基于springboot的家具商城系统
摘 要
随着电子商务的快速发展,在线购物已经成为人们日常生活的一部分。本项目旨在开发一个基于Springboot框架的家具商城系统,以满足现代消费者对于便捷、高效购物体验的需求。系统采用MVC架构模式,结合Springboot的自动配置、依赖注入等特性,实现了一个功能齐全、易于维护的在线家具销售平台。
系统的主要功能包括用户管理、家具商品展示、购物车管理、订单处理和支付集成。用户可以浏览各种家具商品,进行搜索和筛选,将选中的商品添加到购物车,并完成在线支付。管理员后台提供了家具商城管理、订单管理、用户反馈等功能,以便于商家对商品信息进行更新和维护,同时监控订单状态和处理用户反馈。
在技术实现上,系统后端采用Springboot框架,结合Spring MVC、Spring Data JPA等技术栈,前端则采用Angular或React等现代JavaScript框架,通过RESTful API与后端进行数据交互。数据库方面,系统使用了MySQL作为关系型数据库存储用户、商品和订单数据,同时引入Redis作为缓存解决方案,以提高系统的响应速度和数据处理能力。
通过对系统进行测试和优化,我们确保了系统的稳定性和性能。本项目不仅为家具零售商提供了一个有效的在线销售渠道,也为消费者提供了一个便捷、直观的购物平台,进一步推动了家具行业的数字化转型。
关键词:家具商城系统;Java; Springboot框架
ABSTRACT
With the rapid development of e-commerce, online shopping has become a part of people's daily lives. This project aims to develop a furniture mall system based on the Spring Boot framework to meet the needs of modern consumers for convenient and efficient shopping experiences. The system adopts the MVC architecture pattern, combined with the automatic configuration and dependency injection features of Spring Boot, to achieve a fully functional and easy to maintain online furniture sales platform.
The main functions of the system include user management, furniture product display, shopping cart management, order processing, and payment integration. Users can browse various furniture products, search and filter, add selected products to their shopping cart, and complete online payments. The administrator backend provides functions such as furniture mall management, order management, and user feedback to facilitate merchants in updating and maintaining product information, while monitoring order status and processing user feedback.
In terms of technical implementation, the system backend adopts the Spring Boot framework, combined with technology stacks such as Spring MVC and Spring Data JPA. The frontend uses modern JavaScript frameworks such as Angular or React, and interacts with the backend through RESTful APIs for data exchange. In terms of database, the system uses MySQL as a relational database to store user, product, and order data, while introducing Redis as a caching solution to improve the system's response speed and data processing capabilities.
By testing and optimizing the system, we have ensured its stability and performance. This project not only provides an effective online sales channel for furniture retailers, but also offers consumers a convenient and intuitive shopping platform, further promoting the digital transformation of the furniture industry.
Keywords: Furniture Mall System; Java; Spring Boot Framework
目 录
引 言
互联网技术的飞速发展和全球经济的数字化转型,电子商务已经成为现代商业活动的核心部分。在家具行业,传统的销售模式正逐步被在线商城所取代,消费者越来越偏好通过互联网平台来浏览、比较和购买家具产品。这种趋势不仅为消费者带来了便利,也为家具制造商和零售商开辟了新的市场机遇。
为了在竞争激烈的市场中取得成功,一个稳定、高效且用户友好的在线商城系统显得尤为重要。基于这一需求,本项目致力于开发一个基于Spring Boot框架的家具商城系统,旨在提供全面的电子商务解决方案,涵盖商品展示、用户交互、订单处理和支付集成等功能。
SpringBoot是一个开源的Java基础框架,它通过简化配置和提供自动配置功能,使得开发人员能够快速构建独立的、生产级别的基于Spring框架的应用程序。利用SpringBoot,我们可以构建一个具有高性能、高可用性和易于维护的家具商城系统。
1项目开发背景
1.1课题研究背景及意义
随着电子商务的普及,家具行业正经历着从传统销售模式向线上销售模式的转型。基于Spring boot的家具商城系统的研究和开发因此显得尤为重要。Springboot作为一个用于简化Spring应用程序开发的框架,通过自动化配置和约定大于配置的原则,大大简化了开发和部署过程,使得开发者能够更快速、更简单地构建和部署Spring应用程序。它提供内嵌的Web服务器,无需单独部署WAR文件,应用可以直接以JAR包形式运行,非常适合微服务的快速启动和部署。Springboot还简化了配置管理,减少了持久层和Spring配置的复杂性。项目从传统架构转向微服务架构,Springboot支持各种REST API的实现方式,并能与Spring Cloud等微服务相关技术无缝连接。基于Springboot的家具商城系统能够提供简洁明了的界面设计、流畅的操作流程,提升用户的使用满意度。同时,系统需具备高并发处理能力,确保在高峰时段能够稳定运行,满足大量用户的访问需求。
综上所述,基于Springboot的家具商城系统的研究和开发,不仅顺应了技术发展的趋势,也响应了市场的需求,具有重要的现实意义和广阔的发展前景。通过利用Spring Boot的技术特性,该系统能够为家具行业提供一个高效、稳定、易用的线上销售平台,推动家具行业的数字化转型和创新发展。
1.2国内外发展现状分析
在国内,随着电子商务的不断发展,家具商城系统正迎来更多的应用和挑战。国内的家具商城管理系统多采用Java技术,利用Springboot框架进行开发,以实现商品管理、订单处理等基本功能,并逐渐融入智能推荐等先进技术,以提升用户体验。国内的系统在技术选型上倾向于使用稳定且广泛应用的编程语言,同时注重系统的可扩展性和安全性设计。国内家具产业在“互联网+”与“工业4.0”的影响下,正朝着数字化与智能化转型,通过信息技术互联平台实现销售、设计、制造的一体化,推动家具产业的智能制造和智能化服务。
在国外,尤其是欧美等发达国家或地区,网上家具购物已经相当成熟且普及。国外家具商城管理系统不仅具备基本的商品管理、订单处理功能,还融入了智能推荐等先进技术手段,以提供更为丰富的用户体验和服务功能。在技术应用上,国外系统也十分注重数据驱动决策的理念,运用大数据分析等技术手段来提升管理效率和服务质量。例如,一些知名的家具品牌如IKEA、Wayfair等早已建立了自己的网上商城,并通过个性化的产品设计和优质的售后服务赢得了消费者的青睐。
总体而言,国内外在家具商城系统的研究和应用上都显示出了积极的态度和明显的进展,但国外在某些方面如用户体验和个性化服务上更为成熟。国内的系统正在快速发展,不断吸收和借鉴国外的成熟经验和技术,以期提升国内家具商城系统的竞争力和用户体验。
2相关技术简介
2.1 Springboot 框架简介
Spring Boot,作为Spring生态系统中一颗璀璨的明星,以其“约定优于配置”的核心理念,极大地简化了Java应用的开发、部署与管理流程。它并非是对Spring框架的颠覆,而是在其基础上进行了深度封装与优化,旨在快速搭建独立的、生产级别的Spring应用。Spring Boot通过自动配置功能,减少了大量繁琐的配置工作,让开发者能够更加专注于业务逻辑的实现。同时,它集成了众多常用库,如数据库连接池、缓存、消息队列等,为开发者提供了一站式的解决方案。此外,Spring Boot还支持多种部署方式,无论是传统的WAR包部署,还是现代的容器化部署,都能轻松应对。因此,选择Spring Boot作为家具商城系统的开发框架,不仅能够提升开发效率,还能确保系统的稳定性和可维护性。
2.2 MyBatis Plus框架简介
MyBatis Plus作为MyBatis的强化版,以其卓越的简化开发流程、增强的CRUD操作功能以及灵活的查询构建能力,在Java企业级应用开发中大放异彩。它不仅保留了MyBatis的灵活性和SQL控制能力,还通过内置通用Mapper、条件构造器、代码生成器等工具,极大减轻了开发者的负担。MyBatis Plus的自动填充、乐观锁、逻辑删除等特性,更是为数据管理提供了强大的支持。在家具商城系统中引入MyBatis Plus,意味着可以更快地实现复杂的数据操作逻辑,更灵活地应对业务需求变化,同时保持代码的清晰和可维护性,是提升开发效率、保障系统稳定性的不二之选。
2.3 VUE框架简介
Vue框架,作为一款风靡前端的JavaScript框架,以其渐进式、组件化的设计理念,为开发者构建高效、灵活的Web界面提供了强大支持。Vue不仅轻量且易于上手,其核心库专注于视图层,使得开发者能够轻松地将Vue集成到现有项目中,实现前后端分离的现代Web应用开发。其响应式的数据绑定和组件系统,让开发者能够高效地管理界面状态和用户交互,同时Vue丰富的生态系统也提供了众多插件和工具,进一步提升了开发效率和应用的性能。在Springboot家具商城系统中引入Vue作为前端框架,不仅可以优化用户界面的渲染和交互体验,还能通过前后端分离的架构提升系统的可维护性和可扩展性,是构建现代、高效家具商城系统的理想选择。
2.4 MySQL数据库简介
MySQL数据库,作为开源关系型数据库管理系统的佼佼者,以其高性能、可靠性、易用性和灵活性,在全球范围内被广泛应用于各类企业级应用中。MySQL采用SQL(结构化查询语言)作为数据操作的标准语言,支持复杂的查询、数据更新、索引优化等功能,确保数据的高效存取和完整性。其强大的事务处理能力,为业务逻辑的原子性、一致性、隔离性和持久性提供了坚实保障。此外,MySQL还具备高度的可配置性和可扩展性,通过优化存储引擎、调整配置参数等手段,可以轻松应对高并发、大数据量的应用场景。在基于Springboot家具商城系统中,MySQL作为后端数据存储的核心,不仅为系统提供了稳定可靠的数据支持,还通过其丰富的数据操作功能,助力系统实现复杂的业务逻辑和高效的数据管理。
3系统需求分析
3.1系统总体功能需求
基于Springboot的家具商城系统旨在通过集成先进的信息技术,为家具企业和游客提供一个高效、便捷、全面的家具商城平台。系统总体功能性设计围绕电影购票的核心业务流程展开,主要包括以下几个功能模块:
(1)用户管理模块:
用户注册与登录:支持普通注册新用户账号,并通过用户名和密码登录系统。
个人资料:用户登录后可查看和修改自己的个人信息,如姓名、联系方式、头像等。
(2)家具商城管理模块:
家具商品展示与查询:展示各类型家具商品,并支持按条件查询。
家具商品信息编辑:管理员可以管理所有家具商品,支持分类、搜索、排序等功能。添加家具商品的详细信息,包括图片、描述、规格、价格等。
(3)订单管理模块:
订单生成:用户选择家具商品并提交订单,系统自动生成订单信息。
订单处理:管理员可查看、修改订单状态,如取消订单、评价评分、是否支付等。
支付接口集成:集成第三方支付平台,支持用户在线支付订单。
3.2系统功能需求分析
基于Spring Boot 的家具商城系统的设计与实现包含前端跟后端,其中还后端包含注册用户、商家和管理员三个角色划分,主要功能如下:
3.2.1.前端主要功能
(1)首页:首页包含轮播图、家具资讯,家具商城推荐。
(2)公告信息:主要展示后端发布的重要通知或更新公告信息。
(3)新闻资讯:查看新闻资讯信息,可发表评论,可点赞、可收藏。
(4)家具商城:展示所有后台发布的家具商城列表信息,点击可查看是家具详情信息。可进行商品购买、领取优惠券、点赞、收藏以及发表评论。
(5)商城管理:
我的购物车:用户可以添加商品至购物车,并进行结算。
我的订单:查看和管理个人的订单状态。
我的地址:管理收货地址信息。
我的优惠券:查看可用优惠券及使用条件。
(6)咨询留言:用户可以向商家提出咨询或建议。
(7)促销活动:展示正在进行的促销活动,鼓励用户购买。
3.2.2.注册用户主要功能
(1)用户注册:浏览用户注册:在用户注册页面中填写好账号、密码、确认密码、昵称、邮箱、选择身份、用户姓名、性别、手机号等字段值,点击下方注册按钮,提示注册成功后,系统将自动跳转回到首页。
(2)用户登录:点击“登录”按钮,输入用户名以及密码登录系统,登录时前端会自动校验用户名与密码,输入正确登录成功,输入错误会有提示信息。
(3)我的账户:包含个人资料修改跟密码修改,个人资料可修改头像等,修改密码:输入原始密码、新密码、确认密码点击保存即可修改成功。登录用新密码登录。
(4)个人中心:包含个人首页、咨询留言、订单信息、反馈信息、订单配送、收藏等。个人首页:展示用户的个人信息和快捷入口。咨询留言:用户可以向商家提出咨询或建议。订单信息:查看订单详情。反馈信息:提交使用过程中遇到的问题或建议。订单配送:跟踪订单的物流信息。收藏:保存感兴趣的家具商品。
3.2.3商家主要功能
(1)咨询留言管理:商家用户可以处理来自用户的咨询和留言,并进行回复。
(2)促销活动管理:商家用户可以创建、编辑和删除促销活动。
(3)订单信息管理:商家用户查看订单的详细信息,包括商品、地址、支付等。
(4)反馈信息管理:商家用户查看反馈详情,回复用户反馈或建议。
(5)家具商城管理:商家用户管理商品信息,如上下架、库存调整、价格设置等,并进行增删改查等操作。
3.2.4管理员主要功能
(1)系统管理:轮播图管理:可以查看轮播图详情,以及查询、重置、删除、添加等操作。
(2)系统用户:管理注册用户、商家用户和管理员信息,包含查询、新增、删除、查看详情等操作。
(3)资源管理:包含新闻资讯跟资讯分类,新闻资讯可查看资讯详情与评论,以及查询、重置、删除、添加等操作。资讯分类:可查看资讯分类详情,以及查询、重置、删除、添加等操作。
(4)咨询留言管理:管理员统一处理所有用户的咨询和留言,包括增删改查等操作。
(5)促销活动管理:管理员全局控制所有促销活动,包括增删改查等操作。
(6)订单信息管理:管理员监督所有订单的处理情况,并可进行查询、重置、删除等操作。
(7)商城管理:
分类列表:管理商品分类,支持新增、编辑、删除分类。
订单列表:查看所有订单的状态,支持批量处理。
订单配送:管理订单的物流信息,支持与第三方物流对接。
优惠券:管理发放给用户的优惠券,支持创建、编辑、删除优惠券。
订单售后:处理退换货请求等售后服务,支持退款、换货等操作。
3.3系统非功能性分析
开发一个基于Springboot的家具商城系统毕业论文时,非功能性需求分析是一个重要的部分。非功能性需求主要关注的是系统如何运行,而不是它具体完成什么功能。这些需求包括性能、可用性、安全性、可维护性、可扩展性、易用性等方面。以下是一个关于基于Springboot的家具商城系统非功能性需求分析的概要。
性能需求:系统需确保快速响应和高吞吐量,以支持大量用户同时访问,即使在高峰时段也能保持流畅的操作体验,避免因延迟或卡顿影响用户体验。
可用性:安系统必须具备高可用性,采用冗余部署、负载均衡等策略,确保即使部分组件故障也能迅速恢复服务,减少服务中断时间,保障用户业务的连续性。
安全性:鉴于系统处理用户敏感信息,如个人信息、支付数据等,必须实施严格的安全措施,包括数据加密、访问控制、防攻击机制等,以保护用户数据免受未授权访问或泄露。
可维护性:系统设计应注重可维护性,采用模块化、标准化的架构,提供详尽的开发文档和用户手册,确保系统易于理解和维护,降低长期运维成本。
可扩展性:随着业务的发展,系统可能需要扩展功能或提升性能。因此,系统需具备灵活的可扩展性,能够轻松添加新模块、优化性能,以应对未来增长的需求。
易用性:用户界面应直观易用,符合用户习惯,提供清晰的导航和友好的操作反馈,帮助用户快速上手并高效完成任务,提升整体用户满意度。
3.4系统可行性分析
通过Springboot家具商城系统的可行性分析,我们可以从技术可行性、经济可行性、操作可行性以及社会可行性四个维度进行深入探讨,以确保系统的开发与应用具有坚实的可行性基础。
3.4.1技术可行性
Springboot作为目前流行的Java企业级应用开发框架,以其“约定优于配置”的原则,极大地简化了开发流程,降低了技术门槛。同时,结合MyBatis Plus这一强大的ORM框架,可以高效实现数据持久化操作。前端采用Vue框架,不仅提升了用户界面的交互体验,也实现了前后端分离的现代Web架构。MySQL数据库作为后端数据存储,以其高性能和稳定性为系统提供了可靠的数据支持。综上所述,从技术角度来看,该系统的开发具备高度可行性。
3.4.2经济可行性
考虑到Springboot、Vue、MyBatis Plus及MySQL等均为开源技术,无需支付高昂的许可费用,大大降低了系统的开发成本。同时,这些技术拥有广泛的用户群体和成熟的社区支持,便于获取技术支持和资源共享。此外,系统的实施将显著提升在线购物的效率和用户体验,从而带来潜在的经济效益。因此,从经济角度来看,该系统的开发同样具备可行性。
3.4.3操作可行性
系统设计应遵循用户友好原则,确保用户能够轻松上手并高效使用。通过合理的界面布局、直观的操作流程以及详尽的帮助文档,可以大大降低用户的学习成本,提高系统的操作可行性。此外,系统还应具备完善的权限管理和数据安全机制,确保操作的安全性和合规性。
3.4.4社会可行性
随着互联网的普及和电子商务的蓬勃发展,人们越来越习惯于在线购物,尤其是在家具这类大宗商品的购买上,一个便捷、直观的在线平台能够满足消费者对效率和个性化选择的需求。该系统能够为家具企业提供一个展示和销售产品的新渠道,有助于企业拓展市场和增加收入,同时也促进了就业和经济发展。从社会角度来看,开发这样一个系统不仅能够提升消费者体验,还能推动家具行业的数字化转型,具有明显的社会可行性。
从技术、经济、操作和社会四个维度来看,基于Springboot的家具商城系统的开发均具备高度的可行性。
3.5系统用例分析
基于Springboot的家具商城系统用例分析主要从注册用户,商家用户和管理员这些实体展开描述。
3.5.1注册用户用例分析
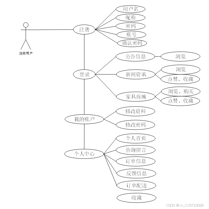
注册用户具备注册(用户名、账号等),登录,浏览公告、资讯并预订电影票、取消购票等需求用例,登录注册包括账号、设置密码、确认密码、昵称、邮箱、手机号、身份等用例信息;登录后可参与:公告信息(浏览),新闻资讯(浏览、发表评论、点赞、收藏),家具商城(浏览、发表、点赞、收藏、购买等),商城管理(我的购物车、订单、地址、优惠券),咨询留言(浏览、发表),促销活动(浏览、领取),我的账户:修改资料:上传头像、编辑昵称等用例信息;修改密码用例包括了旧密码,新密码,确认新密码等用例信息,个人中心包含:个人首页、咨询留言、订单信息、反馈信息、订单配送和收藏列表。详细用例图如图3-1所示。

3.5.2商家用户用例分析
商家用户由管理员进行添加,具备后台首页,咨询留言管理,促销活动管理,订单信息管理,反馈信息管理,商城管理(家具商城,分类列表,订单列表,订单配送,优惠券,订单售后)。详细用例图如图3-2所示。

图3-2商家用户用例图
3.5.3管理员用例分析
管理员具备后台首页,系统用户(普通用户,商家用户,管理员),咨询留言管理,促销活动管理,订单信息管理,反馈信息管理,系统管理(轮播图),公告信息管理,资源管理(新闻资讯,资讯分类),商城管理(家具商城,分类列表,订单列表,订单配送,优惠券,订单售后)。详细用例图如图2-4所示。

图3-3管理员用例图
4系统设计
4.1系统总体设计思路
基于springboot架构技术的家具商城系统采用Browser/Server结构,(浏览器/服务器)和基于Web服务前后台交互的模式,是一个适用于Windows体系环境下的模型结构。只要用户有符合程序运行的硬件系统,并连上互联网,便可以在任何时间、任何地点使用。系统工作原理图如图4-1所示:

图4-1系统工作原理图
其最终前后台交互原理如图4-2所示。

图4-2前后台交互原理
具体交互流程为:浏览器中执行具体操作,操作命令将生成一个do方法。该方法使得浏览器能够访问后台中的Controller层,Controller层由于业务上的需要执行进而访问Service层。Service层收到指令后将会去调用内部DAO层的接口。接口将会和MyBatis层下的一个SQL语句相对接。对接好之后进而访问MySql数据库。更新底层数据,然后将数据同步回MyBatis层,同步变化后的数据将通过DAO层接口,Service层和后台Controller层,直观反映到浏览器页面上。
4.2系统结构设计
基于spingboot的家具商城系统的整体结构设计如图4-3所示。

图4-3整体功能结构设计图
4.3系统功能设计
4.3.1用户登录流程
当注册用户进入登录页面时,当其在浏览器执行具体操作的时候,后端会同步显示,如图4-4所示。

图4-4登录流程图
4.3.2用户购物订单操作流程
当用户登录系统的时候,浏览家具商城,查看详情并进行购买生成订单信息,管理员在后端处理订单。注册用户购物订单操作流程如图4-5所示。

图4-5系统操作流程图
4.3.3用户咨询留言操作流程
用户购买商品时可以对商品进行咨询留言。商品咨询留言流程如图4-6所示。

图4-6咨询留言操作流程图.
4.4系统核心代码设计
基于springboot的家具商城系统的核心代码设计如下:
4.4.1用户注册
注册页UserController.java,传入user对象,并将"user_id"、 "state"、 "user_group"、"login_time"、"phone"、"phone_state"、 "username"、"nickname"、"password"、"email"、"email_state"、"avatar"、"create_time"输入,重点是 "username"、"nickname"、"password"必须输入,通过获取username,数据库查询是否有该用户,如果存在,则提示“用户已存在”,否则执行将UserId置为空(数据库表中该字段已设置自动递增),代码如图4-7所示。

图4-7注册核心代码图
4.4.2用户登录
登录页,首先传入"username"、"email"、"phone"、"password",用户可通过用户名、邮箱、手机号进行登陆,通过判断resultList来确定查询结果,然后执行查询用户组UserGroup,用户组里面不存在,依然报“用户不存在”,执行完以上代码,最后涉及到用户带有“审核”的,会查询examine_state(用户的审核状态),数据库表user_group中含有source_table和source_field进行查询,以上步骤完成,对输入的密码进行存储Token到数据库,匹对账号和密码,数据库中的AccessToken为令牌,用于身份认证,代码如图4-8所示。

图4-8用户登录核心代码图
4.4.3修改密码
修改密码,通过请求data,获取旧密码,并将新密码重新赋值,期间都是需要通过加密,代码如图4-9所示。

图4-9修改密码核心代码图
4.4.4修改数据
修改一个数据,原理与add基本一致,不同点在于通过readConfig()读取关键字,以及通过readQuery()获取URL后面?指定位置的标识,转成Map对象后,执行update操作,同样通过拼接的sql语句执行,执行过程读取query,toWhereSql()语句完成数据库操作,body为修改对象的值,代码如图4-10所示。

图4-10修改数据核心代码图
4.4.5删除数据
删除一条数据,通过readQuery(),获取URL后面的对象地址,删除FROM具体的table,query删除查询FindConfig语句,代码如图4-11所示。

图4-11删除数据核心代码图
4.4.6获取列表
通过请求的参数获取列表数据,代码如图4-12所示。

图4-12获取列表核心代码图
4.4.7图片上传
通过请求的参数获取列表数据,代码如图4-13所示。

图4-13图片上传核心代码图
4.5数据库设计
4.4.1数据库设计原则
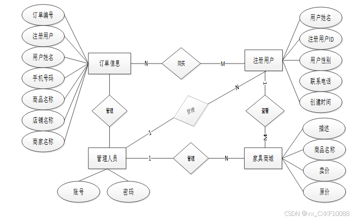
基于springboot的家具商城系统在进行数据库设计时,考虑到个人能力与数据库选择,选择了数据库Mysql。以下将使用E-R展示数据库中设计的实体及主要的字段和类型及数据库的描述。
4.4.2数据库实体
通过建立基于基于Spring Boot 的家具商城系统的设计与实现的E-R模型图。以此来设计详细的数据库资料实体,以下为具体图例:
(1)注册实体实体图如图4-14所示;

图4-14注册用户实体图
(2)家具商城实体图如图4-15所示;

图4-15家具商城实体图
(3)订单信息实体图如图4-16所示;

图4-16订单信息实体图
(4)数据库实体E-R图如图4-17所示:

图4-17数据库E-R图
4.4.3数据库表设计
以下为本课题开发过程中所使用的数据表结构:
| 编号 | 名称 | 数据类型 | 长度 | 小数位 | 允许空值 | 主键 | 默认值 | 说明 |
| 1 | token_id | int | 10 | 0 | N | Y | 临时访问牌ID | |
| 2 | token | varchar | 64 | 0 | Y | N | 临时访问牌 | |
| 3 | info | text | 65535 | 0 | Y | N | ||
| 4 | maxage | int | 10 | 0 | N | N | 2 | 最大寿命:默认2小时 |
| 5 | create_time | timestamp | 19 | 0 | N | N | CURRENT_TIMESTAMP | 创建时间: |
| 6 | update_time | timestamp | 19 | 0 | N | N | CURRENT_TIMESTAMP | 更新时间: |
| 7 | user_id | int | 10 | 0 | N | N | 0 | 用户编号: |
| 编号 | 名称 | 数据类型 | 长度 | 小数位 | 允许空值 | 主键 | 默认值 | 说明 |
| 1 | address_id | int | 10 | 0 | N | Y | 收货地址: | |
| 2 | name | varchar | 32 | 0 | Y | N | 姓名: | |
| 3 | phone | varchar | 13 | 0 | Y | N | 手机: | |
| 4 | postcode | varchar | 8 | 0 | Y | N | 邮编: | |
| 5 | address | varchar | 255 | 0 | N | N | 地址: | |
| 6 | user_id | mediumint | 8 | 0 | N | N | 用户ID:[0,8388607]用户获取其他与用户相关的数据 | |
| 7 | create_time | timestamp | 19 | 0 | N | N | CURRENT_TIMESTAMP | 创建时间: |
| 8 | update_time | timestamp | 19 | 0 | N | N | CURRENT_TIMESTAMP | 更新时间: |
| 9 | default | bit | 1 | 0 | N | N | 0 | 默认判断 |
| 编号 | 名称 | 数据类型 | 长度 | 小数位 | 允许空值 | 主键 | 默认值 | 说明 |
| 1 | article_id | mediumint | 8 | 0 | N | Y | 文章id:[0,8388607] | |
| 2 | title | varchar | 125 | 0 | N | Y | 标题:[0,125]用于文章和html的title标签中 | |
| 3 | type | varchar | 64 | 0 | N | N | 0 | 文章分类:[0,1000]用来搜索指定类型的文章 |
| 4 | hits | int | 10 | 0 | N | N | 0 | 点击数:[0,1000000000]访问这篇文章的人次 |
| 5 | praise_len | int | 10 | 0 | N | N | 0 | 点赞数 |
| 6 | create_time | timestamp | 19 | 0 | N | N | CURRENT_TIMESTAMP | 创建时间: |
| 7 | update_time | timestamp | 19 | 0 | N | N | CURRENT_TIMESTAMP | 更新时间: |
| 8 | source | varchar | 255 | 0 | Y | N | 来源:[0,255]文章的出处 | |
| 9 | url | varchar | 255 | 0 | Y | N | 来源地址:[0,255]用于跳转到发布该文章的网站 | |
| 10 | tag | varchar | 255 | 0 | Y | N | 标签:[0,255]用于标注文章所属相关内容,多个标签用空格隔开 | |
| 11 | content | longtext | 2147483647 | 0 | Y | N | 正文:文章的主体内容 | |
| 12 | img | varchar | 255 | 0 | Y | N | 封面图 | |
| 13 | description | text | 65535 | 0 | Y | N | 文章描述 |
| 编号 | 名称 | 数据类型 | 长度 | 小数位 | 允许空值 | 主键 | 默认值 | 说明 |
| 1 | type_id | smallint | 5 | 0 | N | Y | 分类ID:[0,10000] | |
| 2 | display | smallint | 5 | 0 | N | N | 100 | 显示顺序:[0,1000]决定分类显示的先后顺序 |
| 3 | name | varchar | 16 | 0 | N | N | 分类名称:[2,16] | |
| 4 | father_id | smallint | 5 | 0 | N | N | 0 | 上级分类ID:[0,32767] |
| 5 | description | varchar | 255 | 0 | Y | N | 描述:[0,255]描述该分类的作用 | |
| 6 | icon | text | 65535 | 0 | Y | N | 分类图标: | |
| 7 | url | varchar | 255 | 0 | Y | N | 外链地址:[0,255]如果该分类是跳转到其他网站的情况下,就在该URL上设置 | |
| 8 | create_time | timestamp | 19 | 0 | N | N | CURRENT_TIMESTAMP | 创建时间: |
| 9 | update_time | timestamp | 19 | 0 | N | N | CURRENT_TIMESTAMP | 更新时间: |
| 编号 | 名称 | 数据类型 | 长度 | 小数位 | 允许空值 | 主键 | 默认值 | 说明 |
| 1 | auth_id | int | 10 | 0 | N | Y | 授权ID: | |
| 2 | user_group | varchar | 64 | 0 | Y | N | 用户组: | |
| 3 | mod_name | varchar | 64 | 0 | Y | N | 模块名: | |
| 4 | table_name | varchar | 64 | 0 | Y | N | 表名: | |
| 5 | page_title | varchar | 255 | 0 | Y | N | 页面标题: | |
| 6 | path | varchar | 255 | 0 | Y | N | 路由路径: | |
| 7 | parent | varchar | 64 | 0 | Y | N | 父级菜单 | |
| 8 | parent_sort | int | 10 | 0 | N | N | 0 | 父级菜单排序 |
| 9 | position | varchar | 32 | 0 | Y | N | 位置: | |
| 10 | mode | varchar | 32 | 0 | N | N | _blank | 跳转方式: |
| 11 | add | tinyint | 3 | 0 | N | N | 1 | 是否可增加: |
| 12 | del | tinyint | 3 | 0 | N | N | 1 | 是否可删除: |
| 13 | set | tinyint | 3 | 0 | N | N | 1 | 是否可修改: |
| 14 | get | tinyint | 3 | 0 | N | N | 1 | 是否可查看: |
| 15 | field_add | text | 65535 | 0 | Y | N | 添加字段: | |
| 16 | field_set | text | 65535 | 0 | Y | N | 修改字段: | |
| 17 | field_get | text | 65535 | 0 | Y | N | 查询字段: | |
| 18 | table_nav_name | varchar | 500 | 0 | Y | N | 跨表导航名称: | |
| 19 | table_nav | varchar | 500 | 0 | Y | N | 跨表导航: | |
| 20 | option | text | 65535 | 0 | Y | N | 配置: | |
| 21 | create_time | timestamp | 19 | 0 | N | N | CURRENT_TIMESTAMP | 创建时间: |
| 22 | update_time | timestamp | 19 | 0 | N | N | CURRENT_TIMESTAMP | 更新时间: |
| 编号 | 名称 | 数据类型 | 长度 | 小数位 | 允许空值 | 主键 | 默认值 | 说明 |
| 1 | cart_id | int | 10 | 0 | N | Y | 购物车ID: | |
| 2 | title | varchar | 64 | 0 | Y | N | 标题: | |
| 3 | img | varchar | 255 | 0 | N | N | 0 | 图片: |
| 4 | user_id | int | 10 | 0 | N | N | 0 | 用户ID: |
| 5 | create_time | timestamp | 19 | 0 | N | N | CURRENT_TIMESTAMP | 创建时间: |
| 6 | update_time | timestamp | 19 | 0 | N | N | CURRENT_TIMESTAMP | 更新时间: |
| 7 | state | int | 10 | 0 | N | N | 0 | 状态:使用中,已失效 |
| 8 | price | double | 9 | 2 | N | N | 0.00 | 单价: |
| 9 | price_ago | double | 9 | 2 | N | N | 0.00 | 原价: |
| 10 | price_count | double | 11 | 2 | N | N | 0.00 | 总价: |
| 11 | num | int | 10 | 0 | N | N | 1 | 数量: |
| 12 | goods_id | mediumint | 8 | 0 | N | N | 商品id:[0,8388607] | |
| 13 | type | varchar | 64 | 0 | N | N | 未分类 | 商品分类: |
| 14 | description | varchar | 255 | 0 | Y | N | 描述:[0,255]用于产品规格描述 |
| 编号 | 名称 | 数据类型 | 长度 | 小数位 | 允许空值 | 主键 | 默认值 | 说明 |
| 1 | code_token_id | int | 10 | 0 | N | Y | ||
| 2 | token | varchar | 255 | 0 | Y | N | ||
| 3 | code | varchar | 255 | 0 | Y | N | 验证码 | |
| 4 | expire_time | timestamp | 19 | 0 | N | N | CURRENT_TIMESTAMP | 失效时间 |
| 5 | create_time | timestamp | 19 | 0 | N | N | CURRENT_TIMESTAMP | 创建时间 |
| 6 | update_time | timestamp | 19 | 0 | N | N | CURRENT_TIMESTAMP | 更新时间: |
| 编号 | 名称 | 数据类型 | 长度 | 小数位 | 允许空值 | 主键 | 默认值 | 说明 |
| 1 | collect_id | int | 10 | 0 | N | Y | 收藏ID: | |
| 2 | user_id | int | 10 | 0 | N | N | 0 | 收藏人ID: |
| 3 | source_table | varchar | 255 | 0 | Y | N | 来源表: | |
| 4 | source_field | varchar | 255 | 0 | Y | N | 来源字段: | |
| 5 | source_id | int | 10 | 0 | N | N | 0 | 来源ID: |
| 6 | title | varchar | 255 | 0 | Y | N | 标题: | |
| 7 | img | varchar | 255 | 0 | Y | N | 封面: | |
| 8 | create_time | timestamp | 19 | 0 | N | N | CURRENT_TIMESTAMP | 创建时间: |
| 9 | update_time | timestamp | 19 | 0 | N | N | CURRENT_TIMESTAMP | 更新时间: |
| 编号 | 名称 | 数据类型 | 长度 | 小数位 | 允许空值 | 主键 | 默认值 | 说明 |
| 1 | comment_id | int | 10 | 0 | N | Y | 评论ID: | |
| 2 | user_id | int | 10 | 0 | N | N | 0 | 评论人ID: |
| 3 | reply_to_id | int | 10 | 0 | N | N | 0 | 回复评论ID:空为0 |
| 4 | content | longtext | 2147483647 | 0 | Y | N | 内容: | |
| 5 | nickname | varchar | 255 | 0 | Y | N | 昵称: | |
| 6 | avatar | varchar | 255 | 0 | Y | N | 头像地址:[0,255] | |
| 7 | create_time | timestamp | 19 | 0 | N | N | CURRENT_TIMESTAMP | 创建时间: |
| 8 | update_time | timestamp | 19 | 0 | N | N | CURRENT_TIMESTAMP | 更新时间: |
| 9 | source_table | varchar | 255 | 0 | Y | N | 来源表: | |
| 10 | source_field | varchar | 255 | 0 | Y | N | 来源字段: | |
| 11 | source_id | int | 10 | 0 | N | N | 0 | 来源ID: |
| 编号 | 名称 | 数据类型 | 长度 | 小数位 | 允许空值 | 主键 | 默认值 | 说明 |
| 1 | consultation_message_id | int | 10 | 0 | N | Y | 咨询留言ID | |
| 2 | ordinary_users | int | 10 | 0 | Y | N | 0 | 普通用户 |
| 3 | user_name | varchar | 64 | 0 | Y | N | 用户姓名 | |
| 4 | consultation_title | varchar | 64 | 0 | Y | N | 咨询标题 | |
| 5 | merchant_users | int | 10 | 0 | Y | N | 0 | 商家用户 |
| 6 | consultation_content | text | 65535 | 0 | Y | N | 咨询内容 | |
| 7 | merchant_response | text | 65535 | 0 | Y | N | 商家回复 | |
| 8 | create_time | datetime | 19 | 0 | N | N | CURRENT_TIMESTAMP | 创建时间 |
| 9 | update_time | timestamp | 19 | 0 | N | N | CURRENT_TIMESTAMP | 更新时间 |
| 编号 | 名称 | 数据类型 | 长度 | 小数位 | 允许空值 | 主键 | 默认值 | 说明 |
| 1 | coupon_id | int | 10 | 0 | N | Y | 优惠券id | |
| 2 | coupon_user_id | int | 10 | 0 | Y | N | 优惠券用户id | |
| 3 | coupon_user_auth | varchar | 255 | 0 | Y | N | 优惠券用户 | |
| 4 | coupon_name | varchar | 255 | 0 | Y | N | 优惠券名称 | |
| 5 | coupon_price | int | 10 | 0 | Y | N | 优惠券价格 | |
| 6 | coupon_price1 | int | 10 | 0 | Y | N | 优惠券券后价格 | |
| 7 | coupon_time | varchar | 255 | 0 | Y | N | 优惠券时间 | |
| 8 | coupon_type | varchar | 255 | 0 | Y | N | 优惠券类型 | |
| 9 | create_time | timestamp | 19 | 0 | Y | N | CURRENT_TIMESTAMP | |
| 10 | update_time | timestamp | 19 | 0 | Y | N | CURRENT_TIMESTAMP |
| 编号 | 名称 | 数据类型 | 长度 | 小数位 | 允许空值 | 主键 | 默认值 | 说明 |
| 1 | id | int | 10 | 0 | N | Y | id | |
| 2 | user_id | int | 10 | 0 | Y | N | 用户id | |
| 3 | coupon_id | int | 10 | 0 | Y | N | 优惠券id | |
| 4 | is_use | int | 10 | 0 | Y | N | 是否使用 | |
| 5 | coupon_user_id | int | 10 | 0 | Y | N |
| 编号 | 名称 | 数据类型 | 长度 | 小数位 | 允许空值 | 主键 | 默认值 | 说明 |
| 1 | feedback_information_id | int | 10 | 0 | N | Y | 反馈信息ID | |
| 2 | ordinary_users | int | 10 | 0 | Y | N | 0 | 普通用户 |
| 3 | user_name | varchar | 64 | 0 | Y | N | 用户姓名 | |
| 4 | order_number | varchar | 64 | 0 | Y | N | 订单编号 | |
| 5 | product_name | varchar | 64 | 0 | Y | N | 商品名称 | |
| 6 | commodity_price | varchar | 64 | 0 | Y | N | 商品价格 | |
| 7 | merchant_users | int | 10 | 0 | Y | N | 0 | 商家用户 |
| 8 | store_name | varchar | 64 | 0 | Y | N | 店铺名称 | |
| 9 | feedback_content | text | 65535 | 0 | Y | N | 反馈内容 | |
| 10 | merchant_response | text | 65535 | 0 | Y | N | 商家回复 | |
| 11 | create_time | datetime | 19 | 0 | N | N | CURRENT_TIMESTAMP | 创建时间 |
| 12 | update_time | timestamp | 19 | 0 | N | N | CURRENT_TIMESTAMP | 更新时间 |
| 13 | source_table | varchar | 255 | 0 | Y | N | 来源表 | |
| 14 | source_id | int | 10 | 0 | Y | N | 来源ID | |
| 15 | source_user_id | int | 10 | 0 | Y | N | 来源用户 |
| 编号 | 名称 | 数据类型 | 长度 | 小数位 | 允许空值 | 主键 | 默认值 | 说明 |
| 1 | furniture_mall_id | int | 10 | 0 | N | Y | 家具商城ID | |
| 2 | product_notice | varchar | 64 | 0 | Y | N | 商品须知 | |
| 3 | merchant_users | int | 10 | 0 | Y | N | 0 | 商家用户 |
| 4 | store_name | varchar | 64 | 0 | Y | N | 店铺名称 | |
| 5 | store_address | varchar | 64 | 0 | Y | N | 店铺地址 | |
| 6 | store_phone_number | varchar | 64 | 0 | Y | N | 店铺电话 | |
| 7 | cart_title | varchar | 125 | 0 | Y | N | 标题:[0,125]用于产品html的标签中 | |
| 8 | cart_img | text | 65535 | 0 | Y | N | 封面图:用于显示于产品列表页 | |
| 9 | cart_description | varchar | 255 | 0 | Y | N | 描述:[0,255]用于产品规格描述 | |
| 10 | cart_price_ago | double | 8 | 2 | N | N | 0.00 | 原价:[1] |
| 11 | cart_price | double | 8 | 2 | N | N | 0.00 | 卖价:[1] |
| 12 | cart_inventory | int | 10 | 0 | N | N | 0 | 商品库存 |
| 13 | cart_type | varchar | 64 | 0 | N | N | 未分类 | 商品分类: |
| 14 | cart_content | longtext | 2147483647 | 0 | Y | N | 正文:产品的主体内容 | |
| 15 | cart_img_1 | text | 65535 | 0 | Y | N | 主图1: | |
| 16 | cart_img_2 | text | 65535 | 0 | Y | N | 主图2: | |
| 17 | cart_img_3 | text | 65535 | 0 | Y | N | 主图3: | |
| 18 | cart_img_4 | text | 65535 | 0 | Y | N | 主图4: | |
| 19 | cart_img_5 | text | 65535 | 0 | Y | N | 主图5: | |
| 20 | cart_integral | int | 10 | 0 | Y | N | 0 | 积分 |
| 21 | create_time | datetime | 19 | 0 | N | N | CURRENT_TIMESTAMP | 创建时间 |
| 22 | update_time | timestamp | 19 | 0 | N | N | CURRENT_TIMESTAMP | 更新时间 |
| 编号 | 名称 | 数据类型 | 长度 | 小数位 | 允许空值 | 主键 | 默认值 | 说明 |
| 1 | goods_id | mediumint | 8 | 0 | N | Y | 产品id:[0,8388607] | |
| 2 | title | varchar | 125 | 0 | Y | N | 标题:[0,125]用于产品和html的<title>标签中 | |
| 3 | img | text | 65535 | 0 | Y | N | 封面图:用于显示于产品列表页 | |
| 4 | description | varchar | 255 | 0 | Y | N | 描述:[0,255]用于产品规格描述 | |
| 5 | price_ago | double | 8 | 2 | N | N | 0.00 | 原价:[1] |
| 6 | price | double | 8 | 2 | N | N | 0.00 | 卖价:[1] |
| 7 | sales | int | 10 | 0 | N | N | 0 | 销量:[0,1000000000] |
| 8 | inventory | int | 10 | 0 | N | N | 0 | 商品库存 |
| 9 | type | varchar | 64 | 0 | N | N | 商品分类: | |
| 10 | hits | int | 10 | 0 | N | N | 0 | 点击量:[0,1000000000]访问这篇产品的人次 |
| 11 | content | longtext | 2147483647 | 0 | Y | N | 正文:产品的主体内容 | |
| 12 | img_1 | text | 65535 | 0 | Y | N | 主图1: | |
| 13 | img_2 | text | 65535 | 0 | Y | N | 主图2: | |
| 14 | img_3 | text | 65535 | 0 | Y | N | 主图3: | |
| 15 | img_4 | text | 65535 | 0 | Y | N | 主图4: | |
| 16 | img_5 | text | 65535 | 0 | Y | N | 主图5: | |
| 17 | create_time | timestamp | 19 | 0 | N | N | CURRENT_TIMESTAMP | 创建时间: |
| 18 | update_time | timestamp | 19 | 0 | N | N | CURRENT_TIMESTAMP | 更新时间: |
| 19 | customize_field | text | 65535 | 0 | Y | N | 自定义字段 | |
| 20 | source_table | varchar | 255 | 0 | Y | N | 来源表: | |
| 21 | source_field | varchar | 255 | 0 | Y | N | 来源字段: | |
| 22 | source_id | int | 10 | 0 | N | N | 0 | 来源ID: |
| 23 | user_id | int | 10 | 0 | Y | N | 0 | 添加人 |
| 24 | integral | int | 10 | 0 | Y | N | 0 | 积分 |
| 编号 | 名称 | 数据类型 | 长度 | 小数位 | 允许空值 | 主键 | 默认值 | 说明 |
| 1 | type_id | int | 10 | 0 | N | Y | 商品分类ID: | |
| 2 | father_id | smallint | 5 | 0 | N | N | 0 | 上级分类ID:[0,32767] |
| 3 | name | varchar | 255 | 0 | Y | N | 商品名称: | |
| 4 | desc | varchar | 255 | 0 | Y | N | 描述: | |
| 5 | icon | varchar | 255 | 0 | Y | N | 图标: | |
| 6 | source_table | varchar | 255 | 0 | Y | N | 来源表: | |
| 7 | source_field | varchar | 255 | 0 | Y | N | 来源字段: | |
| 8 | create_time | timestamp | 19 | 0 | N | N | CURRENT_TIMESTAMP | 创建时间: |
| 9 | update_time | timestamp | 19 | 0 | N | N | CURRENT_TIMESTAMP | 更新时间: |
| 编号 | 名称 | 数据类型 | 长度 | 小数位 | 允许空值 | 主键 | 默认值 | 说明 |
| 1 | hits_id | int | 10 | 0 | N | Y | 点赞ID: | |
| 2 | user_id | int | 10 | 0 | N | N | 0 | 点赞人: |
| 3 | create_time | timestamp | 19 | 0 | N | N | CURRENT_TIMESTAMP | 创建时间: |
| 4 | update_time | timestamp | 19 | 0 | N | N | CURRENT_TIMESTAMP | 更新时间: |
| 5 | source_table | varchar | 255 | 0 | Y | N | 来源表: | |
| 6 | source_field | varchar | 255 | 0 | Y | N | 来源字段: | |
| 7 | source_id | int | 10 | 0 | N | N | 0 | 来源ID: |
| 编号 | 名称 | 数据类型 | 长度 | 小数位 | 允许空值 | 主键 | 默认值 | 说明 |
| 1 | logistics_delivery_id | int | 10 | 0 | N | Y | 物流配送ID | |
| 2 | order_number | varchar | 64 | 0 | Y | N | 订单号 | |
| 3 | product_name | varchar | 64 | 0 | Y | N | 商品名称 | |
| 4 | purchase_quantity | varchar | 64 | 0 | Y | N | 购买数量 | |
| 5 | total_transaction_amount | double | 11 | 2 | Y | N | 0.00 | 交易总额 |
| 6 | the_date_of_issuance | date | 10 | 0 | Y | N | 发货日期 | |
| 7 | delivery_number | varchar | 30 | 0 | Y | N | 配送订单 | |
| 8 | ordinary_users | int | 10 | 0 | Y | N | 0 | 普通用户 |
| 9 | shipping_address | varchar | 64 | 0 | Y | N | 收货地址 | |
| 10 | delivery_status | varchar | 64 | 0 | Y | N | 配送状态 | |
| 11 | signing_status | varchar | 64 | 0 | Y | N | 签收状态 | |
| 12 | recommend | int | 10 | 0 | N | N | 0 | 智能推荐 |
| 13 | contact_name | varchar | 255 | 0 | Y | N | 联系人名字 | |
| 14 | merchant_id | int | 10 | 0 | Y | N | 商家id | |
| 15 | create_time | datetime | 19 | 0 | N | N | CURRENT_TIMESTAMP | 创建时间 |
| 16 | update_time | timestamp | 19 | 0 | N | N | CURRENT_TIMESTAMP | 更新时间 |
| 编号 | 名称 | 数据类型 | 长度 | 小数位 | 允许空值 | 主键 | 默认值 | 说明 |
| 1 | merchant_users_id | int | 10 | 0 | N | Y | 商家用户ID | |
| 2 | store_name | varchar | 64 | 0 | Y | N | 店铺名称 | |
| 3 | store_address | varchar | 64 | 0 | Y | N | 店铺地址 | |
| 4 | store_phone_number | varchar | 64 | 0 | Y | N | 店铺电话 | |
| 5 | examine_state | varchar | 16 | 0 | N | N | 未审核 | 审核状态 |
| 6 | user_id | int | 10 | 0 | N | N | 0 | 用户ID |
| 7 | create_time | datetime | 19 | 0 | N | N | CURRENT_TIMESTAMP | 创建时间 |
| 8 | update_time | timestamp | 19 | 0 | N | N | CURRENT_TIMESTAMP | 更新时间 |
| 编号 | 名称 | 数据类型 | 长度 | 小数位 | 允许空值 | 主键 | 默认值 | 说明 |
| 1 | notice_id | mediumint | 8 | 0 | N | Y | 公告id: | |
| 2 | title | varchar | 125 | 0 | N | N | 标题: | |
| 3 | content | longtext | 2147483647 | 0 | Y | N | 正文: | |
| 4 | create_time | timestamp | 19 | 0 | N | N | CURRENT_TIMESTAMP | 创建时间: |
| 5 | update_time | timestamp | 19 | 0 | N | N | CURRENT_TIMESTAMP | 更新时间: |
| 编号 | 名称 | 数据类型 | 长度 | 小数位 | 允许空值 | 主键 | 默认值 | 说明 |
| 1 | order_id | int | 10 | 0 | N | Y | 订单ID: | |
| 2 | order_number | varchar | 64 | 0 | Y | N | 订单号: | |
| 3 | goods_id | mediumint | 8 | 0 | N | N | 商品id:[0,8388607] | |
| 4 | title | varchar | 255 | 0 | Y | N | 商品标题: | |
| 5 | img | varchar | 255 | 0 | Y | N | 商品图片: | |
| 6 | price | double | 10 | 2 | N | N | 0.00 | 价格: |
| 7 | price_ago | double | 10 | 2 | N | N | 0.00 | 原价: |
| 8 | num | int | 10 | 0 | N | N | 1 | 数量: |
| 9 | price_count | double | 8 | 2 | N | N | 0.00 | 总价: |
| 10 | norms | varchar | 255 | 0 | Y | N | 规格: | |
| 11 | type | varchar | 64 | 0 | N | N | 未分类 | 商品分类: |
| 12 | contact_name | varchar | 32 | 0 | Y | N | 联系人姓名: | |
| 13 | contact_email | varchar | 125 | 0 | Y | N | 联系人邮箱: | |
| 14 | contact_phone | varchar | 11 | 0 | Y | N | 联系人手机: | |
| 15 | contact_address | varchar | 255 | 0 | Y | N | 收件地址: | |
| 16 | postal_code | varchar | 9 | 0 | Y | N | 邮政编码: | |
| 17 | user_id | int | 10 | 0 | N | N | 0 | 买家ID: |
| 18 | merchant_id | mediumint | 8 | 0 | N | N | 0 | 商家ID: |
| 19 | create_time | timestamp | 19 | 0 | N | N | CURRENT_TIMESTAMP | 创建时间: |
| 20 | update_time | timestamp | 19 | 0 | N | N | CURRENT_TIMESTAMP | 更新时间: |
| 21 | description | varchar | 255 | 0 | Y | N | 描述:[0,255]用于产品规格描述 | |
| 22 | state | varchar | 16 | 0 | N | N | 待付款 | 订单状态:待付款,待发货,待签收,已签收,待退款,已退款,已拒绝,已完成 |
| 23 | remark | text | 65535 | 0 | Y | N | 订单备注 | |
| 24 | delivery_state | varchar | 16 | 0 | Y | N | 未配送 | 发货状态:未配送,已配送 |
| 25 | vip_discount | double | 11 | 2 | Y | N | 0.00 | 折扣 |
| 26 | integral | int | 10 | 0 | Y | N | 0 | 积分 |
| 27 | buy_type | tinyint | 4 | 0 | Y | N | 1-全额购买,2-积分兑换,3-钱包购买 |
| 编号 | 名称 | 数据类型 | 长度 | 小数位 | 允许空值 | 主键 | 默认值 | 说明 |
| 1 | order_after_sale_id | int | 10 | 0 | N | Y | 订单售后id | |
| 2 | order_id | int | 10 | 0 | N | N | 订单ID | |
| 3 | order_number | varchar | 64 | 0 | Y | N | 订单号 | |
| 4 | goods_id | mediumint | 8 | 0 | N | N | 商品id:[0,8388607] | |
| 5 | title | varchar | 255 | 0 | Y | N | 商品标题 | |
| 6 | price | double | 10 | 2 | N | N | 0.00 | 价格 |
| 7 | price_ago | double | 10 | 2 | N | N | 0.00 | 原价 |
| 8 | num | int | 10 | 0 | N | N | 1 | 数量 |
| 9 | price_count | double | 8 | 2 | N | N | 0.00 | 总价 |
| 10 | user_id | int | 10 | 0 | N | N | 0 | 买家ID |
| 11 | merchant_id | mediumint | 8 | 0 | N | N | 0 | 商家ID |
| 12 | state | varchar | 16 | 0 | N | N | 待付款 | 订单状态:待付款,待发货,待签收,已签收,待退款,已退款,已拒绝,已完成 |
| 13 | after_state | varchar | 16 | 0 | Y | N | 未审核 | 售后状态:未审核,未通过,已通过 |
| 14 | after_state_reply | varchar | 255 | 0 | Y | N | 售后回复 | |
| 15 | type | varchar | 255 | 0 | Y | N | 售后类型 | |
| 16 | content_desc | varchar | 255 | 0 | Y | N | 售后内容 | |
| 17 | imgs | varchar | 1000 | 0 | Y | N | 售后凭证 | |
| 18 | create_time | timestamp | 19 | 0 | N | N | CURRENT_TIMESTAMP | 创建时间 |
| 19 | update_time | timestamp | 19 | 0 | N | N | CURRENT_TIMESTAMP | 更新时间 |
| 20 | integral | int | 10 | 0 | Y | N | 0 | 积分 |
| 21 | buy_type | tinyint | 4 | 0 | Y | N | 1-全额购买,2-积分兑换,3-钱包购买 |
| 编号 | 名称 | 数据类型 | 长度 | 小数位 | 允许空值 | 主键 | 默认值 | 说明 |
| 1 | order_information_id | int | 10 | 0 | N | Y | 订单信息ID | |
| 2 | ordinary_users | int | 10 | 0 | Y | N | 0 | 普通用户 |
| 3 | order_number | varchar | 64 | 0 | Y | N | 订单编号 | |
| 4 | product_name | varchar | 64 | 0 | Y | N | 商品名称 | |
| 5 | commodity_price | varchar | 64 | 0 | Y | N | 商品价格 | |
| 6 | merchant_users | int | 10 | 0 | Y | N | 0 | 商家用户 |
| 7 | store_name | varchar | 64 | 0 | Y | N | 店铺名称 | |
| 8 | order_status | varchar | 64 | 0 | Y | N | 订单状态 | |
| 9 | order_remarks | text | 65535 | 0 | Y | N | 订单备注 | |
| 10 | feedback_information_limit_times | int | 10 | 0 | N | N | 0 | 反馈限制次数 |
| 11 | create_time | datetime | 19 | 0 | N | N | CURRENT_TIMESTAMP | 创建时间 |
| 12 | update_time | timestamp | 19 | 0 | N | N | CURRENT_TIMESTAMP | 更新时间 |
| 编号 | 名称 | 数据类型 | 长度 | 小数位 | 允许空值 | 主键 | 默认值 | 说明 |
| 1 | ordinary_users_id | int | 10 | 0 | N | Y | 普通用户ID | |
| 2 | user_name | varchar | 64 | 0 | Y | N | 用户姓名 | |
| 3 | user_gender | varchar | 64 | 0 | Y | N | 用户性别 | |
| 4 | user_phone_number | varchar | 64 | 0 | Y | N | 用户电话 | |
| 5 | examine_state | varchar | 16 | 0 | N | N | 已通过 | 审核状态 |
| 6 | user_id | int | 10 | 0 | N | N | 0 | 用户ID |
| 7 | create_time | datetime | 19 | 0 | N | N | CURRENT_TIMESTAMP | 创建时间 |
| 8 | update_time | timestamp | 19 | 0 | N | N | CURRENT_TIMESTAMP | 更新时间 |
| 编号 | 名称 | 数据类型 | 长度 | 小数位 | 允许空值 | 主键 | 默认值 | 说明 |
| 1 | praise_id | int | 10 | 0 | N | Y | 点赞ID: | |
| 2 | user_id | int | 10 | 0 | N | N | 0 | 点赞人: |
| 3 | create_time | timestamp | 19 | 0 | N | N | CURRENT_TIMESTAMP | 创建时间: |
| 4 | update_time | timestamp | 19 | 0 | N | N | CURRENT_TIMESTAMP | 更新时间: |
| 5 | source_table | varchar | 255 | 0 | Y | N | 来源表: | |
| 6 | source_field | varchar | 255 | 0 | Y | N | 来源字段: | |
| 7 | source_id | int | 10 | 0 | N | N | 0 | 来源ID: |
| 8 | status | bit | 1 | 0 | N | N | 1 | 点赞状态:1为点赞,0已取消 |
| 编号 | 名称 | 数据类型 | 长度 | 小数位 | 允许空值 | 主键 | 默认值 | 说明 |
| 1 | sales_promotion_id | int | 10 | 0 | N | Y | 促销活动ID | |
| 2 | merchant_users | int | 10 | 0 | Y | N | 0 | 商家用户 |
| 3 | store_name | varchar | 64 | 0 | Y | N | 店铺名称 | |
| 4 | store_address | varchar | 64 | 0 | Y | N | 店铺地址 | |
| 5 | store_phone_number | varchar | 64 | 0 | Y | N | 店铺电话 | |
| 6 | promotion_name | varchar | 64 | 0 | Y | N | 促销名称 | |
| 7 | event_date | date | 10 | 0 | Y | N | 活动日期 | |
| 8 | activity_days | varchar | 64 | 0 | Y | N | 活动天数 | |
| 9 | promotional_images | varchar | 255 | 0 | Y | N | 促销图片 | |
| 10 | promotion_details | text | 65535 | 0 | Y | N | 促销详情 | |
| 11 | praise_len | int | 10 | 0 | N | N | 0 | 点赞数 |
| 12 | create_time | datetime | 19 | 0 | N | N | CURRENT_TIMESTAMP | 创建时间 |
| 13 | update_time | timestamp | 19 | 0 | N | N | CURRENT_TIMESTAMP | 更新时间 |
| 编号 | 名称 | 数据类型 | 长度 | 小数位 | 允许空值 | 主键 | 默认值 | 说明 |
| 1 | score_id | int | 10 | 0 | N | Y | 评分ID: | |
| 2 | user_id | int | 10 | 0 | N | N | 0 | 评分人: |
| 3 | nickname | varchar | 64 | 0 | Y | N | 昵称: | |
| 4 | score_num | double | 5 | 2 | N | N | 0.00 | 评分: |
| 5 | create_time | timestamp | 19 | 0 | N | N | CURRENT_TIMESTAMP | 创建时间: |
| 6 | update_time | timestamp | 19 | 0 | N | N | CURRENT_TIMESTAMP | 更新时间: |
| 7 | source_table | varchar | 255 | 0 | Y | N | 来源表: | |
| 8 | source_field | varchar | 255 | 0 | Y | N | 来源字段: | |
| 9 | source_id | int | 10 | 0 | N | N | 0 | 来源ID: |
| 编号 | 名称 | 数据类型 | 长度 | 小数位 | 允许空值 | 主键 | 默认值 | 说明 |
| 1 | slides_id | int | 10 | 0 | N | Y | 轮播图ID: | |
| 2 | title | varchar | 64 | 0 | Y | N | 标题: | |
| 3 | content | varchar | 255 | 0 | Y | N | 内容: | |
| 4 | url | varchar | 255 | 0 | Y | N | 链接: | |
| 5 | img | varchar | 255 | 0 | Y | N | 轮播图: | |
| 6 | hits | int | 10 | 0 | N | N | 0 | 点击量: |
| 7 | create_time | timestamp | 19 | 0 | N | N | CURRENT_TIMESTAMP | 创建时间: |
| 8 | update_time | timestamp | 19 | 0 | N | N | CURRENT_TIMESTAMP | 更新时间: |
| 编号 | 名称 | 数据类型 | 长度 | 小数位 | 允许空值 | 主键 | 默认值 | 说明 |
| 1 | upload_id | int | 10 | 0 | N | Y | 上传ID | |
| 2 | name | varchar | 64 | 0 | Y | N | 文件名 | |
| 3 | path | varchar | 255 | 0 | Y | N | 访问路径 | |
| 4 | file | varchar | 255 | 0 | Y | N | 文件路径 | |
| 5 | display | varchar | 255 | 0 | Y | N | 显示顺序 | |
| 6 | father_id | int | 10 | 0 | Y | N | 0 | 父级ID |
| 7 | dir | varchar | 255 | 0 | Y | N | 文件夹 | |
| 8 | type | varchar | 32 | 0 | Y | N | 文件类型 |
| 编号 | 名称 | 数据类型 | 长度 | 小数位 | 允许空值 | 主键 | 默认值 | 说明 |
| 1 | user_id | mediumint | 8 | 0 | N | Y | 用户ID:[0,8388607]用户获取其他与用户相关的数据 | |
| 2 | state | smallint | 5 | 0 | N | N | 1 | 账户状态:[0,10](1可用|2异常|3已冻结|4已注销) |
| 3 | user_group | varchar | 32 | 0 | Y | N | 所在用户组:[0,32767]决定用户身份和权限 | |
| 4 | login_time | timestamp | 19 | 0 | N | N | CURRENT_TIMESTAMP | 上次登录时间: |
| 5 | phone | varchar | 11 | 0 | Y | N | 手机号码:[0,11]用户的手机号码,用于找回密码时或登录时 | |
| 6 | phone_state | smallint | 5 | 0 | N | N | 0 | 手机认证:[0,1](0未认证|1审核中|2已认证) |
| 7 | username | varchar | 16 | 0 | N | N | 用户名:[0,16]用户登录时所用的账户名称 | |
| 8 | nickname | varchar | 16 | 0 | Y | N | 昵称:[0,16] | |
| 9 | password | varchar | 64 | 0 | N | N | 密码:[0,32]用户登录所需的密码,由6-16位数字或英文组成 | |
| 10 | | varchar | 64 | 0 | Y | N | 邮箱:[0,64]用户的邮箱,用于找回密码时或登录时 | |
| 11 | email_state | smallint | 5 | 0 | N | N | 0 | 邮箱认证:[0,1](0未认证|1审核中|2已认证) |
| 12 | avatar | varchar | 255 | 0 | Y | N | 头像地址:[0,255] | |
| 13 | open_id | varchar | 255 | 0 | Y | N | 针对获取用户信息字段 | |
| 14 | create_time | timestamp | 19 | 0 | N | N | CURRENT_TIMESTAMP | 创建时间: |
| 15 | integral | int | 10 | 0 | Y | N | 0 | 积分 |
| 16 | balance | double | 11 | 2 | Y | N | 0.00 | 余额 |
| 编号 | 名称 | 数据类型 | 长度 | 小数位 | 允许空值 | 主键 | 默认值 | 说明 |
| 1 | group_id | mediumint | 8 | 0 | N | Y | 用户组ID:[0,8388607] | |
| 2 | display | smallint | 5 | 0 | N | N | 100 | 显示顺序:[0,1000] |
| 3 | name | varchar | 16 | 0 | N | N | 名称:[0,16] | |
| 4 | description | varchar | 255 | 0 | Y | N | 描述:[0,255]描述该用户组的特点或权限范围 | |
| 5 | source_table | varchar | 255 | 0 | Y | N | 来源表: | |
| 6 | source_field | varchar | 255 | 0 | Y | N | 来源字段: | |
| 7 | source_id | int | 10 | 0 | N | N | 0 | 来源ID: |
| 8 | register | smallint | 5 | 0 | Y | N | 0 | 注册位置: |
| 9 | create_time | timestamp | 19 | 0 | N | N | CURRENT_TIMESTAMP | 创建时间: |
| 10 | update_time | timestamp | 19 | 0 | N | N | CURRENT_TIMESTAMP | 更新时间: |
5系统实现
5.1前端功能实现
5.1.1首页
首页:首页包含轮播图、公告信息,新闻资讯,家具商城,商城管理,咨询留言,促销活动。如图5-1所示。

图5-1首页界面图
5.1.2公告信息
公告信息:主要展示后端发布的重要通知或更新公告信息。如图5-2所示。

图5-2公告信息界面图
5.1.3新闻资讯
新闻资讯:查看新闻资讯信息,可发表评论,可点赞、可收藏,如图5-3所示。

图5-3新闻资讯界面图
5.1.4家具商城
家具商城:展示所有后台发布的家具商城列表信息,点击可查看是家具详情信息。可进行商品购买、领取优惠券、点赞、收藏以及发表评论。家具商城列表如图5-4所示。

图5-4家具商城列表界面图
5.2注册用户功能实现
5.2.1用户注册
用户注册:输入账号、设置密码、确认密码、昵称、邮箱、选择用户身份、用户姓名、用户性别、联系电话等用户个人信息,点击注册按钮进行注册,如图5-5所示。

图5-5用户注册界面图
5.2.2用户登录
用户登录:输入用户名跟密码点击登录按钮,校验通过后即可登录,用户登录如图5-6所示。

图5-6用户登录界面图
5.2.3我的账户
我的账户:包含个人资料修改跟密码修改,个人资料可修改头像等。修改资料如图5-7所示。

图5-7修改资料界面图
5.2.4个人中心
个人中心:包含个人首页、咨询留言、订单信息、反馈信息、订单配送、收藏等。个人首页:展示用户的个人信息和快捷入口。咨询留言:用户可以向商家提出咨询或建议。订单信息:查看订单详情。反馈信息:提交使用过程中遇到的问题或建议。订单配送:跟踪订单的物流信息。收藏:保存感兴趣的家具商品。个人中心如图5-8所示。

促销活动:商家用户可以创建、编辑和删除促销活动。促销活动添加如图5-9所示。

家具商城:商家用户管理商品信息,如上下架、库存调整、价格设置等,并进行增删改查等操作。家具商品添加如图5-10所示。

图5-10家具商品添加界面
5.3管理员功能实现
5.3.1系统用户
管理注册用户、商家用户和管理员信息,包含查询、新增、删除、查看详情等操作。系统用户如图5-11所示。

图5-11系统用户界面
5.3.2家具商城
家具商城:管理员全面管理商品信息,支持新增、编辑、删除商品。家具商城如图5-12所示。

图5-12家具商城界面
5.3.3订单信息
订单信息管理:管理员监督所有订单的处理情况,并可进行查询、重置、删除等操作。订单信息如图5-13所示。

图5-13订单信息界面
5.3.4 系统管理
系统管理:管理员可以查看轮播图详情,以及查询、重置、删除、添加等操作。轮播图添加如图5-14所示。

图5-14轮播图添加界面
5.3.5资源管理
资讯管理:包含新闻资讯跟资讯分类,新闻资讯可查看资讯详情与评论,以及查询、重置、删除、添加等操作。资讯分类:可查看资讯分类详情,以及查询、重置、删除、添加等操作。新闻资讯如图5-15所示。

图5-15新闻资讯界面
6系统测试
6.1系统测试目标
为了保证“基于springboot的家具商城系统”的质量,使其能够稳定的运行,并排除其可能存在的未知隐患。解除软件可能存在的故障,理清楚测试与纠错的关系,如图6-1所示。

图6-1测试与纠错信息流程
6.2系统功能测试
通过对系统中所含的主要实体对象及其功能操作进行测试用例设计。以下是详细的测试:
表6-2用户注册登录测试表
用户注册登录测试用例:
| 用例说明 | 测试目的 | 测试步骤 | 预期结果 | 输出结果 | 通过情况 |
| 用户注册、登录 | 测试用户正确注册、登录 |
| 用户注册成功,登录成功 | 结果输出符合预期 | 通过 |
表6-2商品购买测试表
用户商品购买测试用例:
| 用例说明 | 测试目的 | 测试步骤 | 预期结果 | 输出结果 | 通过情况 |
| 家具商城购买 | 测试用户家具商品购买 |
| 用户购买成功,生成订单信息 | 结果输出符合预期 | 通过 |
表6-3咨询留言测试表
咨询留言测试用例:
| 用例说明 | 测试目的 | 测试步骤 | 预期结果 | 输出结果 | 通过情况 |
| 添加咨询留言信息 | 测试用户添加咨询留言信息 |
| 生成新的留言列表 | 结果输出符合预期 | 通过 |
表6-4家具商城添加测试表
家具商城测试用例:
| 用例说明 | 测试目的 | 测试步骤 | 预期结果 | 输出结果 | 通过情况 |
| 家具商城添加测试 | 测试管理员添加家具商城信息 |
| 家具商城添加成功 | 结果输出符合预期 | 通过 |
表6-5订单信息处理测试表
订单信息测试用例:
| 用例说明 | 测试目的 | 测试步骤 | 预期结果 | 输出结果 | 通过情况 |
| 订单信息处理测试 | 处理订单信息 |
| 订单信息处理成功 | 结果输出符合预期 | 通过 |
表6-5公告信息删除测试表
公告信息测试用例:
| 用例说明 | 测试目的 | 测试步骤 | 预期结果 | 输出结果 | 通过情况 |
| 公告信息删除测试 | 测试公告信息 |
| 公告信息删除成功,前端不在展示该公告信息 | 结果输出符合预期 | 通过 |
6.3测试结果总结
经过上述测试,并对测试数据结果综合分析。基于Springboot的家具商城系统的设计与实现具备简便,数据透明等特性。完全符合酒店管理系统的要求。
结 论
在本文的家具商城系统的设计与实现过程中,通过Springboot框架的深入应用,我们成功构建了一个高效、可扩展的在线购物平台。
该系统通过采用Springboot框架,实现了技术层面的高效性和可维护性,同时结合现代前端技术,为用户提供了一个稳定、安全且用户友好的在线购物平台。它满足了市场对电子商务解决方案的需求,并通过集成先进的数据库技术和支付接口,确保了交易的便捷性和安全性。系统的开发和运营有望促进就业,增加税收,对经济发展产生积极影响。该项目在技术实现、经济效益和社会效益方面均显示出良好的前景,是一个可行且具有发展潜力的投资项目。
综上所述,基于Springboot的家具商城系统项目值得进一步开发和实施,以把握电子商务市场的机遇,推动家具行业的数字化转型。
参考文献
[1]韦彩仁,张锐杭.基于Vue 3和SpringBoot的学生信息管理系统设计与实现[J].电脑编程技巧与维护,2024,(10):3-6+20.DOI:10.16184/j.cnki.comprg.2024.10.045.
[2]向育程,段元梅.基于Java的网上商城系统[J].电脑编程技巧与维护,2024,(08):32-34.DOI:10.16184/j.cnki.comprg.2024.08.013.
[3]Zhu Y .Contract Management System Based on SpringBoot and Vue[J].Advances in Computer, Signals and Systems,2024,8(5):
[4]周玉光,赵海涛,樊继慧,等.基于SpringBoot的消防站健身房系统建设[J].电脑知识与技术,2024,20(17):75-77.DOI:10.14004/j.cnki.ckt.2024.0927.
[5]王培培.基于SpringBoot的网上商城管理系统设计与实现[J].现代计算机,2024,30(07):117-120.
[6]王晓东,刘海燕,王迎,等.基于SpringBoot的气象信息资源管理系统设计与实现[J].电脑编程技巧与维护,2024,(03):79-82.DOI:10.16184/j.cnki.comprg.2024.03.028.
[7]李倞,友拓商城系统.山西省,山西黄河智创科技有限公司,2023-11-14.
[8]Yang Y .Design and Implementation of Student Information Management System Based on Springboot[J].Advances in Computer, Signals and Systems,2022,6(6):
[9]陈小燕,朱映辉,余晓春.基于SpringBoot+Vue的好农物商城的设计与实现[J].电脑知识与技术,2022,18(22):37-39.DOI:10.14004/j.cnki.ckt.2022.1535.
[10]任建新,王一鸣,李鑫,等.基于Java Web的智慧商城购物系统设计[J].信息技术与信息化,2022,(07):23-27.
[11]柳萌.社区优选商城系统设计与实现[D].青岛科技大学,2022.DOI:10.27264/d.cnki.gqdhc.2022.001248.
[12]杨晟,罗奇.基于Spring Boot的在线商城系统设计[J].科技创新与应用,2022,12(19):58-61.DOI:10.19981/j.CN23-1581/G3.2022.19.013.
[13]朱琨日.高性能智能商城系统架构设计与实现[D].桂林电子科技大学,2022.DOI:10.27049/d.cnki.ggldc.2022.000395.
[14]李宜镓.基于SpringBoot的电商秒杀系统的设计与实现[D].西安电子科技大学,2022.DOI:10.27389/d.cnki.gxadu.2022.002507.
[15]田松涛,段元梅.基于SpringBoot的线上商城平台设计[J].无线互联科技,2022,19(01):56-57.
[16]Hejing W .Commerce Middle Office Management System Based on Springboot[J].International Journal of Advanced Network, Monitoring and Controls,2022,7(2):32-45.
[17]张红波,山茶经茶叶商城系统.河南省,三门峡云毅文化传播有限公司,2021-11-18.
[18]蒙奕侥.移动商城客户产品推荐系统的研究与应用[D].广西大学,2021.DOI:10.27034/d.cnki.ggxiu.2021.001477.
[19]Cheng F .Talent Recruitment Management System for Small and Micro Enterprises Based on Springboot Framework[J].Advances in Educational Technology and Psychology,2021,5(2):
[20]Chen G ,Xu J .Design and implementation of efficient Learning platform based on SpringBoot Framework[J].Journal of Electronics and Information Science,2020,6(1):
致 谢
随着论文的完成,我心中涌动着深深的感激之情,想要向那些在研究和写作过程中给予我帮助和支持的人表达我的谢意。
我要感谢我的导师,他们以其学术造诣和治学严谨性为我提供了宝贵的指导,无论是在研究设计、数据分析还是论文撰写上,都给予了我极大的帮助。他们的智慧和耐心是我能够顺利完成研究工作的重要因素。我还要感谢我的家人,他们始终给予我理解和支持,在我埋头苦干的日子里,为我提供了温暖的避风港,让我能够保持专注和动力。我也要向我的朋友们表达感激之情,他们在我需要时提供了倾听和鼓励,他们的友谊和陪伴是我学术旅程中不可或缺的部分。感谢所有参与问卷调查和访谈的志愿者,他们的真诚分享和宝贵意见为我的研究提供了宝贵的第一手资料。我要感谢学院和图书馆的工作人员,他们提供的资源和服务极大地便利了我的研究工作。
每一位在这段学术旅程中给予我帮助的人,都对我完成这篇论文起到了不可或缺的作用。我衷心感谢你们,是你们让我的研究之路充满光明和温暖。
免费领取项目源码,请关注❥点赞收藏并私信博主,谢谢~
基于Springboot的家具商城系统开发
990

被折叠的 条评论
为什么被折叠?



