摘 要
在当今高等教育普及与大学规模不断扩大的背景下,校园内学生对于短期使用但价格较高的物品(如自行车、教科书、电子设备等)的需求日益增长。传统的购买模式不仅成本高昂,而且资源利用率低,造成了不必要的浪费。因此,构建一个便捷、高效的校园租赁平台成为了满足学生需求、促进资源共享的重要途径。本论文旨在探讨校园租赁平台的设计与实现,通过分析国内外相关研究现状,结合现代信息技术(如云计算、大数据分析、移动支付等),提出了一套完整的解决方案。研究发现,校园租赁平台不仅能优化资源配置、降低学生生活成本,还能培养学生的环保意识和社会责任感,并有助于推动校园文化建设。此外,通过对用户管理、信息发布与查询等功能模块的设计,进一步提升了用户体验和服务效率。本研究不仅为高校提供了一种新的资源共享模式,同时也对推动社会向更加可持续的方向发展具有积极意义。最终,本文提出的校园租赁平台的设计与实现方案展示了其实现的可行性及其潜在的社会价值。
在设计上,本系统注重用户体验和操作便捷性,考虑到系统的未来扩展性和兼容性,设计时预留了API接口,方便与其他医疗信息系统进行对接。通过引入Spring Boot框架,采用Java编程语言、MySQL数据库的模式以大大提高医疗管理的效率,减少人工、财务及时间的消耗,提升沟通的效率。在这篇文章中,我们将深入探讨这个课题的目的、重点、价值,并通过这些内容,为我们的研究奠定坚实的基础。我们还将会提供一些相关的技术支持,帮助我们更好地完成这个任务。
关键词:校园租赁平台的设计与实现,Springboot框架,MySQL数据
Abstract
In today's context of the spread of higher education and the expansion of universities, there is a growing demand for short-term but expensive items (such as bicycles, textbooks, electronic devices, etc.) from students on campus. The traditional purchasing model is not only costly, but also has low resource utilization, resulting in unnecessary waste. Therefore, building a convenient and efficient campus leasing platform has become an important way to meet the needs of students and promote resource sharing. This paper aims to discuss the design and implementation of campus leasing platform, and proposes a complete set of solutions by analyzing the current research status at home and abroad, combined with modern information technology (such as cloud computing, big data analysis, mobile payment, etc.). The study found that the campus leasing platform can not only optimize resource allocation and reduce students' living costs, but also cultivate students' environmental awareness and social responsibility, and help promote the construction of campus culture. In addition, through the design of functional modules such as user management, information release and query, the user experience and service efficiency are further improved. This study not only provides a new resource sharing model for universities, but also has positive significance for promoting the development of society in a more sustainable direction. Finally, the design and implementation scheme of the campus leasing platform proposed in this paper shows the feasibility of its realization and its potential social value.
In terms of design, the system pays attention to user experience and convenience of operation, and considering the future expansion and compatibility of the system, the API interface is reserved in the design to facilitate docking with other medical information systems. Through the introduction of Spring Boot framework, Java programming language, MySQL database mode to greatly improve the efficiency of medical management, reduce the consump.
Keywords:Design and implementation of campus rental platform, Springboot framework, MySQL data.
目 录
第1章绪论
1.1研究目的与意义
随着高等教育的普及和大学规模的不断扩张,校园内学生的生活方式和需求也日益多样化。特别是在物品租赁方面的需求变得尤为突出,学生们对于那些价格昂贵但使用频率较低的物品(如自行车、教科书、电子设备等)表现出强烈的需求。然而,传统的购买模式不仅成本高昂,而且资源利用率低下,造成了不必要的浪费。因此,在校园环境中构建一个便捷、高效的租赁平台,不仅是满足学生实际需求的重要手段,也是促进资源共享、提升资源利用效率的有效途径。
校园租赁平台的设计与实现不仅仅是为了提供一种商业服务[1],它还承载着更为广泛的社会价值和教育意义。一方面,该平台有助于优化资源配置,让闲置资源得到充分利用,减少资源浪费的同时提高了资源的整体使用效率。另一方面,通过提供低成本的租赁选项,可以帮助学生减轻生活成本压力,让学生能够将更多的精力集中在学业和个人发展上。更重要的是,这种共享经济模式的推广有助于培养学生的环保意识和社会责任感[2],鼓励他们在日常生活中实践节约资源、保护环境的理念。校园租赁平台还可以作为校园文化建设的一部分,促进校园内部的交流与合作。作为一个连接不同专业、年级学生的桥梁,它不仅能增进学生之间的相互了解和友谊,还能增强整个校园社区的凝聚力和活力。同时,为了适应不断变化的校园环境和用户需求,租赁平台需要持续进行技术创新和服务优[3]化,这反过来又促进了相关技术的发展和应用,为校园信息化建设贡献了力量。
它不仅符合时代发展的趋势,响应了可持续发展的号召,同时也切实解决了学生群体的实际问题,对推动高校乃至整个社会的可持续发展都有着积极的作用。
1.2国内外研究现状
国内现状:
在国内,随着共享经济概念的普及以及互联网技术的发展,校园租赁平台逐渐成为了一个热门的研究方向。许多高校和科技公司已经开始探索如何通过线上平台来实现校内外物品的高效流转和利用[4]。例如,基于Java(Spring Boot框架)开发的校园服装租赁系统[5]、的校园服务平台等项目,都展示了国内在该领域的积极探索。
此外,一些具体的案例也显示了国内市场的活力。例如,某些电商平台开始尝试开展服装租赁业务[6],尽管专门针对校园市场的服装租赁系统还比较少见,但已经有一些成功的尝试和初步的市场反应。同时,国内对于校园租赁平台的设计与实现也注重结合实际情况进行功能优化和服务提升,比如考虑到学生群体的特殊需求,设计了用户管理、信息发布与查询等功能模块。
国外现状:
在国外,类似的概念同样受到了广泛关注,并且有了一些成功的商业模式和案例。例如,Airbnb、Booking.com和等平台不仅为用户提供短租服务[7],同时也涵盖了旅游和住宿等方面的需求。这些平台的成功证明了在线租赁模式的有效性和可行性。
国外的一些创业公司也在服装租赁服务方面进行了探索,这类服务通常以环保和可持续发展为核心理念,提供从售前咨询到售后保养的一系列服务,满足用户的个性化需求。这种模式对于校园租赁平台来说具有重要的借鉴意义,尤其是在用户体验和环境保护方面提供了新的思路[8]。
1.3论文结构与章节安排
本文共分为七章,章节内容安排如下:
第一章:绪论,主要介绍系统的研究目的和意义,国内外现状分析等架构。
第二章:相关技术介绍,主要介绍本系统研究所涉及用到的技术分析。
第三章:系统需求分析,章节所做的主要的工作是对系统进行了技术、经济和法律方面可行性的分析;对系统实行了总体功能的需求、用例分析。
第四章:系统的设计,主要是对系统的功能结构进行设计,并对系统数据库的概念结构以及物理结构的设计进行了分析。
第五章:对系统的实现,根据系统功能的划分,分别的对系统所需要实现的用户功能和管理员功能进行了分析和说明。
第六章:系统测试。主要对系统的部分界面进行展示并对主要功能进行测试。
第七章:总结。
第2章相关技术介绍
2.1 B/S模式
B/S模式[9],即浏览器/服务器模式,是一种常见的网络应用架构模式。在B/S模式中,用户通过浏览器作为客户端与服务器进行交互。在浏览器/服务器(browser / Server Architecture)系统中,用户只需通过浏览器,就能够轻松地向分布在网络各处的众多服务器发送海量的请求。B/S系统大大地简化了客户端的工作,让用户体验更加便捷[10]。
2.2MySQL描述
MySQL数据库已经成为网络上的一种强大的工具,它能够支持多个用户,并且能够根据客户端和服务端的需求进行调整,从而满足不同的需求。在这里,服务端和客户端只是一种软件上的概念,而我们所使用的计算机硬件则没有必要完全相互匹配。
MySQL作为一种备受推崇的关联性DBMS,其卓越的性能和易于操作的特性,以及其在多种操作环境中的灵活性,让其成为了最受青睐的应用之选。此外,MySQL还具有良好的跨平台性,让软件开发人员更加满意。与传统的关联式数据库系统形式大相径庭,MySQL拥有一套完善的数据库管理策略,以确保用户的安全、稳健、安全。MySQL具备良好的容错、安全、快速、稳健的特点,使得mysql成为一款相当流行的数据库管理工具。
MySQL拥有一种独特的权限分配机制,可以根据用户的身份和业务逻辑,为用户提供更多的选择,从而大大提高了MySQL的安全性和完整性,远超过其他关系型数据库。
MySQL具有强大的功能,能够处理各种数据类型,包括动态、静态、多种语言,从而使用户能够轻松访问多种数据。
MySQL具有多种功能[3],它能够支持多种平台的开发,并且支持多种编程语言[4],使得用户能够轻松访问和使用MySQL数据库。
2.3Java语言与JDK开发环境
sun公司的java编写的编译器可以跨越各种不同的操作系统,它的高度可靠的兼容性使它成为当今最受欢迎的编译器之一,它的强大功能使它成为了当今数据中心、个人PC和高端科技电脑的首选编译器,并且拥有一支规模宏大的编译器团队。
sun公司推出的java开发工具JDK,具有极大的功能,如果没有它,java程序将无法正常运行,从而影响到用户的使用体验。
2.4Springboot框架
Java框架的出现,极大地改变了Java的运行方式,因为它不仅可以支持复杂的框架结构,而且还可以支持多种复杂的操纵,从而极大地改善了Java的效率和可靠性。此外,Java框架也被广泛地用来取代EJB(EnterpriseJavaBeans),成为一种更加强大的框架。Spring框架可以有效地支撑多种AP的开发,其中包括:基于控制反向的核心功能,可以将对象的生命周期变得更加可视,采取面向切面的编程语言,以及采取多种可靠的长效技术,以及支撑多种Web框架,以满足不同的AP的需求。Spring框架[11]拥有强大的控制反馈(IOC)功能,使得Java对象的配置与管理变得更加简单高效。该框架采取Java的反馈机制,允许使用者根据XML文件、类别及其相关的Java注释等信息,自由地调整Java对象的使用,从而实现更加高效的编程。Spring框架拥有一种独特的AOP框架,它能够将复杂的任务分解为多个独立的部分,并且能够根据用户的不同需求,调整每个部分的功能。它的AOP框架不仅能够支持复杂的任务分解,而且还能够支持多个独立的部分,从而使得用户能够更好地完成任务。
第3章系统分析
3.1可行性分析
在软件开发的过程中,可行性分析是至关重要的,它旨在评估问题的可行性,以便尽可能快地解决,同时也要考虑到不同的解决方案的优势和劣势,以及实施这些方案所带来的经济效益。通过对技术、操作和经济因素的综合考量,我们可以更好地评估校园租赁平台的设计与实现的可行性,具体表现在:
3.1.1技术可行性
Java编程语言为基础,结合Springboot、Vue等模型,数据库则使用当前最先进的MySQL数据库,这样,校园租赁平台的设计与实现就能够将其内容完整地保留下来,同时,为提高用户的使用效率,我们还引入Ajax的异步操作,它能够实现对特定数据的快速更改,从而节省服务器的时间,提升用户的使用感受。这个系统的设计非常容易,所以无须进行额外的调整。它使用了Java语言、MySQL存储,并且使用了H5作为前端界面的展现。
3.1.2经济可行性
通过采用Java和MySQL的架构,校园租赁平台的设计与实现的开发与维护费用虽然较低,但一旦正式推出,将会带来巨大的收益:能够让用户更加轻松地获取信息,同时降低运营者的负担。虽然租赁信息平台系统的小程序并非特别复杂,但它的制作费用相比较低,而且耗费的时间更少,因为它能够带来更高的效率,而且比起日常的维护与管理,它的收入要更高,因此,它的制作完全符合市场的需求。
3.1.3操作可行性
这款校园租赁平台的设计与实现是一款基于浏览器和服务器的软件,它的前台页面简洁易懂,无论是系统管理员还是普通用户,只要有网络,只要打开浏览器,就可以轻松访问,而且不需要任何操作指导。由于无需任何复杂的环境配置,这个系统既简单又易于操作,因此它具有极高的实用性和可靠性。
3.2功能需求分析
当前,B/S架构的系统提供了一种便捷的数据访问模式:只需点击一下网站,即可获取系统的信息,而且,该信息会被存储,并且会被及时地转交给服务器,从而实现快速、准确的信息交换。买家用户用例图如图3-1所示。

图3-1 买家用户用例图
卖家用户用例图如图3-2所示。

图3-2 卖家用户用例图
管理员用例图如图3-3所示。

图3-3 管理员用例图
本节对整个系统的功能进行描述:
一、 买家用户主要功能描述
- 用户注册登录:游客可以随时进入到系统中,对系统中的信息浏览,但是想要实现租赁信息申请、评论收藏等,就必须有这个系统的账号,如果没有账号的话,可以注册成系统用户进行相关的操作,同时用户还可以对个人信息以及操作的信息进行管控。
- 首页:校园租赁平台的设计实现的首页包含了一些网站轮播图,新闻资讯、租赁信息推荐等。
- 通知公告:用户点击“通知公告”菜单显示管理员在后台发布的所有的通知公告信息,可以查看公告详情。
- 新闻资讯:用户点击“新闻资讯”菜单显示所有的资讯信息,可以按照条件进行筛选或者输入关键词进行局部搜索,点击可以进入新闻资讯详细展示界面,在此界面用户可以收藏、点赞和评论。
- 租赁商城:买家用户可以在租赁商城查看租赁信息详情,包括卖家账号、商品名称、类型、租赁价格、天数等信息,可以进行点赞收藏评论,还可以再干兴趣的商品下点击“租赁物品”或者先跟卖家进行“在线聊天”等操作。
- 优惠神券:买家用户可以在购买的卖家商城里选择优惠神券,可以进行点赞收藏评论等操作。
- 在线反馈:买家用户可以在线对商品进行留言反馈,然后可以在个人中心查看留言反馈。
- 个人中心:买家用户点击个人中心可以查看:个人首页、租赁信息、续租信息、归还信息、售后信息、在线聊天、领取信息、在线反馈和收藏及评论管理功能;像查看租赁信息的审核状态,然后审核通过后可以进行支付,也可以在“续租信息”里点击续租申请,“归还信息”等操作。
二、 卖家用户功能描述
- 后台首页:卖家用户通过管理者设置添加,医生通过账号密码直接登录进入医生后台首页。
- 租赁商城管理:卖家用户可以管理租赁商城列表及添加信息,包括商品名称、类型、租赁单位、租赁价格、图片、商品介绍详情等信息。
- 租赁信息管理:卖家用户可以查看买家用户的租赁信息,支付成功点击详情进行审核。
- 续租信息管理:卖家查看用户续租信息并进行审核操作。
- 归还信息管理:卖家可以查看用户列表的所有归还信息。
- 售后信息管理:卖家可以查看管理所有售后申请信息,并进行审核处理的操作。
- 在线聊天管理:卖家也可以在在线聊天回复用户进行聊天。
- 优惠神券管理:卖家用户可以管理优惠神券列表及添加信息,包括优惠券名、发布商家、卖家姓名、封面、优惠信息详情等信息。
- 领取信息管理:卖家在领取信息列表里查看买家领取了信息应该给到相应的优惠,在买家下单物品里减掉优惠即可。
三、 管理员角色功能描述
- 后台首页:管理员在后台可以输入用户名+密码进行登录,管理员的用户名和密码直接登录进入后台首页。
- 系统用户:管理员点击“系统用户”菜单可以对系统中存在的用户进行管理,包含了管理员用户、卖家用户和买家用户,其中卖家用户由管理员后台审核通过才可以。
- 会员等级管理:管理员可以管理会员等级列表及添加会员等级信息,包括会员名称、会员折扣等信息。
- 租赁商城管理:卖家用户添加商城租赁信息,管理员在后台进行审核,审核通过后方可发布。
- 商品类型管理:管理员可以管理商品类型列表及添加商品类型信息,可以进行增删改查的操作。
- 租赁信息管理:管理查看卖家后台租赁信息列表管理,可以进行增删改查的操作。
- 续租信息管理:管理卖家后台续租信息列表管理,可以进行增删改查的操作。
- 归还信息管理:管理卖家后台归还信息列表管理,可以进行增删改查的操作。
- 售后信息管理:管理卖家后台售后信息列表管理,可以进行增删改查的操作。
- 在线聊天管理:管理卖家后台在线聊天列表管理,可以进行增删改查的操作。
- 优惠神券管理:管理卖家后台租赁信息列表管理,可以进行增删改查的操作。
- 领取信息管理:管理卖家后台领取信息列表管理,可以进行增删改查的操作。
- 在线反馈管理:管理员在后台可以查看用户反馈列表,查看详情并可进行审核回复。
- 系统管理:管理员点击“系统管理”菜单可以对首页展示的轮播图进行增删改查。
- 网站公告管理:管理员点击“通知公告”菜单可以查看到系统中的所有通知公告信息,对已经存在的通知公告,管理员可以修改,也可以添加新的通知公告或者删除通知公告。
- 资源管理:管理员点击“资源管理”菜单能够对其下子菜单新闻资讯和资讯的分类进行增删改查。
3.3非功能需求分析
3.3.1数据安全性
校园租赁平台的设计与实现是一个集众多技术和人才信息且长时间持续运转的系统,它储存了大量的信息,所以需要保证数据不会出现泄露、损坏等情况。只有良好的数据安全才可以保证系统对租赁信息平台信息的管理。
3.3.2时间特性
由于本系统具有租赁信息交流性质,涉及发布、互动交流等及时性较强的功能,所以,为了提高用户体验,需要及时反映操作的准确性以及有效性,预计需要控制系统响应时间在3s内,数据传输在50ms以内。
3.3.3稳定性
本系统集信息收集与管理功能于一身,除涉及大量信息数据外,还需满足买家及卖家所有用户访问。可以预见,这种访问通常是集中的、突发性的访问,这种访问很容易导致服务器满载、迟缓,最终崩溃。所以这要求在软件以及硬件部分均需要拥有应对短时间内大量数据吞吐的能力。在系统设计方面,我们通过减少不必要的信息提交量等方法来提高系统在特殊情况下的稳定性能。
第4章系统设计
4.1系统功能模板设计
统功能模块包括管理员模块和买家用户、卖家用户模块,登录进去对应相应的功能。系统功能结构图如图4-1所示。
图4-1 系统功能结构图
4.2数据库设计
4.2.1数据需求分析
经过分析,我们发现数据库中最重要的内容包括:买家用户、卖家用户、和管理者之间通过预约信息、病历信息、查看公告等,这些信息构成了一个完整的数据库,并且能够提供准确的信息,从而帮助我们更好地了解情况。
4.2.2数据库概念设计
数据库概念设计是指对于某个具体应用
的数据模型(数据结构),进行抽象和设计,以便在后续的数据库实现阶段中进行数据库逻辑设计和物理结构设计。概念结构本身特性就是其能表现来自用户的各类需求,下面罗列一些主要E-R图模型:

图4-2 买家用户信息E-R关系图

图4-3 租赁信息管理E-R关系图

图4-4优惠神券管理E-R关系图
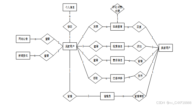
系统总体ER图如图4-2所示。
图4-5系统ER图
4.2.3数据库表设计
通过前面E-R关系图可以看到项目需要创建很多个数据表。以下是项目中的主要数据库表的关系模型:
表access_token (登录访问时长)
| 编号 | 名称 | 数据类型 | 长度 | 小数位 | 允许空值 | 主键 | 默认值 | 说明 |
| 1 | token_id | int | 10 | 0 | N | Y | 临时访问牌ID | |
| 2 | token | varchar | 64 | 0 | Y | N | 临时访问牌 | |
| 3 | info | text | 65535 | 0 | Y | N | ||
| 4 | maxage | int | 10 | 0 | N | N | 2 | 最大寿命:默认2小时 |
| 5 | create_time | timestamp | 19 | 0 | N | N | CURRENT_TIMESTAMP | 创建时间: |
| 6 | update_time | timestamp | 19 | 0 | N | N | CURRENT_TIMESTAMP | 更新时间: |
| 7 | user_id | int | 10 | 0 | N | N | 0 | 用户编号: |
表after_sales_information (售后信息)
| 编号 | 名称 | 数据类型 | 长度 | 小数位 | 允许空值 | 主键 | 默认值 | 说明 |
| 1 | after_sales_information_id | int | 10 | 0 | N | Y | 售后信息ID | |
| 2 | buyer_user | int | 10 | 0 | Y | N | 0 | 买家用户 |
| 3 | buyers_name | varchar | 64 | 0 | Y | N | 买家姓名 | |
| 4 | seller_account | int | 10 | 0 | Y | N | 0 | 卖家账号 |
| 5 | product_code | varchar | 64 | 0 | Y | N | 商品编号 | |
| 6 | product_name | varchar | 64 | 0 | Y | N | 商品名称 | |
| 7 | after_sales_type | varchar | 64 | 0 | Y | N | 售后类型 | |
| 8 | after_sales_remarks | text | 65535 | 0 | Y | N | 售后备注 | |
| 9 | examine_state | varchar | 16 | 0 | N | N | 未审核 | 审核状态 |
| 10 | examine_reply | varchar | 16 | 0 | Y | N | 审核回复 | |
| 11 | create_time | datetime | 19 | 0 | N | N | CURRENT_TIMESTAMP | 创建时间 |
| 12 | update_time | timestamp | 19 | 0 | N | N | CURRENT_TIMESTAMP | 更新时间 |
| 13 | source_table | varchar | 255 | 0 | Y | N | 来源表 | |
| 14 | source_id | int | 10 | 0 | Y | N | 来源ID | |
| 15 | source_user_id | int | 10 | 0 | Y | N | 来源用户 |
| 编号 | 名称 | 数据类型 | 长度 | 小数位 | 允许空值 | 主键 | 默认值 | 说明 |
| 1 | article_id | mediumint | 8 | 0 | N | Y | 文章id:[0,8388607] | |
| 2 | title | varchar | 125 | 0 | N | Y | 标题:[0,125]用于文章和html的title标签中 | |
| 3 | type | varchar | 64 | 0 | N | N | 0 | 文章分类:[0,1000]用来搜索指定类型的文章 |
| 4 | hits | int | 10 | 0 | N | N | 0 | 点击数:[0,1000000000]访问这篇文章的人次 |
| 5 | praise_len | int | 10 | 0 | N | N | 0 | 点赞数 |
| 6 | create_time | timestamp | 19 | 0 | N | N | CURRENT_TIMESTAMP | 创建时间: |
| 7 | update_time | timestamp | 19 | 0 | N | N | CURRENT_TIMESTAMP | 更新时间: |
| 8 | source | varchar | 255 | 0 | Y | N | 来源:[0,255]文章的出处 | |
| 9 | url | varchar | 255 | 0 | Y | N | 来源地址:[0,255]用于跳转到发布该文章的网站 | |
| 10 | tag | varchar | 255 | 0 | Y | N | 标签:[0,255]用于标注文章所属相关内容,多个标签用空格隔开 | |
| 11 | content | longtext | 2147483647 | 0 | Y | N | 正文:文章的主体内容 | |
| 12 | img | varchar | 255 | 0 | Y | N | 封面图 | |
| 13 | description | text | 65535 | 0 | Y | N | 文章描述 |
| 编号 | 名称 | 数据类型 | 长度 | 小数位 | 允许空值 | 主键 | 默认值 | 说明 |
| 1 | type_id | smallint | 5 | 0 | N | Y | 分类ID:[0,10000] | |
| 2 | display | smallint | 5 | 0 | N | N | 100 | 显示顺序:[0,1000]决定分类显示的先后顺序 |
| 3 | name | varchar | 16 | 0 | N | N | 分类名称:[2,16] | |
| 4 | father_id | smallint | 5 | 0 | N | N | 0 | 上级分类ID:[0,32767] |
| 5 | description | varchar | 255 | 0 | Y | N | 描述:[0,255]描述该分类的作用 | |
| 6 | icon | text | 65535 | 0 | Y | N | 分类图标: | |
| 7 | url | varchar | 255 | 0 | Y | N | 外链地址:[0,255]如果该分类是跳转到其他网站的情况下,就在该URL上设置 | |
| 8 | create_time | timestamp | 19 | 0 | N | N | CURRENT_TIMESTAMP | 创建时间: |
| 9 | update_time | timestamp | 19 | 0 | N | N | CURRENT_TIMESTAMP | 更新时间: |
| 编号 | 名称 | 数据类型 | 长度 | 小数位 | 允许空值 | 主键 | 默认值 | 说明 |
| 1 | auth_id | int | 10 | 0 | N | Y | 授权ID: | |
| 2 | user_group | varchar | 64 | 0 | Y | N | 用户组: | |
| 3 | mod_name | varchar | 64 | 0 | Y | N | 模块名: | |
| 4 | table_name | varchar | 64 | 0 | Y | N | 表名: | |
| 5 | page_title | varchar | 255 | 0 | Y | N | 页面标题: | |
| 6 | path | varchar | 255 | 0 | Y | N | 路由路径: | |
| 7 | parent | varchar | 64 | 0 | Y | N | 父级菜单 | |
| 8 | parent_sort | int | 10 | 0 | N | N | 0 | 父级菜单排序 |
| 9 | position | varchar | 32 | 0 | Y | N | 位置: | |
| 10 | mode | varchar | 32 | 0 | N | N | _blank | 跳转方式: |
| 11 | add | tinyint | 3 | 0 | N | N | 1 | 是否可增加: |
| 12 | del | tinyint | 3 | 0 | N | N | 1 | 是否可删除: |
| 13 | set | tinyint | 3 | 0 | N | N | 1 | 是否可修改: |
| 14 | get | tinyint | 3 | 0 | N | N | 1 | 是否可查看: |
| 15 | field_add | text | 65535 | 0 | Y | N | 添加字段: | |
| 16 | field_set | text | 65535 | 0 | Y | N | 修改字段: | |
| 17 | field_get | text | 65535 | 0 | Y | N | 查询字段: | |
| 18 | table_nav_name | varchar | 500 | 0 | Y | N | 跨表导航名称: | |
| 19 | table_nav | varchar | 500 | 0 | Y | N | 跨表导航: | |
| 20 | option | text | 65535 | 0 | Y | N | 配置: | |
| 21 | create_time | timestamp | 19 | 0 | N | N | CURRENT_TIMESTAMP | 创建时间: |
| 22 | update_time | timestamp | 19 | 0 | N | N | CURRENT_TIMESTAMP | 更新时间: |
| 编号 | 名称 | 数据类型 | 长度 | 小数位 | 允许空值 | 主键 | 默认值 | 说明 |
| 1 | buyer_user_id | int | 10 | 0 | N | Y | 买家用户ID | |
| 2 | buyers_name | varchar | 64 | 0 | N | N | 买家姓名 | |
| 3 | buyers_gender | varchar | 64 | 0 | Y | N | 买家性别 | |
| 4 | buyers_age | double | 9 | 2 | Y | N | 0.00 | 买家年龄 |
| 5 | contact_information | varchar | 16 | 0 | Y | N | 联系方式 | |
| 6 | credit_score | double | 9 | 2 | Y | N | 0.00 | 信用分数 |
| 7 | membership_level | varchar | 64 | 0 | Y | N | 会员等级 | |
| 8 | member_discount | varchar | 64 | 0 | Y | N | 会员折扣 | |
| 9 | user_points | double | 9 | 2 | Y | N | 0.00 | 用户积分 |
| 10 | examine_state | varchar | 16 | 0 | N | N | 已通过 | 审核状态 |
| 11 | user_id | int | 10 | 0 | N | N | 0 | 用户ID |
| 12 | create_time | datetime | 19 | 0 | N | N | CURRENT_TIMESTAMP | 创建时间 |
| 13 | update_time | timestamp | 19 | 0 | N | N | CURRENT_TIMESTAMP | 更新时间 |
| 编号 | 名称 | 数据类型 | 长度 | 小数位 | 允许空值 | 主键 | 默认值 | 说明 |
| 1 | chat_online_id | int | 10 | 0 | N | Y | 在线聊天ID | |
| 2 | seller_account | int | 10 | 0 | Y | N | 0 | 卖家账号 |
| 3 | buyer_account | int | 10 | 0 | Y | N | 0 | 买家账号 |
| 4 | sending_time | datetime | 19 | 0 | Y | N | 发送时间 | |
| 5 | buyer_news | longtext | 2147483647 | 0 | Y | N | 买家消息 | |
| 6 | seller_news | longtext | 2147483647 | 0 | Y | N | 卖家消息 | |
| 7 | create_time | datetime | 19 | 0 | N | N | CURRENT_TIMESTAMP | 创建时间 |
| 8 | update_time | timestamp | 19 | 0 | N | N | CURRENT_TIMESTAMP | 更新时间 |
| 9 | source_table | varchar | 255 | 0 | Y | N | 来源表 | |
| 10 | source_id | int | 10 | 0 | Y | N | 来源ID | |
| 11 | source_user_id | int | 10 | 0 | Y | N | 来源用户 |
| 编号 | 名称 | 数据类型 | 长度 | 小数位 | 允许空值 | 主键 | 默认值 | 说明 |
| 1 | code_token_id | int | 10 | 0 | N | Y | ||
| 2 | token | varchar | 255 | 0 | Y | N | ||
| 3 | code | varchar | 255 | 0 | Y | N | 验证码 | |
| 4 | expire_time | timestamp | 19 | 0 | N | N | CURRENT_TIMESTAMP | 失效时间 |
| 5 | create_time | timestamp | 19 | 0 | N | N | CURRENT_TIMESTAMP | 创建时间 |
| 6 | update_time | timestamp | 19 | 0 | N | N | CURRENT_TIMESTAMP | 更新时间: |
| 编号 | 名称 | 数据类型 | 长度 | 小数位 | 允许空值 | 主键 | 默认值 | 说明 |
| 1 | collect_id | int | 10 | 0 | N | Y | 收藏ID: | |
| 2 | user_id | int | 10 | 0 | N | N | 0 | 收藏人ID: |
| 3 | source_table | varchar | 255 | 0 | Y | N | 来源表: | |
| 4 | source_field | varchar | 255 | 0 | Y | N | 来源字段: | |
| 5 | source_id | int | 10 | 0 | N | N | 0 | 来源ID: |
| 6 | title | varchar | 255 | 0 | Y | N | 标题: | |
| 7 | img | varchar | 255 | 0 | Y | N | 封面: | |
| 8 | create_time | timestamp | 19 | 0 | N | N | CURRENT_TIMESTAMP | 创建时间: |
| 9 | update_time | timestamp | 19 | 0 | N | N | CURRENT_TIMESTAMP | 更新时间: |
| 编号 | 名称 | 数据类型 | 长度 | 小数位 | 允许空值 | 主键 | 默认值 | 说明 |
| 1 | collect_information_id | int | 10 | 0 | N | Y | 领取信息ID | |
| 2 | coupon_name | varchar | 64 | 0 | Y | N | 优惠券名 | |
| 3 | publish_merchant | int | 10 | 0 | Y | N | 0 | 发布商家 |
| 4 | collecting_users | int | 10 | 0 | Y | N | 0 | 领取用户 |
| 5 | buyers_name | varchar | 64 | 0 | Y | N | 买家姓名 | |
| 6 | god_coupon_number | varchar | 64 | 0 | Y | N | 神券编号 | |
| 7 | collection_time | datetime | 19 | 0 | Y | N | 领取时间 | |
| 8 | retrieve_remarks | text | 65535 | 0 | Y | N | 领取备注 | |
| 9 | create_time | datetime | 19 | 0 | N | N | CURRENT_TIMESTAMP | 创建时间 |
| 10 | update_time | timestamp | 19 | 0 | N | N | CURRENT_TIMESTAMP | 更新时间 |
| 11 | source_table | varchar | 255 | 0 | Y | N | 来源表 | |
| 12 | source_id | int | 10 | 0 | Y | N | 来源ID | |
| 13 | source_user_id | int | 10 | 0 | Y | N | 来源用户 |
| 编号 | 名称 | 数据类型 | 长度 | 小数位 | 允许空值 | 主键 | 默认值 | 说明 |
| 1 | comment_id | int | 10 | 0 | N | Y | 评论ID: | |
| 2 | user_id | int | 10 | 0 | N | N | 0 | 评论人ID: |
| 3 | reply_to_id | int | 10 | 0 | N | N | 0 | 回复评论ID:空为0 |
| 4 | content | longtext | 2147483647 | 0 | Y | N | 内容: | |
| 5 | nickname | varchar | 255 | 0 | Y | N | 昵称: | |
| 6 | avatar | varchar | 255 | 0 | Y | N | 头像地址:[0,255] | |
| 7 | create_time | timestamp | 19 | 0 | N | N | CURRENT_TIMESTAMP | 创建时间: |
| 8 | update_time | timestamp | 19 | 0 | N | N | CURRENT_TIMESTAMP | 更新时间: |
| 9 | source_table | varchar | 255 | 0 | Y | N | 来源表: | |
| 10 | source_field | varchar | 255 | 0 | Y | N | 来源字段: | |
| 11 | source_id | int | 10 | 0 | N | N | 0 | 来源ID: |
| 编号 | 名称 | 数据类型 | 长度 | 小数位 | 允许空值 | 主键 | 默认值 | 说明 |
| 1 | discount_coupon_id | int | 10 | 0 | N | Y | 优惠神券ID | |
| 2 | coupon_name | varchar | 64 | 0 | Y | N | 优惠券名 | |
| 3 | publish_merchant | int | 10 | 0 | Y | N | 0 | 发布商家 |
| 4 | seller_name | varchar | 64 | 0 | Y | N | 卖家姓名 | |
| 5 | cover_photo | varchar | 255 | 0 | Y | N | 封面图片 | |
| 6 | discount_information | text | 65535 | 0 | Y | N | 优惠信息 | |
| 7 | details_and_introduction | longtext | 2147483647 | 0 | Y | N | 详情简介 | |
| 8 | hits | int | 10 | 0 | N | N | 0 | 点击数 |
| 9 | praise_len | int | 10 | 0 | N | N | 0 | 点赞数 |
| 10 | collect_len | int | 10 | 0 | N | N | 0 | 收藏数 |
| 11 | comment_len | int | 10 | 0 | N | N | 0 | 评论数 |
| 12 | collect_information_limit_times | int | 10 | 0 | N | N | 0 | 领取优惠券限制次数 |
| 13 | create_time | datetime | 19 | 0 | N | N | CURRENT_TIMESTAMP | 创建时间 |
| 14 | update_time | timestamp | 19 | 0 | N | N | CURRENT_TIMESTAMP | 更新时间 |
| 编号 | 名称 | 数据类型 | 长度 | 小数位 | 允许空值 | 主键 | 默认值 | 说明 |
| 1 | hits_id | int | 10 | 0 | N | Y | 点赞ID: | |
| 2 | user_id | int | 10 | 0 | N | N | 0 | 点赞人: |
| 3 | create_time | timestamp | 19 | 0 | N | N | CURRENT_TIMESTAMP | 创建时间: |
| 4 | update_time | timestamp | 19 | 0 | N | N | CURRENT_TIMESTAMP | 更新时间: |
| 5 | source_table | varchar | 255 | 0 | Y | N | 来源表: | |
| 6 | source_field | varchar | 255 | 0 | Y | N | 来源字段: | |
| 7 | source_id | int | 10 | 0 | N | N | 0 | 来源ID: |
| 编号 | 名称 | 数据类型 | 长度 | 小数位 | 允许空值 | 主键 | 默认值 | 说明 |
| 1 | membership_level_id | int | 10 | 0 | N | Y | 会员等级ID | |
| 2 | member_name | varchar | 64 | 0 | Y | N | 会员名称 | |
| 3 | member_discount | double | 9 | 2 | Y | N | 0.00 | 会员折扣 |
| 4 | create_time | datetime | 19 | 0 | N | N | CURRENT_TIMESTAMP | 创建时间 |
| 5 | update_time | timestamp | 19 | 0 | N | N | CURRENT_TIMESTAMP | 更新时间 |
| 编号 | 名称 | 数据类型 | 长度 | 小数位 | 允许空值 | 主键 | 默认值 | 说明 |
| 1 | notice_id | mediumint | 8 | 0 | N | Y | 公告id: | |
| 2 | title | varchar | 125 | 0 | N | N | 标题: | |
| 3 | content | longtext | 2147483647 | 0 | Y | N | 正文: | |
| 4 | create_time | timestamp | 19 | 0 | N | N | CURRENT_TIMESTAMP | 创建时间: |
| 5 | update_time | timestamp | 19 | 0 | N | N | CURRENT_TIMESTAMP | 更新时间: |
| 编号 | 名称 | 数据类型 | 长度 | 小数位 | 允许空值 | 主键 | 默认值 | 说明 |
| 1 | online_feedback_id | int | 10 | 0 | N | Y | 在线反馈ID | |
| 2 | feedback_to_users | int | 10 | 0 | Y | N | 0 | 反馈用户 |
| 3 | feedback_title | varchar | 64 | 0 | Y | N | 反馈标题 | |
| 4 | feedback_type | varchar | 64 | 0 | Y | N | 反馈类型 | |
| 5 | feedback_time | datetime | 19 | 0 | Y | N | 反馈时间 | |
| 6 | feedback_content | longtext | 2147483647 | 0 | Y | N | 反馈内容 | |
| 7 | examine_state | varchar | 16 | 0 | N | N | 未审核 | 审核状态 |
| 8 | examine_reply | varchar | 16 | 0 | Y | N | 审核回复 | |
| 9 | create_time | datetime | 19 | 0 | N | N | CURRENT_TIMESTAMP | 创建时间 |
| 10 | update_time | timestamp | 19 | 0 | N | N | CURRENT_TIMESTAMP | 更新时间 |
| 编号 | 名称 | 数据类型 | 长度 | 小数位 | 允许空值 | 主键 | 默认值 | 说明 |
| 1 | praise_id | int | 10 | 0 | N | Y | 点赞ID: | |
| 2 | user_id | int | 10 | 0 | N | N | 0 | 点赞人: |
| 3 | create_time | timestamp | 19 | 0 | N | N | CURRENT_TIMESTAMP | 创建时间: |
| 4 | update_time | timestamp | 19 | 0 | N | N | CURRENT_TIMESTAMP | 更新时间: |
| 5 | source_table | varchar | 255 | 0 | Y | N | 来源表: | |
| 6 | source_field | varchar | 255 | 0 | Y | N | 来源字段: | |
| 7 | source_id | int | 10 | 0 | N | N | 0 | 来源ID: |
| 8 | status | bit | 1 | 0 | N | N | 1 | 点赞状态:1为点赞,0已取消 |
| 编号 | 名称 | 数据类型 | 长度 | 小数位 | 允许空值 | 主键 | 默认值 | 说明 |
| 1 | product_type_id | int | 10 | 0 | N | Y | 商品类型ID | |
| 2 | type_name | varchar | 64 | 0 | Y | N | 类型名称 | |
| 3 | create_time | datetime | 19 | 0 | N | N | CURRENT_TIMESTAMP | 创建时间 |
| 4 | update_time | timestamp | 19 | 0 | N | N | CURRENT_TIMESTAMP | 更新时间 |
| 编号 | 名称 | 数据类型 | 长度 | 小数位 | 允许空值 | 主键 | 默认值 | 说明 |
| 1 | renewal_information_id | int | 10 | 0 | N | Y | 续租信息ID | |
| 2 | buyer_user | int | 10 | 0 | Y | N | 0 | 买家用户 |
| 3 | buyers_name | varchar | 64 | 0 | Y | N | 买家姓名 | |
| 4 | seller_account | int | 10 | 0 | Y | N | 0 | 卖家账号 |
| 5 | product_code | varchar | 64 | 0 | Y | N | 商品编号 | |
| 6 | product_name | varchar | 64 | 0 | Y | N | 商品名称 | |
| 7 | renewal_period | datetime | 19 | 0 | Y | N | 续租时间 | |
| 8 | rental_price | double | 9 | 2 | Y | N | 0.00 | 租赁价钱 |
| 9 | renewal_duration | double | 9 | 2 | Y | N | 0.00 | 续租时长 |
| 10 | renewal_price | varchar | 64 | 0 | Y | N | 续租价格 | |
| 11 | examine_state | varchar | 16 | 0 | N | N | 未审核 | 审核状态 |
| 12 | examine_reply | varchar | 16 | 0 | Y | N | 审核回复 | |
| 13 | pay_state | varchar | 16 | 0 | N | N | 未支付 | 支付状态 |
| 14 | pay_type | varchar | 16 | 0 | Y | N | 支付类型: 微信、支付宝、网银 | |
| 15 | create_time | datetime | 19 | 0 | N | N | CURRENT_TIMESTAMP | 创建时间 |
| 16 | update_time | timestamp | 19 | 0 | N | N | CURRENT_TIMESTAMP | 更新时间 |
| 17 | source_table | varchar | 255 | 0 | Y | N | 来源表 | |
| 18 | source_id | int | 10 | 0 | Y | N | 来源ID | |
| 19 | source_user_id | int | 10 | 0 | Y | N | 来源用户 |
| 编号 | 名称 | 数据类型 | 长度 | 小数位 | 允许空值 | 主键 | 默认值 | 说明 |
| 1 | rental_information_id | int | 10 | 0 | N | Y | 租赁信息ID | |
| 2 | buyer_user | int | 10 | 0 | Y | N | 0 | 买家用户 |
| 3 | buyers_name | varchar | 64 | 0 | Y | N | 买家姓名 | |
| 4 | membership_level | varchar | 64 | 0 | Y | N | 会员等级 | |
| 5 | member_discount | double | 9 | 2 | Y | N | 0.00 | 会员折扣 |
| 6 | seller_account | int | 10 | 0 | Y | N | 0 | 卖家账号 |
| 7 | product_code | varchar | 64 | 0 | Y | N | 商品编号 | |
| 8 | product_name | varchar | 64 | 0 | Y | N | 商品名称 | |
| 9 | rental_price | double | 9 | 2 | Y | N | 0.00 | 租赁价钱 |
| 10 | rental_unit | varchar | 64 | 0 | Y | N | 租赁单位 | |
| 11 | lease_days | double | 9 | 2 | Y | N | 0.00 | 租赁天数 |
| 12 | total_price | double | 9 | 2 | Y | N | 0.00 | 合计总价 |
| 13 | favorable_price | double | 9 | 2 | Y | N | 0.00 | 优惠价格 |
| 14 | examine_state | varchar | 16 | 0 | N | N | 未审核 | 审核状态 |
| 15 | examine_reply | varchar | 16 | 0 | Y | N | 审核回复 | |
| 16 | pay_state | varchar | 16 | 0 | N | N | 未支付 | 支付状态 |
| 17 | pay_type | varchar | 16 | 0 | Y | N | 支付类型: 微信、支付宝、网银 | |
| 18 | return_information_limit_times | int | 10 | 0 | N | N | 0 | 归还物品限制次数 |
| 19 | after_sales_information_limit_times | int | 10 | 0 | N | N | 0 | 申请售后限制次数 |
| 20 | renewal_information_limit_times | int | 10 | 0 | N | N | 0 | 申请续租限制次数 |
| 21 | create_time | datetime | 19 | 0 | N | N | CURRENT_TIMESTAMP | 创建时间 |
| 22 | update_time | timestamp | 19 | 0 | N | N | CURRENT_TIMESTAMP | 更新时间 |
| 23 | source_table | varchar | 255 | 0 | Y | N | 来源表 | |
| 24 | source_id | int | 10 | 0 | Y | N | 来源ID | |
| 25 | source_user_id | int | 10 | 0 | Y | N | 来源用户 |
| 编号 | 名称 | 数据类型 | 长度 | 小数位 | 允许空值 | 主键 | 默认值 | 说明 |
| 1 | rental_mall_id | int | 10 | 0 | N | Y | 租赁商城ID | |
| 2 | seller_account | int | 10 | 0 | Y | N | 0 | 卖家账号 |
| 3 | product_code | varchar | 64 | 0 | Y | N | 商品编号 | |
| 4 | product_name | varchar | 64 | 0 | Y | N | 商品名称 | |
| 5 | product_type | varchar | 64 | 0 | Y | N | 商品类型 | |
| 6 | cover_photo | varchar | 255 | 0 | Y | N | 封面图片 | |
| 7 | rental_price | double | 9 | 2 | Y | N | 0.00 | 租赁价钱 |
| 8 | rental_unit | varchar | 64 | 0 | Y | N | 租赁单位 | |
| 9 | upload_time | datetime | 19 | 0 | Y | N | 上传时间 | |
| 10 | product_introduction | text | 65535 | 0 | Y | N | 商品介绍 | |
| 11 | details_and_introduction | longtext | 2147483647 | 0 | Y | N | 详情简介 | |
| 12 | hits | int | 10 | 0 | N | N | 0 | 点击数 |
| 13 | praise_len | int | 10 | 0 | N | N | 0 | 点赞数 |
| 14 | collect_len | int | 10 | 0 | N | N | 0 | 收藏数 |
| 15 | comment_len | int | 10 | 0 | N | N | 0 | 评论数 |
| 16 | examine_state | varchar | 16 | 0 | N | N | 未审核 | 审核状态 |
| 17 | examine_reply | varchar | 16 | 0 | Y | N | 审核回复 | |
| 18 | rental_information_limit_times | int | 10 | 0 | N | N | 0 | 租赁物品限制次数 |
| 19 | chat_online_limit_times | int | 10 | 0 | N | N | 0 | 在线聊天限制次数 |
| 20 | create_time | datetime | 19 | 0 | N | N | CURRENT_TIMESTAMP | 创建时间 |
| 21 | update_time | timestamp | 19 | 0 | N | N | CURRENT_TIMESTAMP | 更新时间 |
| 编号 | 名称 | 数据类型 | 长度 | 小数位 | 允许空值 | 主键 | 默认值 | 说明 |
| 1 | return_information_id | int | 10 | 0 | N | Y | 归还信息ID | |
| 2 | buyer_user | int | 10 | 0 | Y | N | 0 | 买家用户 |
| 3 | buyers_name | varchar | 64 | 0 | Y | N | 买家姓名 | |
| 4 | seller_account | int | 10 | 0 | Y | N | 0 | 卖家账号 |
| 5 | product_code | varchar | 64 | 0 | Y | N | 商品编号 | |
| 6 | product_name | varchar | 64 | 0 | Y | N | 商品名称 | |
| 7 | return_time | datetime | 19 | 0 | Y | N | 归还时间 | |
| 8 | return_remarks | text | 65535 | 0 | Y | N | 归还备注 | |
| 9 | create_time | datetime | 19 | 0 | N | N | CURRENT_TIMESTAMP | 创建时间 |
| 10 | update_time | timestamp | 19 | 0 | N | N | CURRENT_TIMESTAMP | 更新时间 |
| 11 | source_table | varchar | 255 | 0 | Y | N | 来源表 | |
| 12 | source_id | int | 10 | 0 | Y | N | 来源ID | |
| 13 | source_user_id | int | 10 | 0 | Y | N | 来源用户 |
| 编号 | 名称 | 数据类型 | 长度 | 小数位 | 允许空值 | 主键 | 默认值 | 说明 |
| 1 | schedule_id | smallint | 5 | 0 | N | Y | 日程ID:[0,32767] | |
| 2 | content | varchar | 255 | 0 | Y | N | 日程内容 | |
| 3 | scheduled_time | datetime | 19 | 0 | Y | N | 计划时间 | |
| 4 | user_id | int | 10 | 0 | N | N | 用户id | |
| 5 | create_time | datetime | 19 | 0 | Y | N | 创建时间 | |
| 6 | update_time | datetime | 19 | 0 | Y | N | 更新时间 |
| 编号 | 名称 | 数据类型 | 长度 | 小数位 | 允许空值 | 主键 | 默认值 | 说明 |
| 1 | score_id | int | 10 | 0 | N | Y | 评分ID: | |
| 2 | user_id | int | 10 | 0 | N | N | 0 | 评分人: |
| 3 | nickname | varchar | 64 | 0 | Y | N | 昵称: | |
| 4 | score_num | double | 5 | 2 | N | N | 0.00 | 评分: |
| 5 | create_time | timestamp | 19 | 0 | N | N | CURRENT_TIMESTAMP | 创建时间: |
| 6 | update_time | timestamp | 19 | 0 | N | N | CURRENT_TIMESTAMP | 更新时间: |
| 7 | source_table | varchar | 255 | 0 | Y | N | 来源表: | |
| 8 | source_field | varchar | 255 | 0 | Y | N | 来源字段: | |
| 9 | source_id | int | 10 | 0 | N | N | 0 | 来源ID: |
| 编号 | 名称 | 数据类型 | 长度 | 小数位 | 允许空值 | 主键 | 默认值 | 说明 |
| 1 | seller_customers_id | int | 10 | 0 | N | Y | 卖家用户ID | |
| 2 | seller_name | varchar | 64 | 0 | Y | N | 卖家姓名 | |
| 3 | sellers_age | double | 9 | 2 | Y | N | 0.00 | 卖家年龄 |
| 4 | sellers_gender | varchar | 64 | 0 | Y | N | 卖家性别 | |
| 5 | contact_information | varchar | 16 | 0 | Y | N | 联系方式 | |
| 6 | credit_score | double | 9 | 2 | Y | N | 0.00 | 信用分数 |
| 7 | examine_state | varchar | 16 | 0 | N | N | 未审核 | 审核状态 |
| 8 | examine_reply | varchar | 16 | 0 | Y | N | 审核回复 | |
| 9 | user_id | int | 10 | 0 | N | N | 0 | 用户ID |
| 10 | create_time | datetime | 19 | 0 | N | N | CURRENT_TIMESTAMP | 创建时间 |
| 11 | update_time | timestamp | 19 | 0 | N | N | CURRENT_TIMESTAMP | 更新时间 |
| 编号 | 名称 | 数据类型 | 长度 | 小数位 | 允许空值 | 主键 | 默认值 | 说明 |
| 1 | slides_id | int | 10 | 0 | N | Y | 轮播图ID: | |
| 2 | title | varchar | 64 | 0 | Y | N | 标题: | |
| 3 | content | varchar | 255 | 0 | Y | N | 内容: | |
| 4 | url | varchar | 255 | 0 | Y | N | 链接: | |
| 5 | img | varchar | 255 | 0 | Y | N | 轮播图: | |
| 6 | hits | int | 10 | 0 | N | N | 0 | 点击量: |
| 7 | create_time | timestamp | 19 | 0 | N | N | CURRENT_TIMESTAMP | 创建时间: |
| 8 | update_time | timestamp | 19 | 0 | N | N | CURRENT_TIMESTAMP | 更新时间: |
| 编号 | 名称 | 数据类型 | 长度 | 小数位 | 允许空值 | 主键 | 默认值 | 说明 |
| 1 | upload_id | int | 10 | 0 | N | Y | 上传ID | |
| 2 | name | varchar | 64 | 0 | Y | N | 文件名 | |
| 3 | path | varchar | 255 | 0 | Y | N | 访问路径 | |
| 4 | file | varchar | 255 | 0 | Y | N | 文件路径 | |
| 5 | display | varchar | 255 | 0 | Y | N | 显示顺序 | |
| 6 | father_id | int | 10 | 0 | Y | N | 0 | 父级ID |
| 7 | dir | varchar | 255 | 0 | Y | N | 文件夹 | |
| 8 | type | varchar | 32 | 0 | Y | N | 文件类型 |
| 编号 | 名称 | 数据类型 | 长度 | 小数位 | 允许空值 | 主键 | 默认值 | 说明 |
| 1 | user_id | int | 10 | 0 | N | Y | 用户ID:[0,8388607]用户获取其他与用户相关的数据 | |
| 2 | state | smallint | 5 | 0 | N | N | 1 | 账户状态:[0,10](1可用|2异常|3已冻结|4已注销) |
| 3 | user_group | varchar | 32 | 0 | Y | N | 所在用户组:[0,32767]决定用户身份和权限 | |
| 4 | login_time | timestamp | 19 | 0 | N | N | CURRENT_TIMESTAMP | 上次登录时间: |
| 5 | phone | varchar | 11 | 0 | Y | N | 手机号码:[0,11]用户的手机号码,用于找回密码时或登录时 | |
| 6 | phone_state | smallint | 5 | 0 | N | N | 0 | 手机认证:[0,1](0未认证|1审核中|2已认证) |
| 7 | username | varchar | 16 | 0 | N | N | 用户名:[0,16]用户登录时所用的账户名称 | |
| 8 | nickname | varchar | 16 | 0 | Y | N | 昵称:[0,16] | |
| 9 | password | varchar | 64 | 0 | N | N | 密码:[0,32]用户登录所需的密码,由6-16位数字或英文组成 | |
| 10 | | varchar | 64 | 0 | Y | N | 邮箱:[0,64]用户的邮箱,用于找回密码时或登录时 | |
| 11 | email_state | smallint | 5 | 0 | N | N | 0 | 邮箱认证:[0,1](0未认证|1审核中|2已认证) |
| 12 | avatar | varchar | 255 | 0 | Y | N | 头像地址:[0,255] | |
| 13 | open_id | varchar | 255 | 0 | Y | N | 针对获取用户信息字段 | |
| 14 | create_time | timestamp | 19 | 0 | N | N | CURRENT_TIMESTAMP | 创建时间: |
| 编号 | 名称 | 数据类型 | 长度 | 小数位 | 允许空值 | 主键 | 默认值 | 说明 |
| 1 | group_id | mediumint | 8 | 0 | N | Y | 用户组ID:[0,8388607] | |
| 2 | display | smallint | 5 | 0 | N | N | 100 | 显示顺序:[0,1000] |
| 3 | name | varchar | 16 | 0 | N | N | 名称:[0,16] | |
| 4 | description | varchar | 255 | 0 | Y | N | 描述:[0,255]描述该用户组的特点或权限范围 | |
| 5 | source_table | varchar | 255 | 0 | Y | N | 来源表: | |
| 6 | source_field | varchar | 255 | 0 | Y | N | 来源字段: | |
| 7 | source_id | int | 10 | 0 | N | N | 0 | 来源ID: |
| 8 | register | smallint | 5 | 0 | Y | N | 0 | 注册位置: |
| 9 | create_time | timestamp | 19 | 0 | N | N | CURRENT_TIMESTAMP | 创建时间: |
| 10 | update_time | timestamp | 19 | 0 | N | N | CURRENT_TIMESTAMP | 更新时间: |
第5章系统实现
5.1买家用户功能模块
5.1.1 买家用户注册界面
游客可以随时进入到系统中,对系统中的信息浏览,但是想要实现预约申请、评论收藏等,就必须有这个系统的账号,如果没有账号的话,可以注册成买家用户进行相关的操作,同时用户还可以对个人信息以及操作的信息进行管控。用户注册界面如图 5-1所示。
图 5-1用户注册界面
注册关键代码如下:
/**
* 注册
* @param user
* @return
*/
@PostMapping("register")
public Map<String, Object> signUp(@RequestBody User user) {
// 查询用户
Map<String, String> query = new HashMap<>();
Map<String,Object> map = JSON.parseObject(JSON.toJSONString(user));
query.put("username",user.getUsername());
List list = service.selectBaseList(service.select(query, new HashMap<>()));
if (list.size()>0){
return error(30000, "用户已存在");
}
map.put("password",service.encryption(String.valueOf(map.get("password"))));
service.insert(map);
return success(1);
}
5.1.2 用户登录界面
当用户注册完成后就可以登录了,输入用户名+密码,通过滑动图片验证后,点击“登录”按钮进行登录。用户登录界面如图 5-2所示。
登录关键代码如下:
/**
* 登录
* @param data
* @param httpServletRequest
* @return
*/
@PostMapping("login")
public Map<String, Object> login(@RequestBody Map<String, String> data, HttpServletRequest httpServletRequest) {
log.info("[执行登录接口]");
String username = data.get("username");
String email = data.get("email");
String phone = data.get("phone");
String password = data.get("password");
List resultList = null;
Map<String, String> map = new HashMap<>();
if(username != null && "".equals(username) == false){
map.put("username", username);
resultList = service.selectBaseList(service.select(map, new HashMap<>()));
}
else if(email != null && "".equals(email) == false){
map.put("email", email);
resultList = service.selectBaseList(service.select(map, new HashMap<>()));
}
else if(phone != null && "".equals(phone) == false){
map.put("phone", phone);
resultList = service.selectBaseList(service.select(map, new HashMap<>()));
}else{
return error(30000, "账号或密码不能为空");
}
if (resultList == null || password == null) {
return error(30000, "账号或密码不能为空");
}
//判断是否有这个用户
if (resultList.size()<=0){
return error(30000,"用户不存在");
}
User byUsername = (User) resultList.get(0);
Map<String, String> groupMap = new HashMap<>();
groupMap.put("name",byUsername.getUserGroup());
List groupList = userGroupService.selectBaseList(userGroupService.select(groupMap, new HashMap<>()));
if (groupList.size()<1){
return error(30000,"用户组不存在");
}
UserGroup userGroup = (UserGroup) groupList.get(0);
//查询用户审核状态
if (!StringUtils.isEmpty(userGroup.getSourceTable())){
String res = service.selectExamineState(userGroup.getSourceTable(),byUsername.getUserId());
if (res==null){
return error(30000,"用户不存在");
}
if (!res.equals("已通过")){
return error(30000,"该用户审核未通过");
}
}
//查询用户状态
if (byUsername.getState()!=1){
return error(30000,"用户非可用状态,不能登录");
}
String md5password = service.encryption(password);
if (byUsername.getPassword().equals(md5password)) {
// 存储Token到数据库
AccessToken accessToken = new AccessToken();
accessToken.setToken(UUID.randomUUID().toString().replaceAll("-", ""));
accessToken.setUser_id(byUsername.getUserId());
Duration duration = Duration.ofSeconds(7200L);
redisTemplate.opsForValue().set(accessToken.getToken(), accessToken,duration);
// 返回用户信息
JSONObject user = JSONObject.parseObject(JSONObject.toJSONString(byUsername));
user.put("token", accessToken.getToken());
JSONObject ret = new JSONObject();
ret.put("obj",user);
return success(ret);
} else {
return error(30000, "账号或密码不正确");
}
}
5.1.3 新闻资讯界面
买家用户点击“新闻资讯”菜单显示所有的新闻资讯信息,可以按照条件进行资讯的筛选或者输入关键词进行局部搜索,点击可以进入资讯详细展示界面,在此界面用户可以收藏、点赞和评论。新闻资讯界面如图 5-3所示。
5.1.4 租赁商城界面
租赁商城:买家用户可以在租赁商城查看租赁信息详情,包括卖家账号、商品名称、类型、租赁价格、天数等信息,可以进行点赞收藏评论,还可以再干兴趣的商品下点击“租赁物品”或者先跟卖家进行“在线聊天”等操作。界面如图 5-4所示。
5.1.5 优惠神券界面
优惠神券:买家用户可以在购买的卖家商城里选择优惠神券,可以进行点赞收藏评论等操作。界面如图 5-5所示。
图 5-5优惠神券息界面
5.1.6 个人中心界面
个人中心:买家用户点击个人中心可以查看:个人首页、租赁信息、续租信息、归还信息、售后信息、在线聊天、领取信息、在线反馈和收藏及评论管理功能;像查看租赁信息的审核状态,然后审核通过后可以进行支付,也可以在“续租信息”里点击续租申请,“归还信息”等操作。界面所下图图 5-6示。
5.2卖家用户管理模块的实现
5.2.1 租赁商城管理界面
租赁商城管理:卖家用户可以管理租赁商城列表及添加信息,包括商品名称、类型、租赁单位、租赁价格、图片、商品介绍详情等信息。界面如图 5-7所示。
5.2.2 优惠神券管理界面
优惠神券管理:卖家用户可以管理优惠神券列表及添加信息,包括优惠券名、发布商家、卖家姓名、封面、优惠信息详情等信息。界面如图 5-8所示。
5.2.3 售后信息管理界面
售后信息管理:卖家可以查看管理所有售后申请信息,并进行审核处理的操作。界面如图 5-9所示。
5.3管理员模块的实现
5.3.1系统用户管理界面
系统用户:管理员点击“系统用户”菜单可以对系统中存在的用户进行管理,包含了管理员用户、卖家用户和买家用户,其中卖家用户由管理员后台审核才能登录。页面界面图 5-10所示。
5.3.2租赁商城管理界面
租赁商城管理:卖家用户添加商城租赁信息,管理员在后台进行审核,审核通过后方可发布。界面如图 5-11所示。
5.3.3会员等级管理界面
会员等级管理:管理员可以管理会员等级列表及添加会员等级信息,包括会员名称、会员折扣等信息。界面如图 5-12所示
5.3.4 系统管理
系统管理:管理员点击“系统管理”菜单可以对首页展示的轮播图进行增删改查。界面如图 5-13所示。
5.3.5资源管理界面
管理员点击“资源管理”菜单能够对其下子菜单新闻资讯和资讯的分类进行增删改查。界面如下图 5-14所示。
第6章系统测试
6.1测试目的
无论什么样的系统,测试都至关重要,因为它们可以帮助我们检查出潜藏的缺陷,从而确保它们的性能和稳定性,避免Bug的出现,并确保它们的功能和性价比达到预期的要求。为了确保系统的安全、高效、可靠,我们将采取三种不同的方法:单元、功能、及AP的检验。
6.2系统测试用例
系统测试包括:用户登录功能测试、通知公告查看功能测试、租赁信息添加、商品信息搜索、密码修改发布功能测试,如表6-1、6-2、6-3、6-4、6-5所示:
用户登录功能测试:
表6-1 用户登录功能测试表
| 用例名称 | 用户登录系统 |
| 目的 | 测试用户通过正确的用户名和密码可否登录功能 |
| 前提 | 未登录的情况下 |
| 测试流程 | 1) 进入登录页面 2) 输入正确的用户名和密码 |
| 预期结果 | 用户名和密码正确的时候,跳转到登录成功界面,反之则显示错误信息,提示重新输入 |
| 实际结果 | 实际结果与预期结果一致 |
通知公告查看功能测试:
表6-2 通知公告查看功能测试表
| 用例名称 | 通知公告查看 |
| 目的 | 测试通知公告查看功能 |
| 前提 | 用户登录 |
| 测试流程 | 点击通知公告 |
| 预期结果 | 可以查看到所有通知公告信息 |
| 实际结果 | 实际结果与预期结果一致 |
管理者添加租赁信息界面测试:
表6-3 管理者添加租赁信息界面测试表
| 用例名称 | 添加租赁信息测试用例 |
| 目的 | 测试租赁信息添加功能 |
| 前提 | 管理者用户正常登录情况下 |
| 测试流程 | 1)管理者点击租赁信息,然后点击添加后并填写信息。 2)点击进行提交。 |
| 预期结果 | 提交以后,页面首页会显示新的租赁信息信息 |
| 实际结果 | 实际结果与预期结果一致 |
商品信息搜索功能测试:
表6-4商品信息搜索功能测试表
| 用例名称 | 商品信息搜索测试 |
| 目的 | 测试商品信息搜索功能 |
| 前提 | 无 |
| 测试流程 | 1)在搜索框填入搜索关键字。 2)点击搜索按钮。 |
| 预期结果 | 页面显示包含有搜索关键字的商品信息 |
| 实际结果 | 实际结果与预期结果一致 |
密码修改搜索功能测试:
表6-5 密码修改功能测试表
| 用例名称 | 密码修改测试用例 |
| 目的 | 测试管理员密码修改功能 |
| 前提 | 管理员用户正常登录情况下 |
| 测试流程 | 1)管理员密码修改并完成填写。 2)点击进行提交。 |
| 预期结果 | 使用新的密码可以登录 |
| 实际结果 | 实际结果与预期结果一致 |
6.3系统评价
系统评价是指在系统完成或改建后,根据预定的系统目标或现有成绩,从技术、经济、社会、功能等方面进行的评价或审核。本系统个人初步评价如下。
(1)系统功能评价:
根据需求分析以及测试结果来看,本系统已将达到了初期的需求目标,满足了用户对应需求。
(2)系统技术评价:
本系统设计略显繁杂,开发过程中对功能进行了一定的简化,运行时较为稳定,暂未发现安全问题。
(3)系统经济评价:
系统在低成本开发的基础上达到了设计要求。预计可以为用户节省一定的人力、物力。
第7章总结
在开发校园租赁平台的设计与实现之前,首先通过网上查询现有的租赁系统功能、线下通过在在校生对租赁平台需求的问卷调查的方式,了解用户对租赁信息平台方面有什么具体需求,对系统的研究意义以及的选题背景及意义进行研究,设计了本校园租赁平台的设计与实现具体实现的功能;确定好功能后,第二步就是开发工具的选择,在设计本校园租赁平台的设计与实现的时候,采用了现下比较流程的Java语言,采用spring boot框架,数据的存储方面采用的是开源的MYSQL,接下来就是对系统需求的分析,在文中主要通过对校园租赁平台的设计与实现进行可行性、性能、功能、用例四个方面进行分析,确定了本校园租赁平台的设计与实现的具体功能,功能确定后就是对系统的设计以及包括前后台、数据库等方面,最终完成系统的开发,对系统进行测试总结。
在开发本校园租赁平台的设计与实现的过程中我成长了很多,学习到了很多书本上没有的知识,目前系统虽然已经完成,但是还有许多地方需要改进,比如界面布局方面,代码的编写方面,都可以进一步完善,由于自己专业知识的浅薄,系统做的并不是十分完美,以后我会不断进行学习,对系统进行完善,希望有机会能够投入到学校的使用当中,给同学们提供便利。
参考文献
- 李先梅,余丽萍,姜濛萌.大学校园服装租赁市场需求及经营模式分析——以湖北文理学院为例[J].市场周刊,2020,33(11):81-83..
- 孙岿,侯依林,孙吕明.共富共享发展理念下的牧区现代化道路研究——新巴尔虎右旗牧区现代化试点分析[J].黑龙江民族丛刊,2024,(06):69-79.DOI:10.16415/j.cnki.23-1021/c.2024.06.008.
- 刘婧琳,王静,刘星佟.租赁与交换型共享平台在大学校园内的应用探析[J].经济研究导刊,2019,(13):149-151.
- 陈小铜,王静,李华岳.创新型交易平台的建设——以校园租赁与交换为例[J].中国集体经济,2019,(28):64-65.
- 李锋,黄健华,李昌润,等.大学校园服装租赁市场需求的调查与分析[J].时代金融,2018,(35):313-314.
- 何诗汶,汪毓淇,何璇,等.服装租赁产业需求分析[J].现代商业,2023,(02):45-48.DOI:10.14097/j.cnki.5392/2023.02.024.
- Singhal P ,Sommer S ,Kaestner K , et al.Split-incentives in energy efficiency investments? Evidence from rental housing[J].Resource and Energy Economics,2025,82101488-101488.
- 王志涛.基于B/S模式的项目管理信息系统开发与设计[J].办公自动化,2024,29(24):84-86.
- 崔晨雨,务宇宽,戴嘉阳,等.基于B/S模式的项目可视化管理信息系统设计与实现[J].电脑知识与技术,2024,20(16):51-53.DOI:10.14004/j.cnki.ckt.2024.0855.
- 胡荣,羊雪玲.基于Spring Boot前后端分离Web系统的设计与实现[J].新能源与智能网联,2024,(01):88-97.
- 王鑫玮,冯锋.基于Java技术的“物联网技术”课程学习系统设计[J].物联网技术,2025,15(01):153-157.DOI:10.16667/j.issn.2095-1302.2025.01.037.
- 曾光辉,何波.混合教学模式在Java程序设计课程中的应用探索[J].科教文汇,2024,(24):79-82.DOI:10.16871/j.cnki.kjwh.2024.24.017.
- 周渠岸.租赁信息平台平台的设计与实现[J].电子技术,2021,50(10):70-71.
- 吕志强.基于Vue前端开发框架的管理系统设计[J].电脑知识与技术,2024,20(36):56-59.DOI:10.14004/j.cnki.ckt.2024.1900.
- 戴靓婕,王希.MYSQL数据库访问技术及Python运用研究[J].长江信息通信,2024,37(10):54-56.DOI:10.20153/j.issn.2096-9759.2024.10.014.
- 辛敏杰,樊淑文,徐鹿.基于微信公众号的校园二手运动器材租赁的分析——以“商大运动”为例[J].经济研究导刊,2018,(03):108-109.
- 王福英,谢纬,范馨元.高校大学生租赁业务发展现状及其对策研究[J].辽宁经济,2017,(10):66-67.DOI:10.14041/j.cnki.1003-4617.2017.10.025.
- 沈晗洋,贾倩楠,臧凤岐,等.校园自行车互助式租赁系统的研究与设计[J].设计,2015,(21):24-25.DOI:10.20055/j.cnki.1003-0069.2015.21.010.
- 蔡妍,刘振亮,姜淼.校园小微租赁服装服务企业经营模式研究[J].企业改革与管理,2014,(10):93+76.DOI:10.13768/j.cnki.cn11-3793/f.2014.0787.
致谢
在这3个月的毕业设计过程中,指导教师的指导发挥了至关重要的作用,他们的认真负责的工作态度、谨慎的教学精神以及丰富的理论知识,为我的设计提供了强有力的支持,使得整个过程顺利进行。她的教学方式非常认真,让我印象深刻。我从她那里学到了很多知识,并在实践中不断提升。我对这位老师表示由衷的感谢。
经过对毕业设计的全面研究和开发,我的系统取得了重大突破,从需求分析到实现复杂功能,再到最终的测试和维护,使我对系统有了更加深刻的理解。此外,我还在实践中不断提升自己的技能,解决复杂问题,这是这次毕业设计最大的收获。
最终,在整个系统开发的过程中,我的同学和朋友们给予了我极大的帮助,他们的建议让我能够迅速地确定系统的商业理念。因此,我深深地感谢他们的支持。
828

被折叠的 条评论
为什么被折叠?



