目 录
摘 要
随着农牧产品批发行业的快速发展,仓储管理的效率和准确性成为企业竞争力的关键因素。传统管理模式存在信息更新滞后、人工操作繁琐等问题,难以满足现代批发商的需求。为此,开发了一款面向农牧产品批发商的仓储管理系统,采用SpringBoot和Java技术构建,提供高效、便捷的数字化解决方案。
系统根据不同用户角色划分功能权限,包括员工用户、财务用户、供用户用户和管理员。员工用户可进行仓库信息管理、入库出库操作及盘点;财务用户专注于信息统计与财务报表管理;供用户用户拥有查询权限以便实时掌握库存动态;管理员则负责全局管理,包括用户账户和系统数据维护。通过SpringBoot框架的支持,系统实现了模块化设计,具备良好的扩展性与稳定性,为农牧产品批发商提供了全面的仓储管理支持。
关键词:面向农牧产品批发商的仓储管理系统;SpringBoot框架;Java技术
Abstract
As the wholesale industry of agricultural and livestock products rapidly develops, the efficiency and accuracy of warehouse management have become key factors in corporate competitiveness. Traditional management models suffer from issues such as delayed information updates and cumbersome manual operations, making it difficult to meet the needs of modern wholesalers. To address this, a warehouse management system for agricultural and livestock product wholesalers has been developed, built using SpringBoot and Java technologies, providing an efficient and convenient digital solution.
The system divides functional permissions based on different user roles, including employee users, financial users, supplier users, and administrators. Employee users can manage warehouse information, perform inventory entry and exit operations, and conduct stocktaking; financial users focus on information statistics and financial report management; supplier users have query permissions to monitor inventory dynamics in real time; administrators are responsible for overall management, including user account and system data maintenance. With the support of the SpringBoot framework, the system achieves modular design, offering excellent scalability and stability, providing comprehensive warehousing management support for agricultural and livestock product wholesalers.
Key words: storage management system for agricultural and animal husbandry wholesalers; SpringBoot framework; Java technology
-
绪 论
- 研究背景及意义
在全球化步伐加快的背景下,农牧产品批发行业面临前所未有的挑战与机遇。市场需求多变、竞争激烈以及消费者对产品质量和安全性的关注度不断提升,促使企业必须优化内部管理流程,提高运营效率。仓储管理作为供应链中至关重要的一环,其运作效率直接影响到产品的流通速度和企业的市场反应能力。传统仓储管理模式依赖人工操作和纸质记录,不仅效率低下,而且容易出错,无法满足现代企业快速发展的需求。因此,构建一套科学合理的仓储管理系统成为提升企业竞争力的关键因素。
通过采用SpringBoot和Java技术开发的仓储管理系统,能够为企业提供高效、精准的数字化解决方案。该系统根据用户角色划分权限,确保不同部门和个人可以访问适合自身工作需要的功能模块,如员工用户的仓库信息管理和入库出库操作;财务用户的财务报表统计分析;供用户用户的库存动态查询等。管理员拥有最高权限,负责系统的全面维护与管理。这种细致的权限划分保障了数据的安全性和准确性,提升了整体工作效率。系统还支持预警功能,帮助管理者及时掌握库存情况,预防潜在风险,从而增强决策的科学性与前瞻性,促进企业持续健康发展。
国内外对于仓储管理系统的研究已取得显著进展,形成了丰富的理论基础与实践经验。国外研究侧重于通过先进的信息技术提升仓库运作效率和管理水平,强调数据分析在优化库存控制中的作用。许多研究聚焦于如何利用信息化手段改进传统的手工记录方式,减少人为错误,并提高数据处理速度。例如,在物流发达的国家,学者们探讨了自动化设备与信息系统的集成应用,以实现货物从入库到出库全过程的高效管理。这些研究不仅关注技术层面的创新,也注重管理模式的变革,力求构建更加灵活高效的仓储管理体系。
国内关于仓储管理系统的研究同样呈现出蓬勃发展的态势,特别是在电子商务快速崛起的背景下,对仓储管理提出了更高的要求。国内学者积极探索适应本土市场特点的仓储解决方案,注重结合实际业务流程进行系统设计。研究发现,定制化的仓储管理系统能够更好地满足不同企业的特定需求,提高资源利用率和服务质量。一些研究成果展示了如何通过合理的布局规划和流程再造,减少不必要的操作环节,降低运营成本。与此同时,随着供应链一体化趋势的加强,国内研究也开始关注跨企业间的仓储协同管理,强调信息共享和资源整合的重要性。这样的研究方向为提升整个供应链的运作效率提供了新的思路和方法。
本论文共分为七个主要章节,具体结构如下:
1. 绪论:介绍研究背景与意义,回顾国内外研究现状,并概述论文的组织结构。
2. 相关技术介绍:详细介绍与本研究相关的技术,包括Java语言、B/S框架、SpringBoot框架、MVC框架、Vue技术和MySQL数据库。
3. 需求分析:对系统的功能需求和非功能需求进行分析,明确用户和管理员的需求,并进行可行性分析,包括技术、操作和经济可行性。
4. 系统设计:涵盖系统架构设计、系统模块设计,并进行数据库的概念设计与表设计。
5. 系统实现:具体描述各个功能模块的实现过程,展示系统如何根据需求进行开发。
6. 系统测试:阐述测试的目的,分析测试结果并得出结论,以验证系统的稳定性和功能完整性。
7. 总结:总结研究的主要成果和贡献,指出存在的不足及未来的研究方向。
B/S(Browser/Server)架构是一种基于浏览器和服务器的应用架构模式。它以Web浏览器作为客户端,服务器端通过Web技术提供应用服务。客户端通过浏览器与服务器进行交互,用户无需安装专门的客户端应用程序,只需要通过互联网连接即可访问应用程序[1]。在B/S架构中,客户端主要承担用户界面的呈现和基本的输入输出功能,而核心的业务处理、数据存储等操作则由服务器端完成。这种架构的核心优势在于无需在每个客户端机器上安装或更新软件,只要用户的浏览器符合要求,就可以使用系统。
B/S(Browser/Server)架构是一种网络架构模型,其主要特点是客户端通过浏览器与服务器进行通信,所有的业务逻辑和数据处理都在服务器端完成,客户端仅负责展示数据[2]。B/S架构本质上是一种客户端-服务器模式的变体,它通过将传统的C/S(Client/Server)架构中的客户端功能移到浏览器中,简化了客户端的开发和维护工作。在B/S架构中,用户通过浏览器发送请求,浏览器负责展示从服务器获取的数据,服务器则处理请求并返回响应。该架构避免了安装和配置客户端软件的麻烦,也减少了对客户端硬件的依赖,适合于需要大规模部署和跨平台支持的应用系统。
B/S模式三层结构图如图2-1所示。

-
-
-
-
- B/S模式三层结构图
-
-
- SpringBoot框架
-
SpringBoot是一个用于简化Spring应用开发的开源框架,通过减少开发人员配置和依赖的复杂性,使得开发者能够快速构建基于Spring的生产级应用。SpringBoot基于Spring框架之上,提供了一种自配置的方式,使得开发者可以以最少的配置来启动和开发Spring应用[3]。它通过约定优于配置的原则,将常见的配置预设,使得开发人员能够聚焦于业务逻辑的实现,而不必过多关注繁琐的配置和环境搭建。
SpringBoot框架的核心特点之一是其自动配置功能。它能够根据项目中已存在的类和库,自动推断出开发环境的配置需求,减少了手动配置的工作量。SpringBoot还提供了嵌入式Web服务器支持(如Tomcat、Jetty等),使得应用可以以独立的Java应用形式运行,不再依赖外部的Web容器。这种特性使得SpringBoot特别适合于微服务架构的构建。SpringBoot还通过其提供的启动器(Starters)简化了常见功能的集成,例如数据库连接、消息队列、缓存、认证与授权等,从而提升了开发效率[4]。
Vue.js是一款用于构建用户界面的渐进式JavaScript框架,提供一种灵活而高效的方式来开发单页面应用(SPA)。Vue的设计理念是通过尽量简化开发过程,提供一种声明式的方式来构建用户界面[5]。Vue.js通过数据驱动的视图模型,允许开发者以声明式语法绑定数据与视图,使得应用的状态和界面表现更加简洁和可维护。它的核心思想是通过组件化开发将复杂的UI拆分为可重用的独立模块,从而提升了代码的模块化、可维护性和可扩展性。
Vue.js具备数据绑定和虚拟DOM的特性。响应式数据绑定意味着当数据变化时,Vue会自动更新与之绑定的DOM元素,从而实现视图的实时更新。虚拟DOM则是Vue.js的一种优化手段,通过将对DOM的操作抽象为一个虚拟的DOM树来提高性能,减少实际DOM操作的开销[6]。Vue还提供了丰富的插件和工具,如Vue Router用于路由管理,Vuex用于状态管理,方便开发者构建复杂的前端应用。Vue的灵活性和简洁性使其成为现代Web开发中常用的前端框架之一。
MySQL是一种开源的关系型数据库管理系统(RDBMS),基于SQL(结构化查询语言)进行数据操作。作为一个被广泛使用的数据库系统,MySQL具有高度的性能、可扩展性和可靠性。MySQL使用表格结构来存储数据,每个表由多个列和行组成,数据通过SQL查询语言进行操作[7]。MySQL支持多种数据类型,如整数、浮动小数、字符串、日期等,以满足不同应用场景对数据存储的需求。在实际应用中,MySQL通常用于存储和管理结构化数据,通过索引、视图、触发器等功能提升数据查询的效率和数据的完整性。
MySQL支持ACID事务特性(原子性、一致性、隔离性、持久性),确保数据库操作的可靠性和数据的一致性。它还支持多种存储引擎,其中InnoDB是最常用的存储引擎,具备事务支持、行级锁定和外键约束等特性,适用于高并发、高可靠性的数据存储需求。MySQL可以通过主从复制、分区和分库分表等技术实现横向扩展,以应对大规模数据存储和高负载的应用需求。MySQL还具有灵活的权限管理机制,支持用户角色管理、细粒度的权限控制等,保障数据的安全性。
Java语言是一种广泛使用的高级编程语言,具有平台无关性、面向对象特性和丰富的标准库。Java通过Java虚拟机(JVM)实现跨平台运行,开发者可以编写一次代码,在任何支持JVM的环境中执行[8]。Java的面向对象特性使得代码复用和模块化变得更加容易,促进了软件的维护和扩展。Java支持多线程编程,允许开发者在同一程序中同时执行多个任务,提升了应用程序的性能。
Java语言的语法结构简洁且易于理解,吸引了大量开发者。Java的标准库包含数据结构、输入输出处理、网络编程等众多功能模块。这使得开发者在构建应用程序时能够高效利用已有工具,减少重复劳动。Java广泛应用于企业级应用、移动应用、Web开发和大数据处理等领域。
技术可行性方面,采用SpringBoot和Java技术构建仓储管理系统为项目提供了坚实的基础。SpringBoot框架以其简便的配置和强大的社区支持,使得开发过程高效且易于维护。Java作为一种广泛使用的编程语言,拥有丰富的库和工具,能够满足系统开发的各种需求。此外,这种技术选型确保了系统的稳定性和扩展性,可以方便地集成现有技术和未来可能的技术升级,从而保证系统能够在技术上长期有效运行。
经济可行性体现在系统的实施将显著降低企业的运营成本并提高经济效益。通过自动化处理传统的手工操作流程,减少人力物力的投入,同时提高了工作效率和准确性,避免了因人为错误导致的额外开支。系统的预警功能有助于及时发现库存问题,优化库存结构,减少资金占用。长远来看,这样的系统不仅能够节省直接成本,还能通过提升客户满意度间接增加收益,为企业带来可观的经济回报。
操作可行性得益于系统设计考虑到了不同用户角色的具体需求,提供了友好的用户界面和清晰的操作指南。无论是仓库管理人员还是财务人员,都能快速上手使用该系统进行日常工作管理。定制化的权限设置确保每位员工只能访问与其工作相关的信息,保障了数据的安全性与隐私性。此外,系统支持移动设备访问,允许用户随时随地进行业务操作,极大地提高了工作的灵活性和便捷性。
1.可用性需求
系统必须具备高可用性,以确保其在各种使用场景下能够稳定运行。为满足可用性要求,系统应当具备自恢复能力和冗余机制,避免因单点故障而导致的服务中断。具体而言,系统的部署架构应支持负载均衡和集群配置,通过多个实例的协作提高整体系统的可用性。系统应提供详尽的监控与告警机制,能够实时追踪系统运行状态,及时发现潜在问题并触发自动恢复操作或通知管理员。在用户体验方面,系统需要提供清晰的错误提示信息,并能够在发生异常时通过回滚操作或其他容错机制,保证用户的操作不受到严重影响。
2.可靠性需求
可靠性要求系统在长时间运行中保持稳定,能够有效应对各种可能的故障和压力。系统设计应支持高可用的数据库架构,采用数据库主从复制、分片等技术以实现数据的可靠存储与访问。应用层应具备容错能力,在面对硬件故障、网络中断等意外情况时,能够保持系统的正常服务或在故障恢复后迅速恢复数据和业务流程。系统应具备日志记录功能,能够全面记录操作过程和异常信息,从而为问题追踪与系统优化提供数据支持。系统的可靠性还需要通过压力测试和稳定性测试来验证,确保在大规模用户访问及高并发场景下能够正常运行,不发生崩溃或数据丢失现象。
3.安全性需求
系统的安全性需求必须得到高度重视,确保系统和用户数据的保密性、完整性和可用性。为实现数据安全,系统应采用加密技术,特别是在用户认证、敏感数据传输和存储过程中,采用SSL/TLS协议进行加密通信,确保数据在传输过程中不被窃取或篡改。系统应支持用户身份验证与授权管理,采用如OAuth、JWT等安全机制防止未授权访问。访问控制应细化到资源级别,确保不同角色的用户只能访问其权限范围内的功能。为了防止恶意攻击,系统还应加强对常见攻击方式(如SQL注入、XSS攻击、CSRF攻击等)的防护,通过输入验证、输出转义、会话管理等技术措施提高系统的安全性。系统应定期进行安全审计与漏洞扫描,及时发现并修补可能的安全漏洞,保障系统的长期安全运营。
员工用户模块:
- 登录功能:员工用户可以通过管理员分配的账户进行登录,确保了系统的安全性与权限的合理分配。
- 后台首页:员工用户在成功登录后,将进入后台首页,这里展示了功能栏,员工可以方便地点击自己的账户,查看或修改个人信息以及密码,确保了个人信息的自主管理。
- 仓库信息管理:员工用户可以在此模块中进行仓库信息的添加、删除和查询操作。同时,员工还可以查看仓库的详细信息,以及进行入库、出库和盘点的相关操作,这些功能确保了仓库信息的实时更新和准确管理。
- 入库信息管理:员工用户可以对入库信息进行删除和查询操作,同时也可以查看每一条入库信息的详细内容,这些功能有助于员工对入库流程的监控和管理。
- 出库信息管理:员工用户可以对出库信息进行删除和查询操作,同时也可以查看每一条出库信息的详细内容,这些功能有助于员工对出库流程的监控和管理。
- 盘点信息管理:员工用户可以对盘点信息进行删除和查询操作,同时也可以查看每一条盘点信息的详细内容,这些功能有助于员工对库存状态的准确掌握和及时调整。
财务用户模块:
- 登录功能:由系统管理员负责创建和分配账户,确保每个财务用户能够通过安全认证登录系统。
- 后台首页:提供了一个全面的概览界面,包括仓库信息统计、出库信息统计、财务报表统计等关键数据的实时展示。此外,还设有功能栏,用户可以点击账户选项来查看或修改个人信息和密码,以保证账户安全。
- 仓库信息管理:用户可以进行查询操作,以获取仓库的实时库存情况,并且可以查看库存的详细信息。系统还提供了预警功能,当库存水平低于预设阈值时,会自动提醒用户采取相应措施。
- 入库信息管理:用户能够对入库信息进行查询,以追踪商品的入库情况,并且可以查看每一条入库记录的详细信息,包括入库时间、数量、批次等。
- 出库信息管理:用户可以查询出库信息,了解商品的出库情况,并且可以查看每一条出库记录的详细信息,包括出库时间、数量、目的地等。
- 盘点信息管理:用户可以执行查询操作,以获取当前库存的盘点情况,并且可以查看每一条盘点记录的详细信息,包括盘点时间、盘点人员、盘点结果等。
- 财务报表管理:用户可以进行添加、删除和查询操作,以管理财务报表。系统允许用户查看报表的详细内容,包括但不限于收入、支出、利润等关键财务指标,帮助用户做出明智的财务决策。
供应户用户模块:
- 登录功能:由管理员负责添加账户,确保用户能够通过安全认证进入系统
- 后台首页功能:用户登录后可看到功能栏,点击账户选项可以查看或修改个人信息以及密码,以保证账户安全和个人信息的准确性
- 仓库信息管理功能:用户可以进行仓库信息的查询和查看详细信息,以便于对仓库状态进行监控和管理
- 入库信息管理功能:用户可以查询入库信息,并查看每一条入库记录的详细情况,以确保入库流程的透明度和准确性
- 出库信息管理功能:用户可以查询出库信息,并查看每一条出库记录的详细情况,以确保出库流程的透明度和准确性
- 盘点信息管理功能:用户可以进行盘点信息的查询和查看详细信息,以便于对库存情况进行准确的核对和管理
管理员模块:
- 登录功能:管理员可以通过输入正确的用户名和密码来登录系统,确保只有授权的人员能够访问后台管理界面。
- 后台首页:在后台首页,管理员可以查看到仓库信息统计、出库信息统计以及财务报表统计等关键数据。此外,首页还包含功能栏,通过功能栏,管理员可以方便地进行账户信息的查看或修改,包括个人信息和密码的更新。
- 系统用户管理:管理员可以对系统内的不同用户类型进行管理,包括员工用户、供应商用户和财务用户。管理员可以添加新用户、删除不再需要的用户账户,以及查询和查看用户详情。
- 仓库信息管理:管理员可以对仓库信息进行添加、删除和查询操作,并且可以查看每个仓库的详细信息。此外,管理员还可以进行预警设置、管理入库和出库流程,以及执行盘点操作。
- 入库信息管理:管理员可以对入库信息进行查询和查看详细信息,确保所有入库数据的准确性和完整性。
- 出库信息管理:管理员可以对出库信息进行查询和查看详细信息,以便跟踪和管理产品的出库情况。
- 盘点信息管理:管理员可以对盘点信息进行查询和查看详细信息,确保库存数据的准确性,并及时发现和纠正差异。
- 财务报表管理:管理员可以对财务报表进行添加、删除和查询操作,并且可以查看每个报表的详细信息,以便进行财务分析和决策。
面向农牧产品批发商的仓储管理系统的完整UML用例图分别是图3-1、3-2、3-3、3-4。
员工用户角色用例如下图所示。
-
-
-
-
- 面向农牧产品批发商的仓储管理系统员工用户角色用例图
-
-
-
财务用户角色用例如下图所示。

-
-
-
-
- 面向农牧产品批发商的仓储管理系统财务用户角色用例图
-
-
-
供应户用户角色用例如下图所示。

-
-
-
-
- 面向农牧产品批发商的仓储管理系统供应户用户角色用例图
-
-
-
管理员角色用例如下图所示。

系统开发流程的主要步骤,从需求分析到系统完成的全过程。流程包括需求分析、总体设计(结构、功能、数据)、详细设计(模块、编码)、模块整合与调用,以及测试、扩展和完善,最终完成系统的开发。开发流程如下图所示

-
-
-
-
- 系统开发流程图
-
- 用户登录流程
-
-
用户输入用户名和密码后,系统先检查输入是否为空,再验证用户名是否存在,若存在则通过用户名获取密码并校验。若密码正确则登录成功,否则提示密码错误。若用户名不存在或无法登录,提示用户操作无效。如下图所示。

-
-
-
-
- 登录流程图
-
- 系统操作流程
-
-
用户首先进入系统登录界面,输入用户名和密码后,系统验证信息是否正确。若验证失败,返回登录界面重新输入,若验证成功,则进入功能界面,执行相应功能处理后结束操作流程。操作流程如下图所示。

-
-
-
-
- 系统操作流程图
-
- 添加信息流程
-
-
管理员可以添加信息,用户添加可以自己权限内的信息,输入信息后,要想利用这个软件来进行系统的安全管理,首先需要登录到该软件中。添加信息流程如下图所示。

-
-
-
-
- 添加信息流程图
-
- 修改信息流程
-
-
用户首先选择需要修改的记录,输入修改后的数据,系统判断输入数据是否合法。若数据不合法,提示重新输入,若数据合法,则将修改后的数据写入数据库,完成操作后流程结束。修改信息流程图如下图所示。

-
-
-
-
- 修改信息流程图
-
- 删除信息流程
-
-
用户选择需要删除的记录后,系统判断是否确认删除。若未确认,返回选择环节,若确认删除,则更新数据库,删除对应记录,完成操作后流程结束。删除信息流程图如下图所示。

-
-
-
-
- 删除信息流程图
-
-
-
-
总体设计
本章主要讨论的内容包括面向农牧产品批发商的仓储管理系统的系统结构设计、功能模块设计、数据库系统设计。
系统采用SpringBoot 框架开发,该系统分为VIEW层、Controller层、Model层、DAO层和持久化数据存储层,VIEW层支持电脑浏览器访问系统。VIEW 层与 Controller 层紧密结合并系协同工作,共同完成前台页面的数据展示;Controller层为控制层,通过接收前端请求的参数进行业务处理,返回指定的路径或数据;Model层主要是服务层,用于业务逻辑处理;DAO 和持久化层,主要用于访问数据库和持久化数据[9]。整个系统架构如图下所示。

-
-
-
-
- 系统架构图
-
-
- 系统模块设计
-
在上一章节中主要对系统的功能性需求和非功能性需求进行分析,并且根据需求分析了本面向农牧产品批发商的仓储管理系统中的用例。那么接下来就要开始对本面向农牧产品批发商的仓储管理系统的架构、主要功能和数据库开始进行设计。面向农牧产品批发商的仓储管理系统根据前面章节的需求分析得出,面向农牧产品批发商的仓储管理系统的功能模块图如下图所示。

-
-
-
-
- 面向农牧产品批发商的仓储管理系统功能模块图
-
-
- 数据库设计
-
数据库设计一般包括需求分析、概念模型设计、数据库表建立三大过程,其中需求分析前面章节已经阐述,概念模型设计有概念模型和逻辑结构设计两部分。
-
-
- 数据库概念结构设计
-
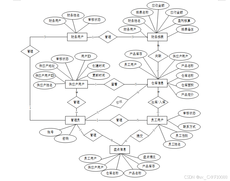
下面是整个面向农牧产品批发商的仓储管理系统中主要的数据库表总E-R实体关系图。

-
-
-
-
- 面向农牧产品批发商的仓储管理系统总E-R关系图
-
- 数据库逻辑结构设计
-
-
通过上一小节中面向农牧产品批发商的仓储管理系统中总E-R关系图上得出一共需要创建多个数据表。在此主要罗列几个主要的数据库表结构设计。
| 编号 | 字段名 | 类型 | 长度 | 是否非空 | 是否主键 | 注释 |
| 1 | token_id | int | 是 | 是 | 临时访问牌ID | |
| 2 | token | varchar | 64 | 否 | 否 | 临时访问牌 |
| 3 | info | text | 65535 | 否 | 否 | 信息 |
| 4 | maxage | int | 是 | 否 | 最大寿命:默认2小时 | |
| 5 | create_time | timestamp | 是 | 否 | 创建时间 | |
| 6 | update_time | timestamp | 是 | 否 | 更新时间 | |
| 7 | user_id | int | 是 | 否 | 用户编号 |
表 4-2-auth(用户权限管理)
| 编号 | 字段名 | 类型 | 长度 | 是否非空 | 是否主键 | 注释 |
| 1 | auth_id | int | 是 | 是 | 授权ID | |
| 2 | user_group | varchar | 64 | 否 | 否 | 用户组 |
| 3 | mod_name | varchar | 64 | 否 | 否 | 模块名 |
| 4 | table_name | varchar | 64 | 否 | 否 | 表名 |
| 5 | page_title | varchar | 255 | 否 | 否 | 页面标题 |
| 6 | path | varchar | 255 | 否 | 否 | 路由路径 |
| 7 | parent | varchar | 64 | 否 | 否 | 父级菜单 |
| 8 | parent_sort | int | 是 | 否 | 父级菜单排序 | |
| 9 | position | varchar | 32 | 否 | 否 | 位置 |
| 10 | mode | varchar | 32 | 是 | 否 | 跳转方式 |
| 11 | add | tinyint | 是 | 否 | 是否可增加 | |
| 12 | del | tinyint | 是 | 否 | 是否可删除 | |
| 13 | set | tinyint | 是 | 否 | 是否可修改 | |
| 14 | get | tinyint | 是 | 否 | 是否可查看 | |
| 15 | field_add | text | 65535 | 否 | 否 | 添加字段 |
| 16 | field_set | text | 65535 | 否 | 否 | 修改字段 |
| 17 | field_get | text | 65535 | 否 | 否 | 查询字段 |
| 18 | table_nav_name | varchar | 500 | 否 | 否 | 跨表导航名称 |
| 19 | table_nav | varchar | 500 | 否 | 否 | 跨表导航 |
| 20 | option | text | 65535 | 否 | 否 | 配置 |
| 21 | create_time | timestamp | 是 | 否 | 创建时间 | |
| 22 | update_time | timestamp | 是 | 否 | 更新时间 |
表 4-3-code_token(验证码)
| 编号 | 字段名 | 类型 | 长度 | 是否非空 | 是否主键 | 注释 |
| 1 | code_token_id | int | 是 | 是 | 验证码ID | |
| 2 | token | varchar | 255 | 否 | 否 | 令牌 |
| 3 | code | varchar | 255 | 否 | 否 | 验证码 |
| 4 | expire_time | timestamp | 是 | 否 | 失效时间 | |
| 5 | create_time | timestamp | 是 | 否 | 创建时间 | |
| 6 | update_time | timestamp | 是 | 否 | 更新时间 |
表 4-4-counting_information(盘点信息)
| 编号 | 字段名 | 类型 | 长度 | 是否非空 | 是否主键 | 注释 |
| 1 | counting_information_id | int | 是 | 是 | 盘点信息ID | |
| 2 | employee_user | int | 否 | 否 | 员工用户 | |
| 3 | employee_name | varchar | 64 | 否 | 否 | 员工姓名 |
| 4 | supply_user | int | 否 | 否 | 供应户用户 | |
| 5 | supplier_name | varchar | 64 | 否 | 否 | 供应户姓名 |
| 6 | warehouse_name | varchar | 64 | 否 | 否 | 仓库名称 |
| 7 | warehouse_type | varchar | 64 | 否 | 否 | 仓库类型 |
| 8 | product_name | varchar | 64 | 否 | 否 | 产品名称 |
| 9 | product_number | varchar | 64 | 否 | 否 | 产品编号 |
| 10 | product_inventory | double | 否 | 否 | 产品库存 | |
| 11 | count_quantity | double | 否 | 否 | 盘点数量 | |
| 12 | count_variance | double | 否 | 否 | 盘点差异 | |
| 13 | counting_date | date | 否 | 否 | 盘点日期 | |
| 14 | counting_remarks | text | 65535 | 否 | 否 | 盘点备注 |
| 15 | create_time | datetime | 是 | 否 | 创建时间 | |
| 16 | update_time | timestamp | 是 | 否 | 更新时间 | |
| 17 | source_table | varchar | 255 | 否 | 否 | 来源表 |
| 18 | source_id | int | 否 | 否 | 来源ID | |
| 19 | source_user_id | int | 否 | 否 | 来源用户 |
表 4-5-employee_user(员工用户)
| 编号 | 字段名 | 类型 | 长度 | 是否非空 | 是否主键 | 注释 |
| 1 | employee_user_id | int | 是 | 是 | 员工用户ID | |
| 2 | employee_name | varchar | 64 | 否 | 否 | 员工姓名 |
| 3 | employee_gender | varchar | 64 | 否 | 否 | 员工性别 |
| 4 | contact_information | varchar | 16 | 否 | 否 | 联系方式 |
| 5 | examine_state | varchar | 16 | 是 | 否 | 审核状态 |
| 6 | user_id | int | 是 | 否 | 用户ID | |
| 7 | create_time | datetime | 是 | 否 | 创建时间 | |
| 8 | update_time | timestamp | 是 | 否 | 更新时间 |
表 4-6-financial_statements(财务报表)
| 编号 | 字段名 | 类型 | 长度 | 是否非空 | 是否主键 | 注释 |
| 1 | financial_statements_id | int | 是 | 是 | 财务报表ID | |
| 2 | financial_user | int | 否 | 否 | 财务用户 | |
| 3 | financial_name | varchar | 64 | 否 | 否 | 财务姓名 |
| 4 | report_name | varchar | 64 | 否 | 否 | 报表名称 |
| 5 | amount_receivable | double | 否 | 否 | 应收金额 | |
| 6 | amount_payable | double | 否 | 否 | 应付金额 | |
| 7 | profit_accounting | double | 否 | 否 | 盈利核算 | |
| 8 | report_remarks | text | 65535 | 否 | 否 | 报表备注 |
| 9 | create_time | datetime | 是 | 否 | 创建时间 | |
| 10 | update_time | timestamp | 是 | 否 | 更新时间 |
表 4-7-financial_user(财务用户)
| 编号 | 字段名 | 类型 | 长度 | 是否非空 | 是否主键 | 注释 |
| 1 | financial_user_id | int | 是 | 是 | 财务用户ID | |
| 2 | financial_name | varchar | 64 | 否 | 否 | 财务姓名 |
| 3 | financial_gender | varchar | 64 | 否 | 否 | 财务性别 |
| 4 | contact_information | varchar | 16 | 否 | 否 | 联系方式 |
| 5 | examine_state | varchar | 16 | 是 | 否 | 审核状态 |
| 6 | user_id | int | 是 | 否 | 用户ID | |
| 7 | create_time | datetime | 是 | 否 | 创建时间 | |
| 8 | update_time | timestamp | 是 | 否 | 更新时间 |
表 4-8-hits(用户点击)
| 编号 | 字段名 | 类型 | 长度 | 是否非空 | 是否主键 | 注释 |
| 1 | hits_id | int | 是 | 是 | 点赞ID | |
| 2 | user_id | int | 是 | 否 | 点赞人 | |
| 3 | create_time | timestamp | 是 | 否 | 创建时间 | |
| 4 | update_time | timestamp | 是 | 否 | 更新时间 | |
| 5 | source_table | varchar | 255 | 否 | 否 | 来源表 |
| 6 | source_field | varchar | 255 | 否 | 否 | 来源字段 |
| 7 | source_id | int | 是 | 否 | 来源ID |
表 4-9-issue_information(出库信息)
| 编号 | 字段名 | 类型 | 长度 | 是否非空 | 是否主键 | 注释 |
| 1 | issue_information_id | int | 是 | 是 | 出库信息ID | |
| 2 | employee_user | int | 否 | 否 | 员工用户 | |
| 3 | employee_name | varchar | 64 | 否 | 否 | 员工姓名 |
| 4 | supply_user | int | 否 | 否 | 供应户用户 | |
| 5 | supplier_name | varchar | 64 | 否 | 否 | 供应户姓名 |
| 6 | issue_type | varchar | 64 | 否 | 否 | 出库类型 |
| 7 | warehouse_name | varchar | 64 | 否 | 否 | 仓库名称 |
| 8 | warehouse_type | varchar | 64 | 否 | 否 | 仓库类型 |
| 9 | product_name | varchar | 64 | 否 | 否 | 产品名称 |
| 10 | product_number | varchar | 64 | 否 | 否 | 产品编号 |
| 11 | quantity_of_issue | double | 否 | 否 | 出库数量 | |
| 12 | product_pricing | double | 否 | 否 | 产品定价 | |
| 13 | issue_amount | double | 否 | 否 | 出库金额 | |
| 14 | issue_date | date | 否 | 否 | 出库日期 | |
| 15 | outbound_remarks | text | 65535 | 否 | 否 | 出库备注 |
| 16 | create_time | datetime | 是 | 否 | 创建时间 | |
| 17 | update_time | timestamp | 是 | 否 | 更新时间 | |
| 18 | source_table | varchar | 255 | 否 | 否 | 来源表 |
| 19 | source_id | int | 否 | 否 | 来源ID | |
| 20 | source_user_id | int | 否 | 否 | 来源用户 |
表 4-10-receipt_information(入库信息)
| 编号 | 字段名 | 类型 | 长度 | 是否非空 | 是否主键 | 注释 |
| 1 | receipt_information_id | int | 是 | 是 | 入库信息ID | |
| 2 | employee_user | int | 否 | 否 | 员工用户 | |
| 3 | employee_name | varchar | 64 | 否 | 否 | 员工姓名 |
| 4 | supply_user | int | 否 | 否 | 供应户用户 | |
| 5 | supplier_name | varchar | 64 | 否 | 否 | 供应户姓名 |
| 6 | receipt_type | varchar | 64 | 否 | 否 | 入库类型 |
| 7 | warehouse_name | varchar | 64 | 否 | 否 | 仓库名称 |
| 8 | warehouse_type | varchar | 64 | 否 | 否 | 仓库类型 |
| 9 | product_name | varchar | 64 | 否 | 否 | 产品名称 |
| 10 | product_number | varchar | 64 | 否 | 否 | 产品编号 |
| 11 | receipt_quantity | double | 否 | 否 | 入库数量 | |
| 12 | receipt_date | date | 否 | 否 | 入库日期 | |
| 13 | receipt_remarks | text | 65535 | 否 | 否 | 入库备注 |
| 14 | create_time | datetime | 是 | 否 | 创建时间 | |
| 15 | update_time | timestamp | 是 | 否 | 更新时间 | |
| 16 | source_table | varchar | 255 | 否 | 否 | 来源表 |
| 17 | source_id | int | 否 | 否 | 来源ID | |
| 18 | source_user_id | int | 否 | 否 | 来源用户 |
表 4-11-supply_user(供应户用户)
| 编号 | 字段名 | 类型 | 长度 | 是否非空 | 是否主键 | 注释 |
| 1 | supply_user_id | int | 是 | 是 | 供应户用户ID | |
| 2 | supplier_name | varchar | 64 | 否 | 否 | 供应户姓名 |
| 3 | supplier_phone | varchar | 16 | 否 | 否 | 供应户电话 |
| 4 | address_of_supplier | varchar | 64 | 否 | 否 | 供应户地址 |
| 5 | examine_state | varchar | 16 | 是 | 否 | 审核状态 |
| 6 | user_id | int | 是 | 否 | 用户ID | |
| 7 | create_time | datetime | 是 | 否 | 创建时间 | |
| 8 | update_time | timestamp | 是 | 否 | 更新时间 |
表 4-12-upload(文件上传)
| 编号 | 字段名 | 类型 | 长度 | 是否非空 | 是否主键 | 注释 |
| 1 | upload_id | int | 是 | 是 | 上传ID | |
| 2 | name | varchar | 64 | 否 | 否 | 文件名 |
| 3 | path | varchar | 255 | 否 | 否 | 访问路径 |
| 4 | file | varchar | 255 | 否 | 否 | 文件路径 |
| 5 | display | varchar | 255 | 否 | 否 | 显示顺序 |
| 6 | father_id | int | 否 | 否 | 父级ID | |
| 7 | dir | varchar | 255 | 否 | 否 | 文件夹 |
| 8 | type | varchar | 32 | 否 | 否 | 文件类型 |
表 4-13-user(用户账户)
| 编号 | 字段名 | 类型 | 长度 | 是否非空 | 是否主键 | 注释 |
| 1 | user_id | int | 是 | 是 | 用户ID | |
| 2 | state | smallint | 是 | 否 | 账户状态:(1可用|2异常|3已冻结|4已注销) | |
| 3 | user_group | varchar | 32 | 否 | 否 | 所在用户组 |
| 4 | login_time | timestamp | 是 | 否 | 上次登录时间 | |
| 5 | phone | varchar | 11 | 否 | 否 | 手机号码 |
| 6 | phone_state | smallint | 是 | 否 | 手机认证:(0未认证|1审核中|2已认证) | |
| 7 | username | varchar | 16 | 是 | 否 | 用户名 |
| 8 | nickname | varchar | 16 | 否 | 否 | 昵称 |
| 9 | password | varchar | 64 | 是 | 否 | 密码 |
| 10 | | varchar | 64 | 否 | 否 | 邮箱 |
| 11 | email_state | smallint | 是 | 否 | 邮箱认证:(0未认证|1审核中|2已认证) | |
| 12 | avatar | varchar | 255 | 否 | 否 | 头像地址 |
| 13 | open_id | varchar | 255 | 否 | 否 | 针对获取用户信息字段 |
| 14 | create_time | timestamp | 是 | 否 | 创建时间 |
表 4-14-user_group(用户组)
| 编号 | 字段名 | 类型 | 长度 | 是否非空 | 是否主键 | 注释 |
| 1 | group_id | mediumint | 是 | 是 | 用户组ID | |
| 2 | display | smallint | 是 | 否 | 显示顺序 | |
| 3 | name | varchar | 16 | 是 | 否 | 名称 |
| 4 | description | varchar | 255 | 否 | 否 | 描述 |
| 5 | source_table | varchar | 255 | 否 | 否 | 来源表 |
| 6 | source_field | varchar | 255 | 否 | 否 | 来源字段 |
| 7 | source_id | int | 是 | 否 | 来源ID | |
| 8 | register | smallint | 否 | 否 | 注册位置 | |
| 9 | create_time | timestamp | 是 | 否 | 创建时间 | |
| 10 | update_time | timestamp | 是 | 否 | 更新时间 |
表 4-15-warehouse_information(仓库信息)
| 编号 | 字段名 | 类型 | 长度 | 是否非空 | 是否主键 | 注释 |
| 1 | warehouse_information_id | int | 是 | 是 | 仓库信息ID | |
| 2 | employee_user | int | 否 | 否 | 员工用户 | |
| 3 | employee_name | varchar | 64 | 否 | 否 | 员工姓名 |
| 4 | supply_user | int | 否 | 否 | 供应户用户 | |
| 5 | supplier_name | varchar | 64 | 否 | 否 | 供应户姓名 |
| 6 | warehouse_name | varchar | 64 | 否 | 否 | 仓库名称 |
| 7 | warehouse_type | varchar | 64 | 否 | 否 | 仓库类型 |
| 8 | warehouse_area | varchar | 64 | 否 | 否 | 仓库面积 |
| 9 | environmental_conditions | varchar | 64 | 否 | 否 | 环境条件 |
| 10 | location_code | varchar | 64 | 否 | 否 | 库位编码 |
| 11 | name_of_location | varchar | 64 | 否 | 否 | 库位名称 |
| 12 | warehouse_level | varchar | 64 | 否 | 否 | 库位层级 |
| 13 | product_name | varchar | 64 | 否 | 否 | 产品名称 |
| 14 | product_specifications | varchar | 64 | 否 | 否 | 产品规格 |
| 15 | product_unit | varchar | 64 | 否 | 否 | 产品单位 |
| 16 | product_number | varchar | 64 | 否 | 否 | 产品编号 |
| 17 | product_type | varchar | 64 | 否 | 否 | 产品类型 |
| 18 | product_inventory | double | 否 | 否 | 产品库存 | |
| 19 | product_pricing | double | 否 | 否 | 产品定价 | |
| 20 | product_introduction | text | 65535 | 否 | 否 | 产品简介 |
| 21 | receipt_information_limit_times | int | 是 | 否 | 入库限制次数 | |
| 22 | issue_information_limit_times | int | 是 | 否 | 出库限制次数 | |
| 23 | counting_information_limit_times | int | 是 | 否 | 盘点限制次数 | |
| 24 | create_time | datetime | 是 | 否 | 创建时间 | |
| 25 | update_time | timestamp | 是 | 否 | 更新时间 |
-
系统详细设计与实现
- 登录模块
面向农牧产品批发商的仓储管理系统中管理员添加后的用户是可以通过自己的用户名+密码进行登录的,当用户输入完整的自己的用户名+密码信息并点击“登录”按钮后,将会首先验证输入的有没有空数据,再次验证输入的用户名+密码和数据库中当前保存的用户信息是否一致,只有在一致后将会登录成功并自动跳转到面向农牧产品批发商的仓储管理系统的后台首页中,否则将会提示相应错误信息,登录模块如下图所示。

-
-
-
-
- 登录模块图
-
-
- 员工用户功能模块
-
仓库信息管理模块允许员工用户执行一系列关键操作,包括添加新的库存记录、删除不再需要的信息以及查询现有库存状态。用户可以通过详情功能深入了解每项库存的具体情况。此外,该模块支持货物的入库登记、出库处理及定期盘点工作,确保库存数据的准确性和实时更新。这些功能共同作用,优化了仓库管理流程,提升了工作效率。模块如下图所示。

盘点信息管理模块帮助员工有效跟踪和管理盘点活动。用户可以删除旧的盘点记录,查询过去的盘点结果,并利用详情功能深入分析每个盘点条目。这对于维持库存准确性至关重要,同时也有助于发现潜在的问题和改进空间,从而进一步提升仓储管理的整体水平。模块如下图所示。

-
-
-
-
- 盘点信息管理模块图
-
-
- 财务用户功能模块
-
财务用户登录后进入的后台首页集成了多项关键功能,包括仓库信息统计、出库信息统计以及财务报表统计等模块,便于快速掌握仓储及财务状况。功能栏中提供了导航至各个管理模块的快捷入口,方便用户操作。个人账户设置允许用户查看并更新个人信息及密码,维护账号安全。这些设计共同为财务用户提供了一个直观且功能全面的工作平台。模块如下图所示。

财务报表管理模块为财务用户提供了编制、管理和查询财务报表的工具。用户可以根据需要创建新的报表,删除过时的报表,或者查询现有报表的信息。每个报表都可通过详情功能查看其具体内容,以便于进行深入分析和决策制定。此模块是财务管理的核心部分,确保了财务数据的及时更新和准确呈现,为企业提供坚实的财务支持。模块如下图所示。

仓库信息管理模块允许供用户查询当前库存情况以及特定商品的详细信息。通过简单的搜索界面,用户可以迅速找到所需商品的库存状态,并利用详情功能深入了解该商品的具体数据,如数量、位置等。这有助于供应商更好地规划生产和发货安排,确保供应的连续性和及时性,同时加强了供应商与企业间的合作信任。模块如下图所示。

入库信息管理模块为供用户提供了便捷的查询工具,用于获取已入库货物的相关信息。用户可以根据时间、产品种类等条件筛选入库记录,并通过详情功能查看每笔交易的具体内容。此功能对于跟踪货物状态、确认交货情况至关重要,有助于供应商优化物流流程,提高客户满意度,确保双方合作顺畅无阻。模块如下图所示。

仓库信息管理模块赋予管理员全面掌控库存的能力,包括添加新记录、删除过时信息、查询库存状态及查看详情。管理员还能设置预警条件,以便及时应对库存水平异常变化。此外,该模块支持货物的入库登记、出库处理及定期盘点工作,确保库存数据的准确性和实时更新。这些功能共同作用,优化了仓库管理流程,提高了工作效率,降低了运营成本。模块如下图所示。

管理员负责管理系统内所有类型的用户账户,包括员工用户、供用户用户、财务用户以及管理员自身。管理员可以通过此模块执行添加新用户、删除不再需要的账户、查询现有账户列表以及查看特定账户详情等操作。这保证了系统的用户管理既灵活又安全,确保每位用户都拥有适当的权限级别,并能根据业务需求调整用户角色和权限,促进团队协作的同时维护数据安全。流程图如下所示。

-
-
-
-
- 系统用户流程图
-
-
-
系统用户模块如下图所示。

出库信息管理模块允许管理员查询所有出库活动的信息,并通过详情功能查看每一个出库案例的具体内容。这对于监控货物流动、评估市场需求至关重要。管理员利用此模块可以迅速响应市场变化,优化库存结构,确保产品按时交付给客户,维持高水平的服务质量,同时为企业的战略决策提供有力支持。模块如下图所示。

盘点信息管理模块帮助管理员有效地跟踪和管理盘点活动,包括查询历次盘点的结果及查看详情。管理员可以利用此模块深入分析每次盘点的具体内容,确保库存数据的准确无误。这不仅有助于发现潜在问题,如丢失或损坏的商品,还为改进仓储管理流程提供了依据,从而提升整体运营效率和服务水平。定期审查盘点信息也是确保财务健康和优化库存管理的重要手段。模块如下图所示。

财务报表管理模块为管理员提供了编制、管理和查询财务报表的功能。管理员可以根据需要创建新的报表,删除过时的报表,或者查询现有报表的信息,并通过详情功能查看每个报表的具体内容。这一模块对于监控企业财务状况、制定预算计划和进行审计检查至关重要。它确保了财务数据的及时更新和准确呈现,为企业管理层提供坚实的决策支持基础。模块如下图所示。

-
-
-
-
- 财务报表管理模块图
-
-
-
测试的主要目的是确保系统的功能和性能满足预期的需求,同时识别和修复潜在的缺陷。通过系统测试,可以验证各个功能模块的正确性和稳定性,确保系统在不同使用场景下的表现符合设计要求。测试目的包括确认系统功能的完整性、验证数据处理的准确性、评估系统的性能和安全性。测试还可以提高用户满意度,保证用户在使用系统时获得流畅和可靠的体验。通过全面的测试,可以降低后期维护成本,减少系统上线后出现故障的风险,从而保障系统的长期稳定运行。
在本系统中,测试方法主要依赖于测试用例的设计与执行。测试用例是根据系统需求文档编写的,覆盖所有功能模块及其边界情况。每个测试用例包含输入数据、预期结果和实际结果的对比,以验证系统的功能是否按预期工作。
常见的测试用例包括功能测试用例、边界测试用例和异常测试用例[10]。功能测试用例针对系统的各项功能进行验证;边界测试用例则侧重于输入数据的边界条件,验证系统在极端情况下是否能够稳定运行;异常测试用例则用于验证系统在处理错误输入或异常情况时的反应。本文选择功能测试用例进行系统测试。
在测试执行过程中,记录每个用例的执行结果,并根据实际结果与预期结果的对比,判断系统是否存在缺陷。通过系统化的测试用例执行,可以有效提高测试的覆盖率和效率,为系统的最终上线提供保障。
表6-1 用户登录功能测试表
| 用例名称 | 用户登录系统 |
| 目的 | 测试用户通过正确的用户名和密码可否登录功能 |
| 前提 | 未登录的情况下 |
| 测试流程 | 1) 进入登录页面 2) 输入正确的用户名和密码 |
| 预期结果 | 用户名和密码正确的时候,跳转到登录成功界面,反之则显示错误信息,提示重新输入 |
| 实际结果 | 实际结果与预期结果一致 |
在系统中,创建功能也是基础功能之一,因此创建功能的测试很有代表性。在此章节主要列举在创建时各种情况下系统结果的测试。由于系统涉及创建功能操作过多,因此将多处统称创建功能。
创建数据用例如表6-2 所示。
表6-2 创建数据测试用例
| 测试用例编号 | YL_05 | |
| 测试用例名称 | 系统使用者进行创建数据 | |
| 测试用例描述 | 使用者输入要创建的数据 | |
| 系统入口 | 浏览器 | |
| 步骤 | 预期结果 | 实际结果 |
| 输入完整并且格式正确的数据 | 提示“创建成功”,并显示所有数据 | 预期结果 |
| 核心位置数据但非必要位置不输入数据 | 提示“创建成功”,并显示所有数据 | 预期结果 |
| 核心数据位置不输入数据 | 提示“创建失败” | 预期结果 |
-
-
- 修改数据测试
-
在系统中,修改功能是系统主要实现功能,因此修改功能的测试很有代表性。在此章节主要列举在修改时各种情况下系统结果的测试。由于系统涉及修改功能操作过多,因此将多处数据表记录修改和状态修改统称修改功能。
修改数据用例如表6-3所示。
表6-3 修改数据测试用例
| 测试用例编号 | YL_06 | |
| 测试用例名称 | 系统使用者进行修改数据 | |
| 测试用例描述 | 使用者对可修改的数据项进行修改 | |
| 系统入口 | 浏览器 | |
| 步骤 | 预期结果 | 实际结果 |
| 将现有数据修改成正确的数据 | 提示“修改成功”,并显示所有数据 | 预期结果 |
| 将现有数据修改成错误的数据 | 提示“修改失败” | 预期结果 |
-
-
- 查询数据测试
-
在系统中,查询功能是使用系统使用最多也是最基础的功能,因此查询功能的测试很有代表性。在此章节主要列举在查询时各种情况下系统结果的测试。
查询数据用例如表6-4所示。
表6-4 查询数据测试用例
| 测试用例编号 | YL_05 | |
| 测试用例名称 | 系统使用者进行查询数据 | |
| 测试用例描述 | 全部查询以及输入关键词查询 | |
| 系统入口 | 浏览器 | |
| 步骤 | 预期结果 | 实际结果 |
| 界面自动查询全部 | 显示对应所有记录 | 预期结果 |
| 输入已存在且能匹配成功的关键字 | 显示所查询到的数据 | 预期结果 |
| 输入不存在的关键字 | 显示数据界面为空 | 预期结果 |
在本次测试的过程主要针对所有功能下的添加操作,修改操作和删除操作,并以真实数据一一进行相关功能项目的输入,最终能够保证每个项目涉及的功能都能够正常运行,因此能够保证本次设计的,已实现的功能能够正常运行并且相关数据库的信息也同样保证正确。
结 论
通过采用SpringBoot和Java技术,成功构建了一个面向农牧产品批发商的仓储管理系统。该系统实现了基于角色的功能权限划分,包括员工用户、财务用户、供用户用户及管理员的不同操作权限设置,确保了系统的灵活性与安全性。具体功能涵盖仓库信息管理、入库信息管理、出库信息管理、盘点信息管理以及财务报表管理。每个模块的设计均考虑到实际业务需求,旨在简化操作流程,提高工作效率,确保数据准确性和实时更新。
在开发过程中,深入了解了现代仓储管理的需求及其面临的挑战,学习并掌握了如何利用先进的软件工程技术解决实际问题。例如,通过SpringBoot框架的支持,实现了模块化设计,不仅提高了代码的可维护性,还增强了系统的稳定性和扩展能力。同时,在与不同角色用户的交流中,理解到用户界面友好性和操作便捷性的重要性,这为后续优化提供了方向。此外,针对安全性的考虑贯穿整个开发周期,从账户创建到权限控制,再到数据保护措施,确保系统能够抵御潜在的安全威胁。
展望未来,随着市场需求和技术环境的变化,该系统仍有广阔的发展空间。可以进一步探索与其他企业系统的集成可能性。在技术层面,持续关注新兴技术的发展趋势,适时引入新技术或改进现有技术架构,以保持系统的先进性和竞争力。本项目不仅提供了一套实用的仓储管理解决方案,也为未来的系统升级和功能扩展奠定了坚实的基础。通过不断的学习和实践,有望在未来推出更加智能高效的仓储管理系统,助力农牧产品批发商应对日益复杂的市场挑战。
参考文献
- 刘江涛,王亮亮,吴庆茹,等.基于B/S模式的铁路勘测设计案例信息化管理系统设计与实现[J].铁路计算机应用,2021,30(03):32-35.
- 张丹丹,李弘.基于B/S架构的办公管理系统设计与开发[J].铁路通信信号工程技术,2024,21(09):44-48+106.
- 王志亮,纪松波.基于SpringBoot的Web前端与数据库的接口设计[J].工业控制计算机,2023,36(03):51-53.
- 熊永平.基于SpringBoot框架应用开发技术的分析与研究[J].电脑知识与技术,2021,15(36):76-77.
- 赵媛.基于Vue的Web系统前端性能优化分析[J].电脑编程技巧与维护,2024,(09):44-46.
- 秦冬.浅析Vue框架在前端开发中的应用[J].信息与电脑(理论版),2024,36(13):61-63.
- 李艳杰.MySQL数据库下存储过程的综合运用研究[J].现代信息科技,2023,7(11):80-82+88.
- 尹应荆.JAVA编程语言在计算机软件开发中的应用[J].石河子科技,2023,(05):45-47.
- 陈倩怡,何军.Vue+Springboot+MyBatis技术应用解析[J].电脑编程技巧与维护,2020,(01):14-15+28.
- 李俊萌.计算机软件测试技术与开发应用策略分析[J].信息记录材料,2023,24(03):50-52.
- Java Sunrise Coffee: Better Beans, and Better Coffee [J]. M2 Presswire, 2025,
- Salunke V S ,Ouda A . A Performance Benchmark for the PostgreSQL and MySQL Databases [J]. Future Internet, 2024, 16 (10): 382-382.
- Shao W ,Liu K . Design and Implementation of Online Ordering System Based on SpringBoot [J]. Journal of Big Data and Computing, 2024, 2 (3):
- 吴雅茜.信息技术支持对企业经济管理的推动作用分析[J].中国集体经济,2024,(25):69-72.
- 施敏.制造企业库存管理问题和对策研究[J].今日财富,2024,(20):56-58.
- 孟珂钰.基于深度学习的企业库存优化管理系统[D].石家庄铁道大学,2024.
- 叶成.基于微服务架构的企业库存管理系统设计与实现[D].长江大学,2024.
- 刘华锋,苏艳刚,刘跃.企业库存管理系统开发[J].现代工业经济和信息化,2021,11(07):70-71+139.
- 李青.基于电子互联网的物资管理系统设计[J].价值工程,2020,39(20):119-120.
- 冯安仪,荀艳,王瑾彤,等.小微企业库存管理系统设计[J].现代企业,2020,(05):24-25.
致 谢
面向农牧产品批发商的仓储管理系统设计与实现工作已结束,虽然过程中充满挑战,但内心充满自豪和满足。感谢大学四年间教导我的所有老师,他们的专业知识与人生智慧让我成长为能独立完成系统的学生。特别感谢指导老师,他耐心解答疑惑,引导我解决问题,提升自主解决能力。室友和同学们的宝贵建议和支持也让我取得长足进步。未来,我将继续努力追求卓越,不辜负所学所悟和老师期望。坚信坚定信念和不懈努力,未来定能取得更辉煌成就。期待更美好未来!
此外,面向农牧产品批发商的仓储管理系统设计与实现不仅是技术挑战,挫折和困难是成长的垫脚石,让我更深入理解问题,精确找到解决方案。每次解决问题,都感到满足和自豪。
对于未来,我充满期待和信心。无论道路多崎岖,只要保持坚定信念,持续努力,定能取得更大成就。期待将知识和技能运用到实际中,为社会做出更大贡献。
最后,感谢所有帮助和支持我的人。你们的教诲、鼓励和支持让我有今天的成就。我会继续努力,不辜负期望,为实现更美好的未来而奋斗。
附 录
代码:
修改数据代码如下:
@PostMapping("/set")
@Transactional
public Map<String, Object> set(HttpServletRequest request) throws IOException {
service.update(service.readQuery(request), service.readConfig(request), service.readBody(request.getReader()));
return success(1);
}
删除一条数据代码如下:
@RequestMapping(value = "/del")
@Transactional
public Map<String, Object> del(HttpServletRequest request) {
service.delete(service.readQuery(request), service.readConfig(request));
return success(1);
}
public void delete(Map<String,String> query,Map<String,String> config){
QueryWrapper wrapper = new QueryWrapper<E>();
toWhereWrapper(query, "0".equals(config.get(FindConfig.GROUP_BY)),wrapper);
baseMapper.delete(wrapper);
log.info("[{}] - 删除操作:{}",wrapper.getSqlSelect());
}
通过请求的参数获取列表数据,代码如下:
@RequestMapping("/get_list")
public Map<String, Object> getList(HttpServletRequest request) {
Map<String, Object> map = service.selectToPage(service.readQuery(request), service.readConfig(request));
return success(map);
}
获取某个组下面的数量,代码如下:
@RequestMapping(value = {"/count_group", "/count"})
public Map<String, Object> count(HttpServletRequest request) {
Integer value= service.selectSqlToInteger(service.groupCount(service.readQuery(request), service.readConfig(request)));
return success(value);
}
登录页代码如下:
/**
* 登录
* @param data
* @param httpServletRequest
* @return
*/
@PostMapping("login")
public Map<String, Object> login(@RequestBody Map<String, String> data, HttpServletRequest httpServletRequest) {
log.info("[执行登录接口]");
String username = data.get("username");
String email = data.get("email");
String phone = data.get("phone");
String password = data.get("password");
List resultList = null;
Map<String, String> map = new HashMap<>();
if(username != null && "".equals(username) == false){
map.put("username", username);
resultList = service.selectBaseList(service.select(map, new HashMap<>()));
}
else if(email != null && "".equals(email) == false){
map.put("email", email);
resultList = service.selectBaseList(service.select(map, new HashMap<>()));
}
免费领取项目源码,请关注❥点赞收藏并私信博主,谢谢~
1659

被折叠的 条评论
为什么被折叠?



