摘要
随着城市化进程的加快,流浪动物问题日益严重,成为城市管理中的一个突出社会问题。流浪动物不仅面临生存困境,还对公共安全、环境卫生等方面产生不良影响。因此,如何有效管理流浪动物、促进领养与救助,成为了亟待解决的课题。基于SpringBoot与MySQL技术开发的流浪动物管理系统,旨在为流浪动物救助、领养及信息管理提供一站式解决方案。系统通过对不同用户角色的权限划分,提升了管理效率和参与度。普通用户可以在平台上浏览流浪动物信息,申请领养或救助,并参与互动论坛,增强社会对流浪动物问题的关注和参与。管理员则可对流浪动物、领养申请、救助记录等进行集中管理,发布通知公告、新闻资讯等信息,确保平台内容的时效性和准确性。救助机构和志愿者能够有效协调资源,管理救助记录与申请,进一步优化流浪动物的救助流程。通过这一系统的实现,不仅提高了流浪动物的救助效率,减轻了动物的困境,也促进了社会各界对流浪动物保护的参与与关注,对于推动社会公益事业的发展、构建和谐社会具有积极意义。
关键词:流浪动物管理系统;SpringBoot;MySQL
Abstract
As urbanization accelerates, the problem of stray animals has become increasingly severe, emerging as a prominent social issue in urban management. Stray animals not only face survival difficulties but also pose negative impacts on public safety, environmental sanitation, and other areas. Therefore, how to effectively manage stray animals and promote adoption and rescue has become a pressing issue that needs to be addressed. The stray animal management system, developed using SpringBoot and MySQL technologies, aims to provide a one-stop solution for the rescue, adoption, and information management of stray animals. By dividing user roles and permissions, the system enhances management efficiency and participation. Ordinary users can browse information about stray animals on the platform, apply for adoption or rescue, and participate in interactive forums, which helps raise public awareness and involvement in stray animal issues. Administrators can centrally manage stray animals, adoption applications, rescue records, etc., and publish notifications, news, and other information, ensuring the timeliness and accuracy of platform content. Rescue organizations and volunteers can effectively coordinate resources and manage rescue records and applications, further optimizing the rescue process for stray animals. The implementation of this system not only improves the efficiency of stray animal rescue and alleviates the animals' plight but also encourages participation and attention from all sectors of society towards the protection of stray animals, contributing positively to the development of public welfare and the building of a harmonious society.
Key words: Stray animal management system; SpringBoot; MySQL
目录
1绪论
随着城市化进程的加速,流浪动物问题逐渐成为城市管理中的一大难题。大量流浪动物在城市街头游荡,不仅面临生存困境,还可能对公共安全、卫生环境等方面带来影响。许多流浪动物因缺乏有效的救助和领养渠道,导致其健康状况不断恶化,甚至无法得到及时的救助。传统的流浪动物救助方式往往存在信息不畅、资源分配不均等问题,造成救助工作效率低下。因此,亟需一个信息化、系统化的管理平台来高效组织救助资源、连接各方力量,并为公众提供参与和支持流浪动物救助的途径。在此背景下,开发一个基于现代技术的流浪动物管理系统显得尤为重要。
流浪动物问题不仅是社会管理中的一项挑战,更是反映社会文明和公益精神的重要标志。开发基于SpringBoot与MySQL的流浪动物管理系统,不仅能有效提高流浪动物的救助效率,还能通过信息化手段推动社会各界参与流浪动物保护事业。该系统通过对不同角色用户的功能划分,能够确保流浪动物的领养与救助流程更加规范、高效,同时为救助机构和志愿者提供一个协同工作的平台。系统的建立有助于提高社会公众对流浪动物问题的关注度,促进更多人参与到流浪动物的救助和领养工作中,推动社会对动物保护的认知与支持,从而为建设更具人文关怀的社会环境提供技术保障。
在国内,随着流浪动物问题日益突出,相关研究和管理实践逐渐得到重视。许多城市和地方政府已开始采取一定措施应对流浪动物的救助与管理问题。研究者们多集中于流浪动物的行为特征、救助策略及资源配置等方面,探索如何通过科学管理提高救助效率和动物福利。近年来,国内的一些学者尝试通过信息化手段来提升流浪动物管理的效率,探索构建线上平台来发布流浪动物信息、管理领养申请等内容。这些研究通过借助现代信息技术,推动了流浪动物救助流程的规范化,改善了公众参与和资源协调的渠道。然而,尽管国内已有一些地方开展了流浪动物管理的数字化探索,整体而言,流浪动物管理系统的普及和成熟度较低,平台的功能设计、数据整合及用户体验方面仍存在较多不足,尤其在动物救助信息的透明化和管理的高效性上仍有较大提升空间。因此,国内亟需更多关于流浪动物管理的系统性研究和技术实践。
在国外,流浪动物问题早已得到广泛关注,并且在许多国家和地区已经形成了较为成熟的流浪动物管理体系。欧美国家普遍建立了完善的动物保护法规,许多城市和组织通过数字平台对流浪动物进行监控、收养以及领养匹配。国外的研究主要集中在流浪动物的救助机制、动物收容所的管理优化以及智能化技术在动物保护中的应用等领域。例如,利用大数据和人工智能技术,国外的动物保护机构能够更精准地对流浪动物进行数据分析,追踪其领养进程和健康状态。这些研究和实践表明,信息技术在流浪动物管理中的应用能够显著提高资源利用效率,减少动物过度收容和浪费的情况。在流浪动物领养领域,许多平台还提供了在线申请、定期跟踪、志愿者协调等功能,提升了领养的成功率和动物福利。尽管如此,国外的流浪动物管理依然面临着如资源不足、管理不规范等挑战,需要进一步优化和发展相关的技术手段和管理流程。
本研究主要围绕流浪动物管理系统的设计与实现展开,旨在通过现代信息技术提升流浪动物救助与领养的效率。首先,研究将探索如何利用SpringBoot框架和MySQL数据库技术,构建一个具有多角色管理功能的系统平台。系统将分为普通用户、管理员、救助机构和志愿者等多个角色,每个角色拥有不同的操作权限,确保不同用户能够高效地完成流浪动物的救助、领养、记录管理等任务。对于普通用户,系统将提供流浪动物信息浏览、领养申请、救助申请、互动论坛等功能,鼓励公众积极参与到流浪动物的救助和领养中。对于管理员,系统将提供流浪动物管理、领养申请审核、救助记录管理等多项后台管理功能,并能够发布通知公告、新闻资讯等,确保信息的及时性和准确性。此外,救助机构和志愿者将在平台上协调资源,管理和处理救助申请、救助记录等信息,以优化流浪动物救助的流程。研究还将涉及系统的前端与后端设计,确保用户界面的简洁易用,数据交互的流畅与安全,以及系统的稳定性与可扩展性。通过对系统的设计与实现进行深入探讨,本研究旨在为流浪动物的救助和领养提供一种高效、透明的信息化管理模式,推动社会各界对流浪动物保护的参与和关注,提升流浪动物救助工作的整体效率。
2相关技术介绍
Java语言是一种广泛使用的高级编程语言,具有平台无关性、面向对象特性和丰富的标准库。Java通过Java虚拟机(JVM)实现跨平台运行,开发者可以编写一次代码,在任何支持JVM的环境中执行[1]。Java的面向对象特性使得代码复用和模块化变得更加容易,促进了软件的维护和扩展。Java支持多线程编程,允许开发者在同一程序中同时执行多个任务,提升了应用程序的性能。
Java语言的语法结构简洁且易于理解,吸引了大量开发者。Java的标准库包含数据结构、输入输出处理、网络编程等众多功能模块。这使得开发者在构建应用程序时能够高效利用已有工具,减少重复劳动。Java广泛应用于企业级应用、移动应用、Web开发和大数据处理等领域。
2.2 B/S框架
B/S(Browser/Server)架构是一种基于浏览器和服务器的系统架构模式,用户通过浏览器与服务器进行交互。B/S架构简化了客户端的部署和管理,用户无需在本地安装复杂的软件,只需使用标准浏览器即可访问应用程序。服务器端负责处理业务逻辑和数据存储,客户端则主要负责展示用户界面和数据交互[2]。B/S架构的设计使得系统更新和维护集中在服务器端,降低了维护成本。
B/S架构通常采用Web技术进行实现,包括HTML、CSS和JavaScript等。用户在浏览器中发起请求,服务器响应并返回数据。数据传输通常通过HTTP或HTTPS协议进行,B/S架构的灵活性使其适用于在线购物、信息管理系统和社交网络等各类应用场景[3]。由于其易于扩展性,B/S架构可以方便地支持大规模用户访问,适应不断变化的业务需求。
2.3 SpringBoot框架
SpringBoot框架是基于Spring框架的开源项目,简化Java应用程序的开发过程。SpringBoot通过约定优于配置的理念,减少了传统Spring应用的繁琐配置,开发者可以快速搭建和部署应用程序。框架提供了一系列默认配置,支持自动化配置,简化了应用启动的复杂性[4]。SpringBoot内置了嵌入式Web服务器,使得开发者能够独立运行Java应用,无需外部容器。
SpringBoot支持微服务架构,开发者可以轻松创建和管理多个微服务。框架集成了丰富的功能模块,包括安全、数据访问和消息中间件等,支持RESTful API和JSON数据格式的处理[5]。SpringBoot还提供了强大的监控和管理功能,允许开发者实时监控应用的健康状态和性能指标。借助SpringBoot,开发者能够高效构建和维护现代企业级应用,满足复杂业务需求。
2.4 Vue技术
Vue是一种渐进式JavaScript框架,专注于构建用户界面。Vue采用组件化的开发模式,允许开发者将应用程序拆分为独立的、可重用的组件,从而提高了开发效率和代码的可维护性[6]。框架的核心库专注于视图层,支持数据绑定和DOM操作,提供了简洁的API。Vue的虚拟DOM机制提升了应用的性能,减少了实际DOM操作的次数。
Vue支持双向数据绑定,能够自动更新视图与模型之间的变化。开发者可以通过Vue的指令系统,简化数据展示和事件处理。Vue还支持路由管理和状态管理,使得开发复杂单页面应用变得更加容易[7]。借助Vue的生态系统,开发者能够使用多种工具和库来扩展功能,满足不同的业务需求。Vue在前端开发中逐渐成为主流选择,受到广泛关注和应用。
2.5 MySQL数据库
MySQL是一种开源关系型数据库管理系统,广泛应用于Web应用和企业级数据存储。MySQL支持结构化查询语言,允许开发者通过标准语句进行数据的创建、读取、更新和删除操作[8]。数据库通过表格形式组织数据,支持数据完整性和约束条件的定义。MySQL的存储引擎机制使得用户可以根据具体需求选择不同的存储引擎,以优化性能和功能。
MySQL具有高性能和可扩展性,支持大规模数据存储和高并发访问。系统提供了丰富的用户权限管理和数据加密安全特性。MySQL能够与多种编程语言和框架兼容,广泛应用于内容管理系统、电子商务平台和数据分析等各种场景。
3系统需求分析
在流浪动物管理系统的设计中,用户需求主要体现在平台能够提供便捷、高效的信息展示和操作体验。普通用户需要一个简单直观的界面来浏览流浪动物信息,了解动物的状况并参与领养或救助。用户希望能够随时查看流浪动物的详细信息,包括动物的品种、年龄、健康状况、所在地点等,并通过系统直接提交领养或救助申请。同时,用户还期望能在平台上参与互动论坛,与其他人分享救助经验,提出建议或评论,增加社会对流浪动物问题的关注度。对于管理员而言,系统需要提供强大的后台管理功能,包括对流浪动物信息、领养申请、救助记录等进行集中管理、审批和更新。管理员还希望能够通过平台发布通知公告、新闻资讯等内容,以便及时传达流浪动物救助相关的信息。救助机构和志愿者则需要能够高效管理救助记录、协调资源,确保动物得到及时救助和领养。总体来说,用户需求聚焦于系统的易用性、信息透明度、参与性和管理效率,旨在促进流浪动物救助和领养工作的顺畅进行。
流浪动物管理系统的功能需求主要包括四个方面:信息管理、用户管理、申请管理和资源管理。系统需要提供一个信息管理模块,允许管理员和相关用户查看、更新流浪动物的基本信息,并支持动物品种、健康状况、位置等详细描述的存储与展示。对于申请管理,系统应支持用户提交领养申请或救助申请,并提供审批、反馈、回访等流程,确保动物能够得到有效的领养或救助。管理员需要能够处理这些申请,进行审核和记录管理。同时,系统还需具备互动论坛功能,允许用户进行讨论、评论和交流,增强用户之间的互动与沟通。在资源管理方面,系统应支持发布新闻资讯、公告以及更新平台内容等功能,以保持信息的时效性。此外,为提高流浪动物救助的协调性,救助机构和志愿者需要一个专门的管理模块,帮助他们追踪救助记录、资源分配及后续的回访工作。系统还应具有权限管理功能,确保不同角色的用户只能访问与其职责相关的功能,从而提升数据安全性和管理效率。系统功能结构图如图3-1所示。

图3-1系统功能结构图
3.1.3用户用例图

图3-2 普通用户用例图

图3-3 救助机构用例图

图3-4 救助机构用例图

图3-5 管理员用例图
系统采用当前主流的SpringBoot和Vue.js开发框架,具备良好的技术基础。这些技术已被广泛应用于多种商业项目,具备成熟的文档和社区支持,便于开发获取必要的资源与解决方案。个人拥有丰富的相关技术经验,能够有效应对潜在技术挑战。所需的软硬件资源易于获取,且具备良好的兼容性,降低了技术实现的难度。
系统具备直观友好的用户界面,支持简便的导航和功能访问,极大地提升了用户的使用体验。系统提供了自定义的工作流程和角色权限管理,使不同层级的用户能够快速上手,完成各自的任务。。
系统所使用的软件为开源技术,降低了使用费用,同时硬件成本较低,使得整体初始投入相对合理,具备较高性价比。因此,系统在经济上是完全可行的。
4系统设计
4.1.1用户登录流程
用户输入用户名和密码后,系统先检查输入是否为空,再验证用户名是否存在,若存在则通过用户名获取密码并校验。若密码正确则登录成功,否则提示密码错误。若用户名不存在或无法登录,提示用户操作无效。如图4-1所示。

图4-1登录流程图
4.1.2添加信息流程
管理员可以添加信息,用户添加可以自己权限内的信息,输入信息后,要想利用这个软件来进行系统的安全管理,首先需要登录到该软件中。添加信息流程如图4-2所示。

图4-2添加信息流程图
4.1.3修改信息流程
用户首先选择需要修改的记录,输入修改后的数据,系统判断输入数据是否合法。若数据不合法,提示重新输入;若数据合法,则将修改后的数据写入数据库,完成操作后流程结束。修改信息流程图如图4-3所示。

图4-3修改信息流程图
4.1.4删除信息流程
用户选择需要删除的记录后,系统判断是否确认删除。若未确认,返回选择环节;若确认删除,则更新数据库,删除对应记录,完成操作后流程结束。删除信息流程图如图4-4所示。

图4-4删除信息流程图
数据库概念模型是数据库设计的一个阶段,它描述了数据库中数据的逻辑结构和之间的关系,而不关注具体的实现细节[9]。概念模型通常用于数据库设计的初期阶段,以帮助开发人员和用户理解数据库中存储的数据以及数据之间的关系。
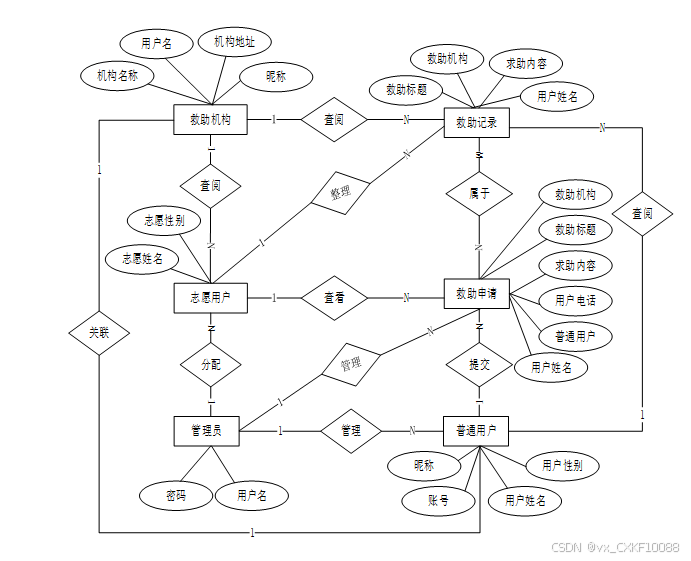
数据库概念模型通常采用高层次的概念来描述数据,常见的概念模型包括实体-关系模型(Entity-Relationship Model,ERM)、面向对象模型(Object-Oriented Model)等。在概念模型中,数据被抽象为实体(Entity)和实体之间的关系(Relationship),并且定义了实体的属性(Attribute),通常以E-R图来表达。以下将展示系统的全局E-R图。
系统全局E-R图如图4-5所示。

图4-5系统E-R图
表 4-1-access_token(登陆访问时长)
| 编号 | 字段名 | 类型 | 长度 | 是否非空 | 是否主键 | 注释 |
| 1 | token_id | int | 是 | 是 | 临时访问牌ID | |
| 2 | token | varchar | 64 | 否 | 否 | 临时访问牌 |
| 3 | info | text | 65535 | 否 | 否 | 信息 |
| 4 | maxage | int | 是 | 否 | 最大寿命:默认2小时 | |
| 5 | create_time | timestamp | 是 | 否 | 创建时间 | |
| 6 | update_time | timestamp | 是 | 否 | 更新时间 | |
| 7 | user_id | int | 是 | 否 | 用户编号 |
表 4-2-adoption_return_visit(领养回访)
| 编号 | 字段名 | 类型 | 长度 | 是否非空 | 是否主键 | 注释 |
| 1 | adoption_return_visit_id | int | 是 | 是 | 领养回访ID | |
| 2 | animal_name | varchar | 64 | 否 | 否 | 动物名称 |
| 3 | animal_breed | varchar | 64 | 否 | 否 | 动物品种 |
| 4 | publisher | int | 否 | 否 | 发布机构 | |
| 5 | adoption_of_users | int | 否 | 否 | 领养用户 | |
| 6 | user_name | varchar | 64 | 否 | 否 | 用户姓名 |
| 7 | user_phone | varchar | 64 | 否 | 否 | 用户电话 |
| 8 | return_visit_video | varchar | 255 | 否 | 否 | 回访视频 |
| 9 | create_time | datetime | 是 | 否 | 创建时间 | |
| 10 | update_time | timestamp | 是 | 否 | 更新时间 | |
| 11 | source_table | varchar | 255 | 否 | 否 | 来源表 |
| 12 | source_id | int | 否 | 否 | 来源ID | |
| 13 | source_user_id | int | 否 | 否 | 来源用户 |
表 4-3-animal_breed(动物品种)
| 编号 | 字段名 | 类型 | 长度 | 是否非空 | 是否主键 | 注释 |
| 1 | animal_breed_id | int | 是 | 是 | 动物品种ID | |
| 2 | animal_breed | varchar | 64 | 否 | 否 | 动物品种 |
| 3 | create_time | datetime | 是 | 否 | 创建时间 | |
| 4 | update_time | timestamp | 是 | 否 | 更新时间 |
表 4-4-application_for_adoption(领养申请)
| 编号 | 字段名 | 类型 | 长度 | 是否非空 | 是否主键 | 注释 |
| 1 | application_for_adoption_id | int | 是 | 是 | 领养申请ID | |
| 2 | animal_name | varchar | 64 | 否 | 否 | 动物名称 |
| 3 | animal_breed | varchar | 64 | 否 | 否 | 动物品种 |
| 4 | publisher | int | 否 | 否 | 发布机构 | |
| 5 | adoption_of_users | int | 否 | 否 | 领养用户 | |
| 6 | user_name | varchar | 64 | 否 | 否 | 用户姓名 |
| 7 | user_phone | varchar | 64 | 否 | 否 | 用户电话 |
| 8 | supporting_documents | varchar | 255 | 否 | 否 | 证明文件 |
| 9 | application_for_adoption | text | 65535 | 否 | 否 | 领养申请 |
| 10 | adoption_agreement | varchar | 255 | 否 | 否 | 领养协议 |
| 11 | examine_state | varchar | 16 | 是 | 否 | 审核状态 |
| 12 | adoption_return_visit_limit_times | int | 是 | 否 | 回访限制次数 | |
| 13 | create_time | datetime | 是 | 否 | 创建时间 | |
| 14 | update_time | timestamp | 是 | 否 | 更新时间 | |
| 15 | source_table | varchar | 255 | 否 | 否 | 来源表 |
| 16 | source_id | int | 否 | 否 | 来源ID | |
| 17 | source_user_id | int | 否 | 否 | 来源用户 |
表 4-5-application_for_assistance(救助申请)
| 编号 | 字段名 | 类型 | 长度 | 是否非空 | 是否主键 | 注释 |
| 1 | application_for_assistance_id | int | 是 | 是 | 救助申请ID | |
| 2 | ordinary_user | int | 否 | 否 | 普通用户 | |
| 3 | user_name | varchar | 64 | 否 | 否 | 用户姓名 |
| 4 | user_phone | varchar | 64 | 否 | 否 | 用户电话 |
| 5 | rescue_title | varchar | 64 | 否 | 否 | 救助标题 |
| 6 | relief_agencies | int | 否 | 否 | 救助机构 | |
| 7 | volunteer_users | int | 否 | 否 | 志愿用户 | |
| 8 | help_content | text | 65535 | 否 | 否 | 求助内容 |
| 9 | examine_state | varchar | 16 | 是 | 否 | 审核状态 |
| 10 | examine_reply | varchar | 255 | 否 | 否 | 审核回复 |
| 11 | salvage_record_limit_times | int | 是 | 否 | 救助限制次数 | |
| 12 | create_time | datetime | 是 | 否 | 创建时间 | |
| 13 | update_time | timestamp | 是 | 否 | 更新时间 |
表 4-6-article(文章)
| 编号 | 字段名 | 类型 | 长度 | 是否非空 | 是否主键 | 注释 |
| 1 | article_id | mediumint | 是 | 是 | 文章id | |
| 2 | title | varchar | 125 | 是 | 是 | 标题 |
| 3 | type | varchar | 64 | 是 | 否 | 文章分类 |
| 4 | hits | int | 是 | 否 | 点击数 | |
| 5 | praise_len | int | 是 | 否 | 点赞数 | |
| 6 | create_time | timestamp | 是 | 否 | 创建时间 | |
| 7 | update_time | timestamp | 是 | 否 | 更新时间 | |
| 8 | source | varchar | 255 | 否 | 否 | 来源 |
| 9 | url | varchar | 255 | 否 | 否 | 来源地址 |
| 10 | tag | varchar | 255 | 否 | 否 | 标签 |
| 11 | content | longtext | 4294967295 | 否 | 否 | 正文 |
| 12 | img | varchar | 255 | 否 | 否 | 封面图 |
| 13 | description | text | 65535 | 否 | 否 | 文章描述 |
表 4-7-article_type(文章分类)
| 编号 | 字段名 | 类型 | 长度 | 是否非空 | 是否主键 | 注释 |
| 1 | type_id | smallint | 是 | 是 | 分类ID | |
| 2 | display | smallint | 是 | 否 | 显示顺序 | |
| 3 | name | varchar | 16 | 是 | 否 | 分类名称 |
| 4 | father_id | smallint | 是 | 否 | 上级分类ID | |
| 5 | description | varchar | 255 | 否 | 否 | 描述 |
| 6 | icon | text | 65535 | 否 | 否 | 分类图标 |
| 7 | url | varchar | 255 | 否 | 否 | 外链地址 |
| 8 | create_time | timestamp | 是 | 否 | 创建时间 | |
| 9 | update_time | timestamp | 是 | 否 | 更新时间 |
表 4-8-auth(用户权限管理)
| 编号 | 字段名 | 类型 | 长度 | 是否非空 | 是否主键 | 注释 |
| 1 | auth_id | int | 是 | 是 | 授权ID | |
| 2 | user_group | varchar | 64 | 否 | 否 | 用户组 |
| 3 | mod_name | varchar | 64 | 否 | 否 | 模块名 |
| 4 | table_name | varchar | 64 | 否 | 否 | 表名 |
| 5 | page_title | varchar | 255 | 否 | 否 | 页面标题 |
| 6 | path | varchar | 255 | 否 | 否 | 路由路径 |
| 7 | parent | varchar | 64 | 否 | 否 | 父级菜单 |
| 8 | parent_sort | int | 是 | 否 | 父级菜单排序 | |
| 9 | position | varchar | 32 | 否 | 否 | 位置 |
| 10 | mode | varchar | 32 | 是 | 否 | 跳转方式 |
| 11 | add | tinyint | 是 | 否 | 是否可增加 | |
| 12 | del | tinyint | 是 | 否 | 是否可删除 | |
| 13 | set | tinyint | 是 | 否 | 是否可修改 | |
| 14 | get | tinyint | 是 | 否 | 是否可查看 | |
| 15 | field_add | text | 65535 | 否 | 否 | 添加字段 |
| 16 | field_set | text | 65535 | 否 | 否 | 修改字段 |
| 17 | field_get | text | 65535 | 否 | 否 | 查询字段 |
| 18 | table_nav_name | varchar | 500 | 否 | 否 | 跨表导航名称 |
| 19 | table_nav | varchar | 500 | 否 | 否 | 跨表导航 |
| 20 | option | text | 65535 | 否 | 否 | 配置 |
| 21 | create_time | timestamp | 是 | 否 | 创建时间 | |
| 22 | update_time | timestamp | 是 | 否 | 更新时间 |
表 4-9-code_token(验证码)
| 编号 | 字段名 | 类型 | 长度 | 是否非空 | 是否主键 | 注释 |
| 1 | code_token_id | int | 是 | 是 | 验证码ID | |
| 2 | token | varchar | 255 | 否 | 否 | 令牌 |
| 3 | code | varchar | 255 | 否 | 否 | 验证码 |
| 4 | expire_time | timestamp | 是 | 否 | 失效时间 | |
| 5 | create_time | timestamp | 是 | 否 | 创建时间 | |
| 6 | update_time | timestamp | 是 | 否 | 更新时间 |
表 4-10-collect(收藏)
| 编号 | 字段名 | 类型 | 长度 | 是否非空 | 是否主键 | 注释 |
| 1 | collect_id | int | 是 | 是 | 收藏ID | |
| 2 | user_id | int | 是 | 是 | 收藏人ID | |
| 3 | source_table | varchar | 255 | 否 | 否 | 来源表 |
| 4 | source_field | varchar | 255 | 否 | 否 | 来源字段 |
| 5 | source_id | int | 是 | 否 | 来源ID | |
| 6 | title | varchar | 255 | 否 | 否 | 标题 |
| 7 | img | varchar | 255 | 否 | 否 | 封面 |
| 8 | create_time | timestamp | 是 | 否 | 创建时间 | |
| 9 | update_time | timestamp | 是 | 否 | 更新时间 |
表 4-11-comment(评论)
| 编号 | 字段名 | 类型 | 长度 | 是否非空 | 是否主键 | 注释 |
| 1 | comment_id | int | 是 | 是 | 评论ID | |
| 2 | user_id | int | 是 | 是 | 评论人ID | |
| 3 | reply_to_id | int | 是 | 否 | 回复评论ID | |
| 4 | content | longtext | 4294967295 | 否 | 否 | 内容 |
| 5 | nickname | varchar | 255 | 否 | 否 | 昵称 |
| 6 | avatar | varchar | 255 | 否 | 否 | 头像地址 |
| 7 | create_time | timestamp | 是 | 否 | 创建时间 | |
| 8 | update_time | timestamp | 是 | 否 | 更新时间 | |
| 9 | source_table | varchar | 255 | 否 | 否 | 来源表 |
| 10 | source_field | varchar | 255 | 否 | 否 | 来源字段 |
| 11 | source_id | int | 是 | 否 | 来源ID |
表 4-12-forum(论坛)
| 编号 | 字段名 | 类型 | 长度 | 是否非空 | 是否主键 | 注释 |
| 1 | forum_id | mediumint | 是 | 是 | 论坛ID | |
| 2 | display | smallint | 是 | 否 | 排序 | |
| 3 | user_id | mediumint | 是 | 否 | 用户ID | |
| 4 | nickname | varchar | 16 | 否 | 否 | 昵称 |
| 5 | praise_len | int | 否 | 否 | 点赞数 | |
| 6 | hits | int | 是 | 否 | 访问数 | |
| 7 | title | varchar | 125 | 是 | 否 | 标题 |
| 8 | keywords | varchar | 125 | 否 | 否 | 关键词 |
| 9 | description | varchar | 255 | 否 | 否 | 描述 |
| 10 | url | varchar | 255 | 否 | 否 | 来源地址 |
| 11 | tag | varchar | 255 | 否 | 否 | 标签 |
| 12 | img | text | 65535 | 否 | 否 | 封面图 |
| 13 | content | longtext | 4294967295 | 否 | 否 | 正文 |
| 14 | create_time | timestamp | 是 | 否 | 创建时间 | |
| 15 | update_time | timestamp | 是 | 否 | 更新时间 | |
| 16 | avatar | varchar | 255 | 否 | 否 | 发帖人头像 |
| 17 | type | varchar | 64 | 是 | 否 | 论坛分类 |
| 18 | istop | int | 是 | 否 | 是否置顶 |
表 4-13-forum_type(论坛分类)
| 编号 | 字段名 | 类型 | 长度 | 是否非空 | 是否主键 | 注释 |
| 1 | type_id | smallint | 是 | 是 | 分类ID | |
| 2 | name | varchar | 16 | 是 | 否 | 分类名称 |
| 3 | description | varchar | 255 | 否 | 否 | 描述 |
| 4 | url | varchar | 255 | 否 | 否 | 外链地址 |
| 5 | father_id | smallint | 是 | 否 | 上级分类ID | |
| 6 | icon | varchar | 255 | 否 | 否 | 分类图标 |
| 7 | create_time | timestamp | 是 | 否 | 创建时间 | |
| 8 | update_time | timestamp | 是 | 否 | 更新时间 |
表 4-14-hits(用户点击)
| 编号 | 字段名 | 类型 | 长度 | 是否非空 | 是否主键 | 注释 |
| 1 | hits_id | int | 是 | 是 | 点赞ID | |
| 2 | user_id | int | 是 | 否 | 点赞人 | |
| 3 | create_time | timestamp | 是 | 否 | 创建时间 | |
| 4 | update_time | timestamp | 是 | 否 | 更新时间 | |
| 5 | source_table | varchar | 255 | 否 | 否 | 来源表 |
| 6 | source_field | varchar | 255 | 否 | 否 | 来源字段 |
| 7 | source_id | int | 是 | 否 | 来源ID |
表 4-15-notice(公告)
| 编号 | 字段名 | 类型 | 长度 | 是否非空 | 是否主键 | 注释 |
| 1 | notice_id | mediumint | 是 | 是 | 公告ID | |
| 2 | title | varchar | 125 | 是 | 否 | 标题 |
| 3 | content | longtext | 4294967295 | 否 | 否 | 正文 |
| 4 | create_time | timestamp | 是 | 否 | 创建时间 | |
| 5 | update_time | timestamp | 是 | 否 | 更新时间 |
表 4-16-ordinary_user(普通用户)
| 编号 | 字段名 | 类型 | 长度 | 是否非空 | 是否主键 | 注释 |
| 1 | ordinary_user_id | int | 是 | 是 | 普通用户ID | |
| 2 | user_name | varchar | 64 | 否 | 否 | 用户姓名 |
| 3 | user_gender | varchar | 64 | 否 | 否 | 用户性别 |
| 4 | user_phone | varchar | 64 | 否 | 否 | 用户电话 |
| 5 | examine_state | varchar | 16 | 是 | 否 | 审核状态 |
| 6 | user_id | int | 是 | 否 | 用户ID | |
| 7 | create_time | datetime | 是 | 否 | 创建时间 | |
| 8 | update_time | timestamp | 是 | 否 | 更新时间 |
表 4-17-praise(点赞)
| 编号 | 字段名 | 类型 | 长度 | 是否非空 | 是否主键 | 注释 |
| 1 | praise_id | int | 是 | 是 | 点赞ID | |
| 2 | user_id | int | 是 | 是 | 点赞人 | |
| 3 | create_time | timestamp | 是 | 否 | 创建时间 | |
| 4 | update_time | timestamp | 是 | 否 | 更新时间 | |
| 5 | source_table | varchar | 255 | 否 | 否 | 来源表 |
| 6 | source_field | varchar | 255 | 否 | 否 | 来源字段 |
| 7 | source_id | int | 是 | 否 | 来源ID | |
| 8 | status | tinyint | 是 | 否 | 点赞状态:1为点赞,0已取消 |
表 4-18-relief_agencies(救助机构)
| 编号 | 字段名 | 类型 | 长度 | 是否非空 | 是否主键 | 注释 |
| 1 | relief_agencies_id | int | 是 | 是 | 救助机构ID | |
| 2 | name_of_institution | varchar | 64 | 否 | 否 | 机构名称 |
| 3 | institution_address | varchar | 64 | 否 | 否 | 机构地址 |
| 4 | examine_state | varchar | 16 | 是 | 否 | 审核状态 |
| 5 | user_id | int | 是 | 否 | 用户ID | |
| 6 | create_time | datetime | 是 | 否 | 创建时间 | |
| 7 | update_time | timestamp | 是 | 否 | 更新时间 |
表 4-19-salvage_record(救助记录)
| 编号 | 字段名 | 类型 | 长度 | 是否非空 | 是否主键 | 注释 |
| 1 | salvage_record_id | int | 是 | 是 | 救助记录ID | |
| 2 | ordinary_user | int | 否 | 否 | 普通用户 | |
| 3 | user_name | varchar | 64 | 否 | 否 | 用户姓名 |
| 4 | user_phone | varchar | 64 | 否 | 否 | 用户电话 |
| 5 | rescue_title | varchar | 64 | 否 | 否 | 救助标题 |
| 6 | relief_agencies | int | 否 | 否 | 救助机构 | |
| 7 | volunteer_users | int | 否 | 否 | 志愿用户 | |
| 8 | help_content | text | 65535 | 否 | 否 | 求助内容 |
| 9 | the_rescue_process | text | 65535 | 否 | 否 | 救助过程 |
| 10 | material_consumption | text | 65535 | 否 | 否 | 物资消耗 |
| 11 | create_time | datetime | 是 | 否 | 创建时间 | |
| 12 | update_time | timestamp | 是 | 否 | 更新时间 | |
| 13 | source_table | varchar | 255 | 否 | 否 | 来源表 |
| 14 | source_id | int | 否 | 否 | 来源ID | |
| 15 | source_user_id | int | 否 | 否 | 来源用户 |
表 4-20-slides(轮播图)
| 编号 | 字段名 | 类型 | 长度 | 是否非空 | 是否主键 | 注释 |
| 1 | slides_id | int | 是 | 是 | 轮播图ID | |
| 2 | title | varchar | 64 | 否 | 否 | 标题 |
| 3 | content | varchar | 255 | 否 | 否 | 内容 |
| 4 | url | varchar | 255 | 否 | 否 | 链接 |
| 5 | img | varchar | 255 | 否 | 否 | 轮播图 |
| 6 | hits | int | 是 | 否 | 点击量 | |
| 7 | create_time | timestamp | 是 | 否 | 创建时间 | |
| 8 | update_time | timestamp | 是 | 否 | 更新时间 |
表 4-21-stray_animals(流浪动物)
| 编号 | 字段名 | 类型 | 长度 | 是否非空 | 是否主键 | 注释 |
| 1 | stray_animals_id | int | 是 | 是 | 流浪动物ID | |
| 2 | animal_name | varchar | 64 | 否 | 否 | 动物名称 |
| 3 | animal_breed | varchar | 64 | 否 | 否 | 动物品种 |
| 4 | animal_gender | varchar | 64 | 否 | 否 | 动物性别 |
| 5 | animal_age | varchar | 64 | 否 | 否 | 动物年龄 |
| 6 | health_status | varchar | 64 | 否 | 否 | 健康状态 |
| 7 | publisher | int | 否 | 否 | 发布机构 | |
| 8 | cover_image | varchar | 255 | 否 | 否 | 封面图片 |
| 9 | animal_video | varchar | 255 | 否 | 否 | 动物视频 |
| 10 | introduction_to_animals | longtext | 4294967295 | 否 | 否 | 动物简介 |
| 11 | hits | int | 是 | 否 | 点击数 | |
| 12 | praise_len | int | 是 | 否 | 点赞数 | |
| 13 | collect_len | int | 是 | 否 | 收藏数 | |
| 14 | comment_len | int | 是 | 否 | 评论数 | |
| 15 | mark_address | varchar | 64 | 否 | 否 | 详细地址 |
| 16 | mark_lng | varchar | 64 | 否 | 否 | 详细地址经度 |
| 17 | mark_lat | varchar | 64 | 否 | 否 | 详细地址纬度 |
| 18 | application_for_adoption_limit_times | int | 是 | 否 | 领养限制次数 | |
| 19 | create_time | datetime | 是 | 否 | 创建时间 | |
| 20 | update_time | timestamp | 是 | 否 | 更新时间 |
表 4-22-upload(文件上传)
| 编号 | 字段名 | 类型 | 长度 | 是否非空 | 是否主键 | 注释 |
| 1 | upload_id | int | 是 | 是 | 上传ID | |
| 2 | name | varchar | 64 | 否 | 否 | 文件名 |
| 3 | path | varchar | 255 | 否 | 否 | 访问路径 |
| 4 | file | varchar | 255 | 否 | 否 | 文件路径 |
| 5 | display | varchar | 255 | 否 | 否 | 显示顺序 |
| 6 | father_id | int | 否 | 否 | 父级ID | |
| 7 | dir | varchar | 255 | 否 | 否 | 文件夹 |
| 8 | type | varchar | 32 | 否 | 否 | 文件类型 |
表 4-23-user(用户账户)
| 编号 | 字段名 | 类型 | 长度 | 是否非空 | 是否主键 | 注释 |
| 1 | user_id | int | 是 | 是 | 用户ID | |
| 2 | state | smallint | 是 | 否 | 账户状态:(1可用|2异常|3已冻结|4已注销) | |
| 3 | user_group | varchar | 32 | 否 | 否 | 所在用户组 |
| 4 | login_time | timestamp | 是 | 否 | 上次登录时间 | |
| 5 | phone | varchar | 11 | 否 | 否 | 手机号码 |
| 6 | phone_state | smallint | 是 | 否 | 手机认证:(0未认证|1审核中|2已认证) | |
| 7 | username | varchar | 16 | 是 | 否 | 用户名 |
| 8 | nickname | varchar | 16 | 否 | 否 | 昵称 |
| 9 | password | varchar | 64 | 是 | 否 | 密码 |
| 10 | | varchar | 64 | 否 | 否 | 邮箱 |
| 11 | email_state | smallint | 是 | 否 | 邮箱认证:(0未认证|1审核中|2已认证) | |
| 12 | avatar | varchar | 255 | 否 | 否 | 头像地址 |
| 13 | open_id | varchar | 255 | 否 | 否 | 针对获取用户信息字段 |
| 14 | create_time | timestamp | 是 | 否 | 创建时间 |
表 4-24-user_group(用户组)
| 编号 | 字段名 | 类型 | 长度 | 是否非空 | 是否主键 | 注释 |
| 1 | group_id | mediumint | 是 | 是 | 用户组ID | |
| 2 | display | smallint | 是 | 否 | 显示顺序 | |
| 3 | name | varchar | 16 | 是 | 否 | 名称 |
| 4 | description | varchar | 255 | 否 | 否 | 描述 |
| 5 | source_table | varchar | 255 | 否 | 否 | 来源表 |
| 6 | source_field | varchar | 255 | 否 | 否 | 来源字段 |
| 7 | source_id | int | 是 | 否 | 来源ID | |
| 8 | register | smallint | 否 | 否 | 注册位置 | |
| 9 | create_time | timestamp | 是 | 否 | 创建时间 | |
| 10 | update_time | timestamp | 是 | 否 | 更新时间 |
表 4-25-volunteer_users(志愿用户)
| 编号 | 字段名 | 类型 | 长度 | 是否非空 | 是否主键 | 注释 |
| 1 | volunteer_users_id | int | 是 | 是 | 志愿用户ID | |
| 2 | volunteer_name | varchar | 64 | 否 | 否 | 志愿姓名 |
| 3 | voluntary_gender | varchar | 64 | 否 | 否 | 志愿性别 |
| 4 | examine_state | varchar | 16 | 是 | 否 | 审核状态 |
| 5 | user_id | int | 是 | 否 | 用户ID | |
| 6 | create_time | datetime | 是 | 否 | 创建时间 | |
| 7 | update_time | timestamp | 是 | 否 | 更新时间 |
5系统实现
普通用户可以进入新闻资讯页面,浏览最新的流浪动物救助动态、领养故事及相关法律法规等信息。通过分类筛选功能,用户可以快速找到感兴趣的内容,点击阅读详细文章,了解流浪动物保护相关的新闻和活动。其界面如图5-1所示。

图5-1新闻资讯界面。
普通用户进入流浪动物信息页面,查看不同种类流浪动物的详细资料,包括动物名称、品种、健康状况、所在地点等信息。通过筛选功能,用户可以根据动物的年龄、性别等条件筛选流浪动物,便于快速找到适合领养的宠物。其界面如图5-2所示。

图5-2流浪动物界面。
普通用户可以进入救助申请页面,填写相关信息申请救助流浪动物。用户需提供详细的救助原因、个人信息及联系方式等,提交申请后等待管理员的审批与反馈。用户还可查看自己的历史救助记录,了解申请进度。其界面如图5-3所示。

图5-3救助申请界面。
普通用户可以进入个人中心,查看和管理自己的个人资料、领养申请、救助记录等信息。用户可以在个人中心查看已提交的领养申请和救助申请状态,更新个人信息,参与互动论坛,并查看评论和收藏记录。其界面如图5-4所示。

图5-4个人中心界面。
救助机构进入流浪动物管理页面,浏览系统中的流浪动物信息,包括动物的基本资料、健康状况、所在地点等。通过筛选功能,按品种、年龄、健康等条件筛选流浪动物。点击具体动物查看详细信息,决定是否进行救助或其他管理操作。其界面如图5-5所示。

图5-5流浪动物管理界面。
救助机构进入领养申请管理页面,查看用户提交的领养申请。每个申请包含申请人信息、申请理由、对宠物的了解等内容。救助机构可对申请进行审核、审批,决定是否批准,并记录审批结果与处理意见,确保流浪动物得到合适的领养。其界面如图5-6所示。

图5-6领养申请管理界面。
救助机构进入救助申请管理页面,查看用户提交的救助申请,详细了解申请人的救助需求与联系方式。根据流浪动物的情况和资源,救助机构审核并处理救助请求,决定是否批准并安排救助,同时跟踪救助过程及后续记录。其界面如图5-7所示。

图5-7救助申请管理界面。
管理员登录后台进入系统用户管理页面,查看和管理不同角色的用户信息,包括普通用户、志愿者、救助机构等。管理员可以编辑用户信息,调整用户权限,删除不合规用户,确保平台的用户信息准确和安全。其界面如图5-8所示。

图5-8系统用户界面。
管理员登录后台进入系统管理页面,管理平台的基础设置与功能配置。管理员可以对系统进行维护,包括数据库管理、系统日志查看、定期备份等,确保系统的稳定运行和数据安全。其界面如图5-9所示。

图5-9系统管理界面。
管理员登录后台进入通知公告管理页面,发布、编辑和删除平台的通知公告。管理员可以设置公告的标题、内容和发布时间,确保流浪动物救助相关的信息及时传达给用户,并可以查看公告的发布历史记录。其界面如图5-10所示。

图5-10通知公告管理界面。
管理员登录后台进入资源管理页面,管理新闻资讯、资讯分类等内容。管理员可以添加、编辑或删除新闻文章、更新资讯分类,确保平台内容的时效性与准确性,同时管理新闻的排序和展示方式。其界面如图5-11所示。

图5-11资源管理界面。
管理员登录后台进入交流管理页面,管理平台的互动论坛与评论内容。管理员可以查看用户发表的帖子、评论,进行删除或屏蔽不良内容的操作,并根据需要调整论坛的分类和话题,确保交流内容健康有序。其界面如图5-12所示。

图5-12交流管理界面。
志愿用户进入救助申请管理页面,查看自己提交的救助申请记录,包括申请内容、提交时间及申请状态。用户可以查看每个申请的详细信息,了解救助进度,并根据需要修改或更新申请内容,确保救助请求得到及时处理。其界面如图5-12所示。

图5-13救助申请管理界面。
6系统测试
测试的主要目的是确保系统的功能和性能满足预期的需求,同时识别和修复潜在的缺陷。通过系统测试,可以验证各个功能模块的正确性和稳定性,确保系统在不同使用场景下的表现符合设计要求。测试目的包括确认系统功能的完整性、验证数据处理的准确性、评估系统的性能和安全性[10]。测试还可以提高用户满意度,保证用户在使用系统时获得流畅和可靠的体验。通过全面的测试,可以降低后期维护成本,减少系统上线后出现故障的风险,从而保障系统的长期稳定运行。
在本系统中,测试方法主要依赖于测试用例的设计与执行。测试用例是根据系统需求文档编写的,覆盖所有功能模块及其边界情况。每个测试用例包含输入数据、预期结果和实际结果的对比,以验证系统的功能是否按预期工作。
常见的测试用例包括功能测试用例、边界测试用例和异常测试用例[12]。功能测试用例针对系统的各项功能进行验证;边界测试用例则侧重于输入数据的边界条件,验证系统在极端情况下是否能够稳定运行;异常测试用例则用于验证系统在处理错误输入或异常情况时的反应。本文选择功能测试用例进行系统测试。
在测试执行过程中,记录每个用例的执行结果,并根据实际结果与预期结果的对比,判断系统是否存在缺陷。通过系统化的测试用例执行,可以有效提高测试的覆盖率和效率,为系统的最终上线提供保障。
系统用户测试用例表如表6-1所示。
表6-1 系统用户测试用例。
| 测试项 | 测试用例 | 预期结果 | 结论 |
| 系统用户 | 1. 用户登录系统,进入用户管理页面,查看所有用户信息。 | 系统显示所有用户的基本信息。 | 与预期结果一致。 |
| 系统用户 | 2. 管理员在用户管理页面,修改用户权限并保存。 | 系统提示修改成功,用户权限更新。 | 与预期结果一致。 |
| 系统用户 | 3. 管理员删除指定用户,查看用户列表是否更新。 | 系统提示删除成功,用户列表中不再显示该用户。 | 与预期结果一致。 |
| 系统用户 | 4. 管理员搜索特定用户,查看是否能准确定位该用户。 | 系统准确显示所搜索的用户信息。 | 与预期结果一致。 |
系统管理测试用例表如表6-2所示。
表6-2 系统管理测试用例。
| 测试项 | 测试用例 | 预期结果 | 结论 |
| 系统管理 | 1. 用户登录系统,进入系统管理页面,查看系统运行状态。 | 系统显示当前的运行状态。 | 与预期结果一致。 |
| 系统管理 | 2. 系统管理员进行数据备份操作,检查备份是否成功。 | 系统提示备份成功,备份文件出现在指定目录。 | 与预期结果一致。 |
| 系统管理 | 3. 系统管理员修改系统配置后,查看系统是否应用新配置。 | 系统提示配置更新成功,配置变更生效。 | 与预期结果一致。 |
| 系统管理 | 4. 系统管理员查看日志记录,确认系统日志正确。 | 系统准确记录操作日志。 | 与预期结果一致。 |
通知公告管理测试用例表如表6-3所示。
表6-3通知公告管理测试用例。
| 测试项 | 测试用例 | 预期结果 | 结论 |
| 通知公告管理 | 1. 管理员登录系统,进入通知公告管理页面,发布一条新的公告。 | 系统提示公告发布成功,公告显示在公告列表中。 | 与预期结果一致。 |
| 通知公告管理 | 2. 管理员编辑并更新已发布的公告,查看是否生效。 | 公告内容更新成功,公告页面显示新的内容。 | 与预期结果一致。 |
| 通知公告管理 | 3. 管理员删除一条公告并确认删除。 | 系统提示删除成功,公告列表中不再显示该公告。 | 与预期结果一致。 |
| 通知公告管理 | 4. 用户登录系统,查看公告页面,确认是否能看到最新的公告。 | 公告页面显示最新发布的公告。 | 与预期结果一致。 |
资源管理测试用例表如表6-4所示。
表6-5资源管理测试用例。
| 测试项 | 测试用例 | 预期结果 | 结论 |
| 资源管理 | 1. 管理员进入资源管理页面,上传一篇新的新闻资讯。 | 系统提示新闻发布成功,资讯显示在列表中。 | 与预期结果一致。 |
| 资源管理 | 2. 管理员编辑并更新新闻资讯的内容。 | 新闻资讯更新成功,资讯页面显示新的内容。 | 与预期结果一致。 |
| 资源管理 | 3. 管理员删除一篇新闻资讯并确认删除。 | 系统提示删除成功,资讯列表中不再显示该资讯。 | 与预期结果一致。 |
| 资源管理 | 4. 用户登录系统,查看新闻资讯页面,确认能看到最新的新闻内容。 | 用户能够看到最新的新闻资讯。 | 与预期结果一致。 |
交流管理测试用例表如表6-5所示。
表6-5交流管理测试用例。
| 测试项 | 测试用例 | 预期结果 | 结论 |
| 交流管理 | 1. 管理员进入交流管理页面,查看用户发表的论坛帖子。 | 系统显示所有用户发表的帖子。 | 与预期结果一致。 |
| 交流管理 | 2. 管理员删除不良论坛帖子,查看帖子是否被删除。 | 系统提示删除成功,帖子从论坛中消失。 | 与预期结果一致。 |
| 交流管理 | 3. 管理员编辑论坛帖子并保存,查看帖子内容是否更新。 | 帖子内容更新成功,显示更新后的内容。 | 与预期结果一致。 |
| 交流管理 | 4. 用户登录论坛,发表新帖子并查看帖子是否发布成功。 | 帖子发布成功,并在论坛中显示。 | 与预期结果一致。 |
本次系统测试验证了各功能模块的设计与实现是否符合预期,测试结果表明,各项功能均能正常运行,达到预期目标。通过对系统用户、系统管理、通知公告管理、资源管理及交流管理等模块的全面测试,确保了系统在用户管理、数据维护、信息发布等方面的高效性和稳定性。管理员可以顺利进行用户权限管理、系统配置更新、公告发布与资源管理,用户能够快速浏览和参与平台互动,整体操作流畅且符合用户需求。
此外,系统的各项功能具备良好的可用性,测试过程中未发现重大的系统故障或异常情况。平台的用户体验得到了有效保障,能够满足不同角色用户的操作需求,提供了便捷的信息管理和交流平台。通过本次测试,可以确认该系统在实际使用中能够为流浪动物管理、救助和领养等工作提供有力支持,有助于提高社会对流浪动物保护的参与度与效率,推动社会公益事业的发展。
7总结
本研究基于SpringBoot与MySQL技术,设计并实现了一个流浪动物管理系统,旨在解决流浪动物管理和救助过程中面临的各种挑战。通过系统的开发和测试,成功地实现了一个功能完备、易于操作的管理平台。系统不仅支持不同角色用户的权限管理,如普通用户、管理员、救助机构和志愿者,还提供了信息发布、救助申请、领养流程等多种功能,全面提升了流浪动物救助和领养的效率。通过平台,普通用户可以直接参与到流浪动物的救助和领养中,管理员则能够高效地管理平台内容并发布公告,救助机构和志愿者能够及时获取流浪动物的相关信息,协调资源,确保每一只流浪动物都能够得到应有的帮助。
在完成该系统的开发与测试后,深感信息化技术在公益事业中的巨大潜力。流浪动物的救助与领养本是一个充满挑战和困难的过程,但通过现代技术的应用,许多问题得到了有效解决。从系统的设计到测试的验证,我们看到技术不仅仅是为了提升效率,它还能够帮助我们更加关注和关爱社会中的弱势群体,推动社会公益事业向前发展。这一研究不仅为流浪动物的管理提供了一种创新的解决方案,也让我们意识到,随着技术的不断发展,未来将有更多的机会和方式,能够帮助更多需要帮助的生灵,建设一个更加温暖和谐的社会。
参考文献
- 尹应荆.JAVA编程语言在计算机软件开发中的应用[J].石河子科技,2023,(05):45-47.
- 刘江涛,王亮亮,吴庆茹,等.基于B/S模式的铁路勘测设计案例信息化管理系统设计与实现[J].铁路计算机应用,2021,30(03):32-35.
- 张丹丹,李弘.基于B/S架构的办公管理系统设计与开发[J].铁路通信信号工程技术,2024,21(09):44-48+106.
- 王志亮,纪松波.基于SpringBoot的Web前端与数据库的接口设计[J].工业控制计算机,2023,36(03):51-53.
- 熊永平.基于SpringBoot框架应用开发技术的分析与研究[J].电脑知识与技术,2021,15(36):76-77.
- 赵媛.基于Vue的Web系统前端性能优化分析[J].电脑编程技巧与维护,2024,(09):44-46.
- 秦冬.浅析Vue框架在前端开发中的应用[J].信息与电脑(理论版),2024,36(13):61-63.
- 李艳杰.MySQL数据库下存储过程的综合运用研究[J].现代信息科技,2023,7(11):80-82+88.
- 周晓玉,崔文超.基于Web技术的数据库应用系统设计[J].信息与电脑(理论版),2023,35(09):189-191.
- 李俊萌.计算机软件测试技术与开发应用策略分析[J].信息记录材料,2023,24(03):50-52.
- Helping tackle Bulgaria's stray animal population[J].Veterinary Record,2024,195(2):iii-iii.
- Choudhary K ,Palsaniya K V .Overview of the Stray Animals in India and Their Regulation[J].Journal of Advances in Biology & Biotechnology,2024,27(7):893-899.
- Pandey D H ,Shukla A ,Kankane V , et al.Clinico-radiological study in head injury due to road traffic accident caused by stray animals[J].Asian Journal of Medical Sciences,2024,15(4):183-187.
- 张雨蝶,周春柳.高校流浪动物的数字化管理探索[J].中国动物检疫,2023,40(11):41-45+88.
- Saba A ,Mirza M B ,Ali A S .The unreconciled dangers of stray animal attacks.[J].JPMA. The Journal of the Pakistan Medical Association,2023,73(6):1354-1354.
- 陈雷.流浪动物致人损害侵权责任研究[D].兰州大学,2023.DOI:10.27204/d.cnki.glzhu.2023.003035.
- Kumar R T ,Aditi W ,Kanika M , et al.Increasing Interference of Stray and Wild Animals in Farming: Reflections from Western Himalayan Foothills[J].Indian Journal of Ecology,2022,49(1):57-63.
- 王明珠.流浪动物管理制度研究[D].青海师范大学,2021.DOI:10.27778/d.cnki.gqhzy.2021.000512.
- 姜苏.基于互联网平台解决社会流浪动物问题的可行性研究[D].山东农业大学,2020.DOI:10.27277/d.cnki.gsdnu.2020.001043.
- 刘琴琴.我国流浪动物规范管理的法律研究[D].西北大学,2020.DOI:10.27405/d.cnki.gxbdu.2020.002158.
致谢
在此,我要衷心感谢在本论文研究与系统开发过程中给予我帮助和支持的所有人。感谢我的导师,他在课题的选定、研究方法的指导、技术问题的解答以及论文写作的过程中,给予了我极大的帮助和支持。导师的专业知识、严谨的学术态度和无私的教诲,让我在整个研究过程中受益匪浅。他不仅在学术上给予我指导,还在工作中给予我耐心和鼓励,使我能够顺利完成研究任务。
此外,我还要感谢我的家人和朋友,在我进行研究期间,始终给予我精神上的支持和鼓励。尤其是在遇到困难时,他们的理解与陪伴使我能够坚持下去,克服一个又一个挑战。感谢所有参与测试和反馈的用户们,你们的宝贵意见和建议对系统的优化和完善起到了至关重要的作用。最后,感谢所有曾为动物保护事业贡献力量的人们,正是因为你们的关爱与付出,我们才能够看到流浪动物救助工作的点滴进展。每一个为爱付出的人都值得敬佩,也正是你们让这个世界更加温暖。
代码:
连接数据库的文件在Resources 文件夹下的application.yml文件,代码如下:
server:
port: 5000
servlet:
context-path: /api
spring:
mvc:
static-path-pattern: /upload/**
resources:
static-locations: file:此处填写地址/project93355/server/src/main/resources/static
datasource:
jdbc:mysql://127.0.0.1:3306/projectxxxxx?serverTimezone=GMT%2B8&useSSL=false&characterEncoding=utf-8
username: root
password: root
driver-class-name: com.mysql.cj.jdbc.Driver
type: com.alibaba.druid.pool.DruidDataSource
jackson:
property-naming-strategy: CAMEL_CASE_TO_LOWER_CASE_WITH_UNDERSCORES
default-property-inclusion: ALWAYS
time-zone: GMT+8
date-format: yyyy-MM-dd HH:mm:ss
servlet:
项目启动文件Application.java,代码如下:
@SpringBootApplication(exclude = {DataSourceAutoConfiguration.class})
@EnableJpaRepositories
@MapperScan("com.project.demo.dao")
public class Application {
public static void main(String[] args) {
SpringApplication.run(Application.class,args);
}
}
修改数据代码如下:
@PostMapping("/set")
@Transactional
public Map<String, Object> set(HttpServletRequest request) throws IOException {
service.update(service.readQuery(request), service.readConfig(request), service.readBody(request.getReader()));
return success(1);
}
删除一条数据代码如下:
@RequestMapping(value = "/del")
@Transactional
public Map<String, Object> del(HttpServletRequest request) {
service.delete(service.readQuery(request), service.readConfig(request));
return success(1);
}
public void delete(Map<String,String> query,Map<String,String> config){
QueryWrapper wrapper = new QueryWrapper<E>();
toWhereWrapper(query, "0".equals(config.get(FindConfig.GROUP_BY)),wrapper);
baseMapper.delete(wrapper);
log.info("[{}] - 删除操作:{}",wrapper.getSqlSelect());
}
通过请求的参数获取列表数据,代码如下:
@RequestMapping("/get_list")
public Map<String, Object> getList(HttpServletRequest request) {
Map<String, Object> map = service.selectToPage(service.readQuery(request), service.readConfig(request));
return success(map);
}
获取某个组下面的数量,代码如下:
@RequestMapping(value = {"/count_group", "/count"})
public Map<String, Object> count(HttpServletRequest request) {
Integer value= service.selectSqlToInteger(service.groupCount(service.readQuery(request), service.readConfig(request)));
return success(value);
}
注册页登录代码如下:
/**
* 注册
* @param user
* @return
*/
@PostMapping("register")
public Map<String, Object> signUp(@RequestBody User user) {
// 查询用户
Map<String, String> query = new HashMap<>();
Map<String,Object> map = JSON.parseObject(JSON.toJSONString(user));
query.put("username",user.getUsername());
List list = service.selectBaseList(service.select(query, new HashMap<>()));
if (list.size()>0){
return error(30000, "用户已存在");
}
map.put("password",service.encryption(String.valueOf(map.get("password"))));
service.insert(map);
return success(1);
}
MD5加密,代码如下:
public String encryption(String plainText) {
String re_md5 = new String();
try {
MessageDigest md = MessageDigest.getInstance("MD5");
md.update(plainText.getBytes());
byte b[] = md.digest();
int i;
StringBuffer buf = new StringBuffer("");
for (int offset = 0; offset < b.length; offset++) {
i = b[offset];
if (i < 0)
i += 256;
if (i < 16)
buf.append("0");
buf.append(Integer.toHexString(i));
}
re_md5 = buf.toString();
} catch (Exception e) {
e.printStackTrace();
}
return re_md5;
}
登录页代码如下:
/**
* 登录
* @param data
* @param httpServletRequest
* @return
*/
@PostMapping("login")
public Map<String, Object> login(@RequestBody Map<String, String> data, HttpServletRequest httpServletRequest) {
log.info("[执行登录接口]");
String username = data.get("username");
String email = data.get("email");
String phone = data.get("phone");
String password = data.get("password");
List resultList = null;
Map<String, String> map = new HashMap<>();
if(username != null && "".equals(username) == false){
map.put("username", username);
resultList = service.selectBaseList(service.select(map, new HashMap<>()));
}
else if(email != null && "".equals(email) == false){
map.put("email", email);
resultList = service.selectBaseList(service.select(map, new HashMap<>()));
}
找回密码,接收用户输入的用户名、密码、验证码,并进行条件判断,代码如下:
/**
* 找回密码
* @param form
* @return
*/
@PostMapping("forget_password")
public Map<String, Object> forgetPassword(@RequestBody User form,HttpServletRequest request) {
JSONObject ret = new JSONObject();
String username = form.getUsername();
String code = form.getCode();
String password = form.getPassword();
// 判断条件
if(code == null || code.length() == 0){
return error(30000, "验证码不能为空");
}
if(username == null || username.length() == 0){
return error(30000, "用户名不能为空");
}
if(password == null || password.length() == 0){
return error(30000, "密码不能为空");
}
免费领取项目源码,请关注❥点赞收藏并私信博主,谢谢~
SpringBoot流浪动物管理系统
1880

被折叠的 条评论
为什么被折叠?



