的编程风格。其动态类型系统进一步增加了编写代码的灵活性,尽管这也要求开发者更加谨慎地处理数据类型。
Python 在数据科学、人工智能、Web 开发、自动化脚本等众多领域都有着广泛的应用,得益于其庞大的第三方库生态,如 NumPy 和 Pandas 用于数据处理,TensorFlow 和 PyTorch 用于机器学习,Django 和 Flask 用于 Web 开发。强大的社区支持使得开发者能够方便地获取学习资源、解决开发难题,并参与到开源项目的贡献中。综合这些特点,Python 无论是对编程新手还是经验丰富的开发者,都是一个功能强大且灵活的工具,广泛适用于各类编程任务。
2.2Django框架
Django 是一个功能强大的开源 Python Web 开发框架,以 "快速开发" 和 "遵循最佳实践" 为设计核心。它提供了诸如自动化管理后台、强大的 ORM 系统和灵活的 URL 路由等内置功能,使得开发者可以快速构建和扩展 Web 应用。Django 遵循 "Don't Repeat Yourself"(DRY) 原则,减少代码重复,提高代码的可维护性。此外,Django 默认集成了多种安全措施,防范常见的 Web 安全风险。借助其丰富的第三方库和模板系统,Django 适用于从简单项目到复杂应用的开发需求,同时还拥有广泛的社区支持和详细的官方文档,是 Web 开发的理想选择。
2.3MySQL数据库
MySQL 是一个广泛使用的开源关系型数据库管理系统,以其高性能、稳定性和易用性而著称。它支持复杂的查询和事务处理,广泛应用于各种规模的 Web 应用程序中。MySQL 提供了丰富的数据类型和存储引擎选项,允许开发者根据需求选择合适的存储方式。此外,MySQL 的跨平台特性和强大的复制、备份功能,使其成为企业级应用中数据管理的可靠选择。凭借活跃的社区支持和详细的文档,MySQL 适合从中小型项目到大型复杂系统的数据库需求。
2.4 推荐算法
景区推荐系统将基于大数据分析技术,结合用户的历史行为、偏好数据和地理位置进行个性化推荐。采用基于协同过滤和内容推荐的混合推荐算法。协同过滤算法通过分析用户之间的相似性,推测用户可能感兴趣的景区;内容推荐算法则基于景区的特征(如类型、位置、价格等)与用户历史偏好进行匹配。通过结合两种算法,能够提高推荐的准确性和多样性。
Android 是一种基于 Linux 内核的开源操作系统,广泛用于智能手机、平板电脑及其他移动设备。它由 Google 主导开发,并提供了一个丰富的开发环境,支持开发者通过 Java 和 Kotlin 等编程语言创建原生应用程序[8]。Android 提供了丰富的 API 和开发工具,开发者可以使用 Android Studio 集成开发环境(IDE)进行应用开发,简化了UI设计、性能调优和设备测试。
在 Android 开发中,应用通常由多个活动(Activity)组成,每个活动对应应用的一个界面,开发者通过布局文件(XML)和控件(如按钮、文本框等)来设计用户界面[9]。通过 Android SDK 提供的各种 API,开发者可以实现网络请求、数据库操作、文件存储等功能,同时通过 Google Play 商店发布和分发应用。
Android 系统支持多任务管理、通知栏、后台服务等功能,能够帮助开发者创建响应快速且功能强大的移动应用。得益于其开源和灵活的特点,Android 已成为全球最流行的操作系统之一[10]。
第3章 系统分析
3.1可行性分析
可行性分析是对一个项目在技术、经济、操作等方面的全面评估,能判断项目是否可行以及成功的可能性。
3.1.1经济可行性分析
从经济角度来看,本项目成本较低。Django和MySQL都是开源免费技术,Python也无需支付许可费用。可以使用低成本或免费的云服务器进行APP的部署,减少初期的硬件投入。随着用户量的增加,云服务可按需扩展,避免了高额的固定成本。因此,本项目经济上具有可行性。
3.1.2技术可行性分析
本项目采用Django、MySQL和Python技术栈,适用于开发景区智能推荐APP。Django作为Python的主流框架,功能完备,能够快速搭建后端服务,满足推荐算法和数据存储需求。MySQL数据库稳定可靠,能够高效管理APP中的大量景区数据和用户信息。Python语言适合进行数据分析和算法开发,能够支持APP的智能推荐功能。综合来看,技术栈能够满足景区智能推荐APP的开发需求,确保系统的稳定性和扩展性。
3.1.3操作可行性分析
Django的简洁性和高效集成性使得景区智能推荐APP的开发和维护变得简单。Python语言易于上手,MySQL数据库操作简便,能够满足APP的数据管理需求。整个系统可以按阶段进行开发和优化,APP的部署和后期维护也相对容易。因此,本项目在操作层面具备较高的可行性,能够顺利开发并上线景区智能推荐APP。
3.2系统功能需求分析
本节主要对景区智能推荐APP的功能需求进行分析,明确系统应实现的核心功能,以便为后续的系统设计和开发提供参考。
- 用户管理功能:系统实现用户注册、登录、个人信息管理等基本功能。用户可以通过邮箱、手机号码注册并登录APP。在登录后,用户可以查看和修改个人信息(如用户名、头像、联系方式等)。此外,系统需要支持用户密码重置功能,以保障用户账户的安全性。
- 景区推荐:APP的核心功能,系统应根据用户的兴趣、历史行为、评分等信息进行个性化推荐。推荐算法可以包括基于内容的推荐、协同过滤推荐等。用户可以通过选择兴趣类别(如自然风光、历史遗迹等)来筛选推荐的景区,并根据评分、距离等条件进行排序。此外,推荐结果应根据用户的地理位置动态更新,推荐离用户较近的景区。
- 景区详情功能:每个景区都应有详细的信息页面,展示景区的基本信息、评分、游客评价、门票价格、开放时间等内容。用户可以查看其他游客的评价和图片,帮助其做出决策。此外,系统还应提供景区地图和交通信息,方便用户规划行程。
- 行程规划功能:用户可以通过APP进行景区行程规划,选择多个推荐的景区并安排游览顺序。系统应支持展示景区的最佳游览路线,计算预计的游览时间和距离。用户可以保存自己的行程计划,并进行修改或删除。
- 评价与反馈功能:用户可以对游玩的景区进行评价,提供评分和文字反馈,帮助其他用户选择景区。同时,系统应支持用户对APP使用过程中遇到的问题进行反馈,开发者可以根据反馈进行产品优化和改进。
- 搜索功能:为了提高用户体验,系统应提供强大的搜索功能,支持按景区名称、类型、位置等多个维度进行搜索。搜索结果应支持筛选和排序,帮助用户快速找到符合需求的景区。
- 数据统计与分析功能:系统应具备后台数据统计和分析功能,对用户行为、景区推荐效果等进行监控。通过数据分析,能够不断优化推荐算法和提升系统性能,以提供更加个性化的推荐服务。
- 后台管理功能:后台管理系统能够帮助管理员管理用户信息、景区数据、评论等内容。管理员可以通过后台对景区信息进行编辑、删除或更新,并对用户的评论进行审核,保障平台内容的准确性和健康性。
3.3 业务流程分析
3.3.1 系统开发流程
系统开发流程包括需求分析、系统设计、开发与编码、测试、部署与实施以及维护与更新。在需求分析阶段,首先明确系统的需求和功能,并形成需求规格说明书。系统设计则分为高层设计和详细设计,确定系统的总体架构和具体实现方案。本系统开发流程图如图3-1所示。

图3-1 系统开发流程图
3.3.2程序操作流程
用户在访问平台网站时,可以选择先注册或直接登录。注册完成后,用户将能够使用其注册账号登录平台。成功登录后,用户将进入系统功能界面,并根据个人权限使用相应的功能。程序操作流程图如下图所示。

表3-2程序操作流程图
3.3.3登录流程
用户访问平台网站后,进入登录页面并输入用户名和密码。后端服务接收登录请求,验证输入的用户名和密码是否与数据库中的记录一致。若验证通过,用户即可成功登录平台。登录流程图如下图所示。

表3-3登录流程图
3.3.4注册流程
没有账号的用户可以前往注册页面,填写用户名、密码、电子邮件等必填信息的表单。后台系统会对这些信息进行校验和存储,并为用户生成一个唯一的标识符。注册成功后,用户可以使用该账号和密码登录平台。用户注册流程图如下图所示。

表3-4注册流程图
3.4 功能模块分析
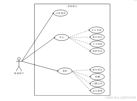
本系统的用例模型主要分为管理员和普通用户两类。以下是对这两个模块的功能进行的描述。
3.4.1用户模块
用户在APP端注册登录账号进入用户页面。可以查看社区交流、景点信息、天气预报、旅游资讯、我的(基本信息、收藏)门票订单、论坛管理,用户用例图如图3-5所示。

图3-5 用户用例图
3.4.2管理员模块
管理员通过输入账号和密码登录到后台管理系统,拥有全部权限包括:访问首页、系统用户、景点信息、景点类型、门票订单、系统管理(轮播图)公告通知管理、资源管理(旅游资讯、资讯分类)交流管理(交流论坛、论坛分类)。
管理员用例图如图3-6所示。

图3-6 管理员用例图
3.5系统非功能需求分析
景区智能推荐APP的非功能性需求比如景区智能推荐APP的安全性怎么样,可靠性怎么样,性能怎么样,可拓展性怎么样等。具体可以表示在如下3-1表格中:
表3.1 景区智能推荐APP非功能需求表
|
需求类别 |
具体需求 |
说明 |
|
性能需求 |
响应时间 |
各功能模块应在毫秒级别内响应用户操作,尤其在高并发情况下,关键模块的响应时间需快速。 |
|
并发处理能力 |
系统需支持多用户同时在线操作,尤其消息通知、评价反馈、反馈沟通,确保高效的并发处理。 | |
|
可用性 |
系统稳定性 |
系统应具有高稳定性,定期备份和自动恢复功能,确保减少系统故障和数据丢失。 |
|
易用性 |
用户界面应友好直观,操作流程简洁,提供帮助文档和在线支持,适应不同技术水平用户。 | |
|
安全性 |
数据安全 |
用户数据应加密存储与传输,权限控制严格,确保数据安全性。 |
|
访问控制 |
实施多重身份验证机制,确保用户访问合法,防止未授权用户访问。 | |
|
可维护性 |
代码规范 |
遵循严格的编码规范,模块化设计,提升系统可读性与维护性。 |
|
日志管理 |
具备完善的日志记录功能,便于故障排查和性能优化。 | |
|
扩展性 |
模块扩展 |
系统应具备良好的扩展性,支持在不影响现有功能的前提下增加新功能模块。 |
|
平台兼容性 |
系统需兼容不同操作系统和浏览器,支持移动设备访问,保证一致的用户体验。 | |
|
可靠性 |
故障恢复能力 |
系统需具备快速恢复能力,确保在意外情况发生时能及时恢复服务并保证数据完整性。 |
|
备份机制 |
定期进行数据备份,并具备数据恢复功能,防止数据丢失。 |
第4章 景区智能推荐APP设计
4.1 平台架构设计
本章节对景区智能推荐APP的核心业务功能和操作流程进行了详细分析。通过这一分析,明确了后续平台开发中的功能实现路径,为系统的进一步设计与开发奠定了基础。以下图4-1是景区智能推荐APP的功能架构图。

图4-1 景区智能推荐APP功能架构图
4.2 系统总体功能
景区智能推荐APP的总体功能包括为用户提供全面的景点信息,涵盖景点的基本资料、用户评价以及购票服务。系统分为管理员和用户两个角色,管理员负责景点信息、用户管理、票务管理、评论管理等内容,确保系统的正常运行和数据更新;而用户则可以浏览景点信息、查看推荐路线、进行景点评价、收藏景点、买票及查看个人订单等。以下图4-2是景区智能推荐APP的功能图。

图4-2 景区智能推荐APP的功能图
4.3数据库概念和逻辑设计
4.3.1数据库设计原则
数据库设计是一种用于创建数据库结构的过程,通过需求分析确定数据类型和操作需求,并使用实体-关系图表达数据的实体、属性及其关系,形成概念模型。在此基础上,将概念模型转化为特定数据库系统可识别的逻辑模型,确定表结构、字段、数据类型及约束关系。数据库设计通常分为概念设计、逻辑设计两个阶段。
4.3.2概念设计
下面是平台主要功能模块的实体属性图分析。
(1)管理员的实体属性图

图4-3 管理员实体属性图
(2)用户信息管理的实体属性图
|
|
|
图4-4 注册信息管理实体属性图 |
(3)景点信息管理的实体属性图
景点信息由管理员负责管理。下图4-5是该模块的部分实体属性图。

|
图4-5景点信息管理实体属性图 |
(4)门票订单管理的实体属性图
管理员和注册用户可以对门票订单管理进行查询和管理。见下图4-6。
|
|
|
图4-6门票订单管理实体属性图 |
(5)资讯实体属性图
|
资讯实体属性如下图见下图4-7。
图4-7 资讯实体属性图 |
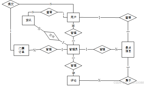
(6)平台总体E-R图
下图4-8是景区智能推荐APP数据库的总体E-R图。
|
|
|
图4-8 总体E-R图 |
4.3.3数据库设计
逻辑设计是数据库设计中的关键环节,主要任务是将概念设计中的抽象模型转化为数据库管理系统可识别的结构,确定表结构、字段名称、数据类型、主键和外键等要素,从而构建数据的逻辑框架。逻辑设计明确了数据的存储方式和关联规则,维持数据一致性与完整性,并提升查询与管理的效率。以下是系统的数据库表设计。
表 4-1-comment(评论)
|
编号 |
字段名 |
类型 |
长度 |
是否非空 |
是否主键 |
注释 |
|
1 |
comment_id |
int |
是 |
是 |
评论ID | |
|
2 |
user_id |
int |
是 |
是 |
评论人ID | |
|
3 |
reply_to_id |
int |
是 |
否 |
回复评论ID | |
|
4 |
content |
longtext |
4294967295 |
否 |
否 |
内容 |
|
5 |
nickname |
varchar |
255 |
否 |
否 |
昵称 |
|
6 |
avatar |
varchar |
255 |
否 |
否 |
头像地址 |
|
7 |
source_id |
int |
是 |
否 |
来源ID |
表 4-2-forum(论坛)
|
编号 |
字段名 |
类型 |
长度 |
是否非空 |
是否主键 |
注释 |
|
1 |
forum_id |
mediumint |
是 |
是 |
论坛ID | |
|
2 |
display |
smallint |
是 |
否 |
排序 | |
|
3 |
user_id |
mediumint |
是 |
否 |
用户ID | |
|
4 |
nickname |
varchar |
16 |
否 |
否 |
昵称 |
|
5 |
praise_len |
int |
否 |
否 |
点赞数 | |
|
6 |
hits |
int |
是 |
否 |
访问数 | |
|
7 |
title |
varchar |
125 |
是 |
否 |
标题 |
|
8 |
istop |
int |
是 |
否 |
是否置顶 |
表 4-3-registered_user(注册用户)
|
编号 |
字段名 |
类型 |
长度 |
是否非空 |
是否主键 |
注释 |
|
1 |
registered_user_id |
int |
是 |
是 |
注册用户ID | |
|
2 |
user_name |
varchar |
64 |
否 |
否 |
用户姓名 |
|
3 |
user_gender |
varchar |
64 |
否 |
否 |
用户性别 |
|
4 |
user_age |
varchar |
64 |
否 |
否 |
用户年龄 |
|
5 |
examine_state |
varchar |
16 |
是 |
否 |
审核状态 |
|
6 |
user_id |
int |
是 |
否 |
用户ID | |
|
7 |
create_time |
datetime |
是 |
否 |
创建时间 | |
|
8 |
update_time |
timestamp |
是 |
否 |
更新时间 |
表 4-4-scenic_spot_information(景点信息)
|
编号 |
字段名 |
类型 |
长度 |
是否非空 |
是否主键 |
注释 |
|
1 |
scenic_spot_information_id |
int |
是 |
是 |
景点信息ID | |
|
2 |
scenic_spot_number |
varchar |
64 |
否 |
否 |
景点编号 |
|
3 |
scenic_spot_name |
varchar |
64 |
否 |
否 |
景点名称 |
|
4 |
location_of_tourist_attractions |
varchar |
64 |
否 |
否 |
景点位置 |
|
5 |
types_of_tourist_attractions |
varchar |
64 |
否 |
否 |
景点类型 |
|
6 |
ticket_surplus |
double |
否 |
否 |
门票余量 | |
|
7 |
cover_photo |
varchar |
255 |
否 |
否 |
封面图片 |
|
8 |
ticket_price |
double |
否 |
否 |
门票价格 | |
|
9 |
video_introduction |
varchar |
255 |
否 |
否 |
视频介绍 |
|
10 |
opening_hours |
varchar |
64 |
否 |
否 |
开放时间 |
|
11 |
contact_information |
varchar |
64 |
否 |
否 |
联系方式 |
|
12 |
travel_itinerary |
varchar |
64 |
否 |
否 |
游玩路线 |
|
13 |
scenic_spot_details |
longtext |
4294967295 |
否 |
否 |
景点详情 |
|
14 |
update_time |
timestamp |
是 |
否 |
更新时间 |
表 4-5-ticket_order(门票订单)
|
编号 |
字段名 |
类型 |
长度 |
是否非空 |
是否主键 |
注释 |
|
1 |
ticket_order_id |
int |
是 |
是 |
门票订单ID | |
|
2 |
scenic_spot_number |
varchar |
64 |
否 |
否 |
景点编号 |
|
3 |
scenic_spot_name |
varchar |
64 |
否 |
否 |
景点名称 |
|
4 |
types_of_tourist_attractions |
varchar |
64 |
否 |
否 |
景点类型 |
|
5 |
purchase_users |
int |
否 |
否 |
购买用户 | |
|
6 |
user_name |
varchar |
64 |
否 |
否 |
用户姓名 |
|
7 |
purchase_time |
datetime |
否 |
否 |
购买时间 | |
|
8 |
ticket_price |
varchar |
64 |
否 |
否 |
门票价格 |
|
9 |
purchase_quantity |
double |
否 |
否 |
购买数量 | |
|
10 |
total_price |
varchar |
64 |
否 |
否 |
合计总价 |
|
11 |
purchase_remarks |
text |
65535 |
否 |
否 |
购买备注 |
|
12 |
examine_state |
varchar |
16 |
是 |
否 |
审核状态 |
|
13 |
examine_reply |
varchar |
16 |
否 |
否 |
审核回复 |
|
14 |
pay_state |
varchar |
16 |
是 |
否 |
支付状态 |
|
20 |
source_user_id |
int |
否 |
否 |
来源用户 |
表 4-6-types_of_tourist_attractions(景点类型)
|
编号 |
字段名 |
类型 |
长度 |
是否非空 |
是否主键 |
注释 |
|
1 |
types_of_tourist_attractions_id |
int |
是 |
是 |
景点类型ID | |
|
2 |
types_of_tourist_attractions |
varchar |
64 |
否 |
否 |
景点类型 |
|
3 |
create_time |
datetime |
是 |
否 |
创建时间 | |
|
4 |
update_time |
timestamp |
是 |
否 |
更新时间 |
第5章系统实现
平台采用MySQL数据库存储所需数据,并用Navicat图形化工具对数据库进行创建和维护。以下是完成数据库部分后进行连接的部分代码。

5.2平台功能实现
通过精心设计的界面,用户可以轻松使用平台的各项功能,如景点信息浏览、购票、订单管理等。
下图5-1、5-2是登录功能的相关图片和部分源代码。

图5-1 登录界面
|
代码如下: ![]() |
|
图5-2登录代码 |
未有账号的用户可进入注册界面进行注册操作,填写注册表格,包括用户名、密码、电子邮件等必要信息。后台系统验证并保存用户提交的信息。分配唯一用户标识符。注册成功后,用户可以使用账号密码进行登录。下图5-3.图5-4,图5-5是该模块的界面图及相关源代码。
![]() |
|
图5-3 注册界面 |
代码如下:

图5-4 注册代码
在注册部分加入了MD5加密算法,它是一种单向散列函数,也被称为HASH算法。MD5算法的核心思想是将输入数据进行不可逆的变换,确保不同的输入数据会产生不同的输出结果。这种特性使得MD5在密码学中有广泛的应用,例如用于加密存储的密码、校验数据的完整性等。

图5-5 MD5加密算法代码
5.2.3景点信息管理实现
以下图5-6是该模块的界面图和新增数据的代码。

图5-6 景点信息管理界面
景点信息管理模块由管理员负责对景点进行查询、编辑、添加和删除操作。用户可以根据景点名称搜索,并在结果中查看详细信息。
景点信息查询代码如下:

图5-7景点信息代码界面
5.2.4门票订单管理实现
以下图5-8是门票订单模块的界面图和查询数据的部分代码。

图5-8门票订单管理界面
门票订单管理模块主要是管理员和用户对购票信息进行操作。用户可以根据购票编号或姓名进行查询,并在显示的信息中点击详情查看具体门票订单。
门票订单关键代码如下:

图5-9门票订单代码界面
5.2.5交流管理实现
以下图5-10是该模块的界面图和删除数据的代码。

图5-10 交流管理界面
管理员根据不同论坛的姓名进行搜索,可查看论坛全部信息,进行对应的管理,并回复。
关键代码如下:

图5-11论坛管理代码界面
5.2.6资讯管理实现
以下图5-12是最新管理模块的界面图和修改数据的代码。

图5-12资讯管理界面
资讯管理模块主要包含路线资讯ID、标题、内容进行查询,并在显示的信息中点击查看详细内容。管理员还可以添加新的资讯信息,并对已有条目进行编辑和删除。
关键代码如下:

图5-13 旅游资讯代码界面
第6章 系统测试
6.1测试的目的
软件测试的目的在于识别系统缺陷,验证软件对需求的符合程度,使其功能、性能和安全性达到设计标准。在开发过程中,测试能够及时发现潜在问题,降低发布后出现故障的风险。测试不仅关注系统的正常运行,还模拟各种异常情况,评估在不同环境和边界条件下的表现,从而提升软件的可靠性和稳定性,为用户提供更高质量的产品体验,增强信任感。测试过程中的数据和经验积累能完善测试策略,改进开发流程,成为后续项目的参考。软件测试贯穿开发生命周期,是实现产品质量和发布标准的重要环节。
6.2功能测试
功能测试部分是对平台的主要功能:发布评论、景点信息展示、门票订单添加、旅游资讯进行测试,将模拟用户实际的使用过程来完成测试,如表6-1、6-2、6-3、6-4、6、5、6-6、6-7所示。
表6-1 评论功能测试用例表
|
测试目的 |
验证评论功能 |
|
测试条件 |
用户已登录 |
|
测试步骤 |
1. 登录系统。 2. 进入景点评论模块。 3. 发布评论。 4. 回复他人评论。 5. 删除自己的评论。 |
|
预期效果 |
能成功发布、回复和删除评论 |
|
实际效果 |
与预期结果一致 |
|
结论 |
测试通过 |
表6-2 景点信息功能测试用例表
|
测试目的 |
验证景点信息功能 |
|
测试条件 |
用户已登录 |
|
测试步骤 |
1. 登录系统。 2. 进入景点信息模块。 3. 浏览景点信息列表。 4. 点击查看详细信息。 |
|
预期效果 |
能正常查看景点信息 |
|
实际效果 |
与预期结果一致 |
|
结论 |
测试通过 |
表6-3 门票订单功能测试用例表
|
测试目的 |
验证门票订单功能 |
|
测试条件 |
用户已登录 |
|
测试步骤 |
1. 登录系统。 2. 进入门票订单模块。 3. 浏览门票订单列表。 4. 点击查看详细信息。 |
|
预期效果 |
能正常查看门票订单 |
|
实际效果 |
与预期结果一致 |
|
结论 |
测试通过 |
表6-4 旅游资讯功能测试用例表
|
测试目的 |
验证旅游资讯功能 |
|
测试条件 |
用户已登录 |
|
测试步骤 |
1. 登录系统。 2. 进入旅游资讯模块。 3. 浏览旅游资讯列表。 4. 点击查看具体内容。 |
|
预期效果 |
能正常查看旅游资讯内容 |
|
实际效果 |
与预期结果一致 |
|
结论 |
测试通过 |
表6-5 景点信息管理功能测试用例表
|
测试目的 |
验证景点信息管理功能 |
|
测试条件 |
管理员已登录 |
|
测试步骤 |
1. 登录系统。 2. 进入景点信息管理模块。 3. 添加新的景点信息。 4. 修改已有景点信息。 5. 删除景点信息。 |
|
预期效果 |
能正常添加、修改和删除信息 |
|
实际效果 |
与预期结果一致 |
|
结论 |
测试通过 |
表6-6 门票订单管理功能测试用例表
|
测试目的 |
验证门票订单管理功能 |
|
测试条件 |
管理员已登录 |
|
测试步骤 |
1. 登录系统。 2. 进入门票订单管理模块。 3. 添加新的门票订单。 4. 修改已有门票订单。 5. 删除门票订单。 |
|
预期效果 |
能正常添加、修改和删除信息 |
|
实际效果 |
与预期结果一致 |
|
结论 |
测试通过 |
表6-7 旅游资讯管理功能测试用例表
|
测试目的 |
验证旅游资讯管理功能 |
|
测试条件 |
管理员已登录 |
|
测试步骤 |
1. 登录系统。 2. 进入旅游资讯管理模块。 3. 查看所有旅游资讯。 4. 删除某条记录。 |
|
预期效果 |
能正常查看和删除记录 |
|
实际效果 |
与预期结果一致 |
|
结论 |
测试通过 |
6.3环境测试
操作系统:Windows 11、Windows 10、Windows 8、Windows 7
开发语言:Python
使用框架:Django
前端技术:JavaScript、Vue.js、CSS3、HTML、Ajax、Redis
开发工具:PyCharm、VS Code
数据库:MySQL 5.6及以上
数据库管理工具:Navicat
Python版本:Python 3.8及以上
前端构建工具:Webpack、npm
硬件环境:
CPU:1.60GHz及以上
内存:4GB及以上
硬盘:500MB以上
显卡:集成显卡或以上
GPU:无要求
在测试中发现的少许问题已得到解决,确保平台能够满足不同用户的使用需求,并保证各功能模块正常运行。这为用户提供了一个稳定、高效的操作环境,提升了整体用户体验。
第7章 结论
在本次景区智能推荐APP的开发过程中,采用了Django作为后端框架,并结合MySQL数据库,确保了系统的高效性和稳定性。前端部分使用了Vue.js框架,提升了系统的交互性和用户体验。通过这些技术的有效结合,系统成功实现了用户和管理员的多项功能需求,确保了景点信息、票务管理、评论互动等功能的顺利运行。管理员能够高效管理景点数据、用户账户、评论内容等,同时发布公告和管理网站内容,确保了平台内容的实时更新和准确性。用户方面,系统提供了详细的景点信息、便捷的购票服务和多样化的互动功能,包括点赞、收藏、评论和景点评价,使得每位游客都能根据个人需求获得个性化的推荐和服务。
在开发过程中,遇到了一些技术挑战,特别是在数据同步和系统扩展性方面。通过合理的架构设计和优化代码,最终实现了系统的稳定运行。这个项目让我深刻体会到如何将前端和后端技术有机结合,真正提升用户体验。同时,通过这次开发,我对APP开发技术有了更深刻的理解,也学会了如何将技术与实际需求结合,以提供更好的服务。
参考文献
- 杨高祥.某景区智慧化信息系统设计与实施方案研究[D].南京邮电大学,2022.
- 郑清兰.“互联网+”旅游管理系统的设计与实现[J].攀枝花学院学报,2021,38(02):55-61.
- 黄楚峰.九乡旅游景区智慧系统建设研究[D].云南大学,2021.
- 齐云龙,唐玮强,姚连达.景点门票售票系统设计研究[J].电子世界,2021,(01):63-64.
- 李娟.基于VueJS的景区管理系统设计与开发[D].浙江工业大学,2020.
- 杨晟.基于Spring Boot的景点售票管理系统的设计与实现[J].信息记录材料,2024,25(06):128-130.
- 何静,臧飞飞,候玉洁.郑州市智慧景区管理系统的设计[J].现代营销(经营版),2020,(10):66-68.
- 陈舟劢.贵州旅游景点智能推荐系统的设计与实现[D].贵州大学,2021.
- 燕鸣.古中山国文化旅游APP界面设计[D].南昌大学,2024.DOI:10.27232/d.cnki.gnchu.2024.001681.
- 周海涛,何金花,王文杰,等.基于Android平台的乡村旅游App系统设计与实现[J].电脑知识与技术,2024,20(09):68-71.DOI:10.14004/j.cnki.ckt.2024.0391.
- 王晨光,区靖.桂西地区非遗文化旅游APP的设计研究[J].网印工业,2024,(03):43-45.
- Bio K R ,Lévesque A ,Dupras J .Salt forests and their people: stakeholders’ perspectives on community management of mangroves’ ecosystems in Benin[J].Journal of Coastal Conservation,2024,29(1):4-4.
- Yufan Y .Research on Intelligent Industrial Park Management System[J].Sustainability in Environment,2024,9(4):
- 赵惠. 基于B/S模式的实验室管理系统设计和实现 [J]. 中国新通信, 2023, 25 (21): 72-74.
- 田应权,尹瑞雪. 基于三层B/S模式的飞机结构损伤信息管理系统设计与实现 [J]. 机械工程师, 2023, (06): 36-39.
- 罗光武,陈典灿,吴荷,等. 应用Spring boot + Vue框架的时间管理软件的设计与实现 [J]. 工业控制计算机, 2024, 37 (04): 64-66.
- 刘慧玲,谭定英,陈平平. 基于Spring Boot和Vue.js的大学生团队管理系统的设计 [J]. 电脑编程技巧与维护, 2024, (03): 120-122.
- 杨芬,MySQL数据库应用的课程教学分析[J]电子技术,2023,52(10):180-181.
- 赵停停.基于MySQL数据库技术的Web动态网页设计研究[J].信息与电脑(理论版),2023,35(17):174-176.
- 周晓玉,崔文超.基于Web技术的数据库应用系统设计[J].信息与电脑(理论版),2023,35(09):189-191.
- 童浩楠,车啸平,鲁凌云,等. 软件测试与质量保证课程思政教学探索与实践 [J]. 电脑与信息技术, 2024, 32 (02): 114-118. 李向东、季庆庆.创新效率动态演化——基于中国高技术产业的实证研究[M].北京:光明日报出版社,2014.
- 刘娜.计算机软件的测试方法与应用[J].集成电路应用,2023,40(12):60-61.
致 谢
在完成这个项目的旅程中,我收获了许多宝贵的帮助和支持,心中充满了感激。导师的悉心指导如同灯塔,照亮了我在学术和实践中的每一步,让我能够克服重重困难,找到解决问题的最佳路径。同学之间的交流与合作也给了我莫大的启发,那些讨论、分享和互相鼓励的时刻,不仅丰富了我的知识体系,更让我感受到集体智慧的力量。父母一直以来的支持和信任,则是我最坚实的后盾,无论遇到什么挑战,他们的理解和鼓励总能给我力量,让我勇往直前。这段经历让我明白,个人的成长离不开他人的支持与陪伴,正是这些温暖的力量汇聚在一起,才使得今天的成果成为可能。感谢所有在我求学和探索道路上给予帮助的人,未来我会继续努力,不负众望。
景区智能推荐APP设计与实现






1884

被折叠的 条评论
为什么被折叠?



