摘 要
随着互联网趋势的到来,各行各业都在考虑利用互联网将自己推广出去,最好方式就是建立自己的互联网系统,并对其进行维护和管理。在现实运用中,应用软件的工作规则和开发步骤,采用Java技术建设“腾渊阁”酒店客房预订管理系统。
本设计主要实现集人性化、高效率、便捷等优点于一身的“腾渊阁”酒店客房预订管理系统,完成房间分类管理、房间信息管理、酒店预定管理、取消预约、退房信息、采购物品、入住信息等功能模块。系统通过浏览器与服务器进行通信,实现数据的交互与变更。只需通过一台电脑,动动手指就可以操作系统,实现数据通信管理。整个系统的设计过程都充分考虑了数据的安全、稳定及可靠等问题,而且操作过程简单。本系统通过科学的管理方式、便捷的服务提高了工作效率,减少了数据存储上的错误和遗漏。
“腾渊阁”酒店客房预订管理系统使用Java语言,采用基于MVVM模式的Java技术进行开发,使用 MyEclipse编译器编写,数据方面主要采用的是微软的MySQL关系型数据库来作为数据存储媒介,配合前台HTML+CSS 技术完成系统的开发。
关键词:酒店客房预订;JAVA语言;SSM;MYSQL数据库
SSM "Tengyuan Pavilion" Hotel Room Reservation Management System
Abstract
With the arrival of the Internet trend, all walks of life are considering using the Internet to promote themselves. The best way is to establish their own Internet systems, and maintain and manage them. In practical application, the working rules and development steps of the application software are used to build the "Tengyuan Pavilion" hotel room reservation management system using Java technology.
This design mainly implements a "Tengyuan Pavilion" hotel room reservation management system that combines the advantages of humanization, high efficiency, and convenience. It completes functional modules such as room classification, room information, hotel reservation, cancellation of reservation, check-out information, purchase of items, and check-in information. The system communicates with the server through a browser to achieve data exchange and change. You only need to use a computer and move your fingers to operate the system, achieving data communication management. The entire system design process fully considers issues such as data security, stability, and reliability, and the operation process is simple. This system improves work efficiency and reduces errors and omissions in data storage through scientific management and convenient services.
The Tengyuan Pavilion hotel room reservation management system is developed using Java language and MVVM based Java technology. It is compiled using the MyEclipse compiler and mainly uses Microsoft's MySQL relational database as the data storage medium. The system is developed in conjunction with front-end HTML+CSS technology.
Keywords: Hotel room reservation; JAVA language; SSM; MYSQL database
目 录
3.4系统用例图..........................................................
1 绪论
1.1 研究背景与意义
近年来,随着旅游业的蓬勃发展和人们生活水平的提高,酒店客房预订需求不断增加。传统的电话预订和柜台办理方式已经无法满足快速、便捷的预订体验。因此,设计和实现一个高效、智能的酒店客房预订管理系统具有重要背景与意义。
首先,酒店客房预订管理系统可以提高预订效率和用户体验。通过互联网和移动应用技术,用户可以随时随地浏览酒店信息、选择合适的客房类型,并在线完成预订和支付等操作,避免了繁琐的线下流程,节省了时间和精力。还能够促进酒店运营的数字化转型和智能化发展。研究和开发酒店客房预订管理系统对于提升预订效率、优化资源利用和推动酒店数字化转型具有重要意义。该系统能够满足用户个性化预订需求,提升酒店的竞争力和用户满意度,促进旅游业的可持续发展。
1.2 研究开发现状分析
在国内外,许多大型酒店集团和在线旅游平台已经建立了自己的客房预订管理系统。这些系统通过整合酒店信息、客房库存和价格等数据,提供了在线预订和支付功能,用户可以方便地选择和预订符合自身需求的客房。同时,这些系统还能够为酒店提供即时的客房入住情况和报表分析,帮助酒店更好地管理和优化资源。
此外,也有一些研究机构和高校开展了相关的研究工作,探索酒店客房预订管理系统的设计和优化。例如,研究者们关注用户行为分析、推荐算法和智能预测模型等方面,以提升系统的用户体验和推荐准确性。
然而,当前酒店客房预订管理系统仍存在一些挑战和问题。例如,部分系统在用户界面和交互设计上仍不够友好和流畅,用户体验有待改进;系统间的数据共享和整合仍面临一定的技术难题;同时,数据安全和隐私保护也是系统开发中需要重视的问题。
因此,未来的研究和开发需要关注以上问题,并结合新兴的技术和方法,进一步提升酒店客房预订管理系统的效率和功能。同时,还需要加强用户需求的调研和分析,以满足不断变化的用户期望,为酒店行业提供更优质的客房预订服务,推动旅游行业的数字化转型和智能化发展。
1.3 主要研究内容
“腾渊阁”酒店客房预订管理系统的主要研究内容包括以下几个方面。
首先,需要设计和实现一个用户管理模块,以支持用户注册、登录和个人信息管理等功能。其次,需要开发房间管理模块,包括房间分类、房间信息、房间状态等的管理和展示。第三,需要研究和实现预订管理功能,包括预订查询、预订修改、预订取消等操作,确保用户可以方便地进行预订。同时,还需开发入住管理模块,记录客户的入住信息并生成相应的账单和报表。此外,还需要考虑支付接口的集成,以提供在线支付功能。酒店客房预订管理系统的研究内容涵盖用户管理、房间管理、预订管理、入住管理、支付接口集成以及数据分析和预测等方面,旨在设计一个高效、智能的系统,提升酒店客房预订管理的效率和用户体验。
1.4 论文章节安排
本文共分为六章,章节内容安排如下:
第一章为绪论,此章节对所设计和实现的系统的背景与意义进行详细的论述以及说明,同时进行了论文整体框架的结构的简要介绍。
第二章为技术介绍,详细介绍与酒店客房预订管理系统相关的技术。
第三章为系统需求分析,章节所做的主要的工作是对系统进行了技术、经济和操作方面可行性的分析;对系统实行了总体功能的需求、用例分析。
第四章为系统概要设计,主要是对系统的功能结构进行设计,并对系统数据库的概念结构以及物理结构的设计进行了分析。
第五章就是对系统详细设计,根据系统功能的划分,分别的对系统所需要实现的前台用户功能和后台管理员功能进行了分析和说明。
第六章:系统测试。主要对系统的部分界面进行测试并对主要功能进行测试
第七章:总结。
2 相关技术介绍
2.1 SSM框架介绍
SSM框架是一种常用的Java企业级开发框架,将Spring、SpringMVC和MyBatis三个独立的框架整合在一起。Spring提供了IOC容器和AOP功能,管理对象和处理事务;SpringMVC处理Web请求和响应,实现了清晰的分层架构;MyBatis负责持久层操作,提供了灵活的SQL编写和执行。通过整合这三个框架,SSM框架简化了开发过程,提高了开发效率。它具有良好的可扩展性和灵活性,能够适应不同规模和需求的项目。SSM框架还拥有丰富的社区支持和文档资源,方便开发者进行学习和问题解决。总之,SSM框架是一种强大而灵活的Java企业级开发框架,为开发Java Web应用提供了完整的解决方案。
2.2 JAVA语言
Java语言是一种广泛应用于软件开发的高级编程语言。它具有跨平台、面向对象、简洁易读、安全可靠等特点,因此在企业级应用开发、移动应用开发、云计算、大数据处理等领域得到了广泛应用。
Java语言由Sun Microsystems(现在为Oracle公司所拥有)的James Gosling等人于1995年首次发布。它采用了基于类和对象的编程模型,支持继承、封装和多态等面向对象的特性。Java还提供了垃圾回收机制,使得内存管理更加方便,并通过异常处理机制增强了程序的健壮性。
Java语言的优势之一是其跨平台性。Java程序在编译时被转换成字节码,并在Java虚拟机(JVM)上运行。这意味着可以将Java程序编写一次,在不同操作系统和硬件平台上运行,无需重新编译。这为开发者带来了极大的便利,同时也促进了Java的广泛应用。
Java语言还拥有丰富的类库和API(应用程序接口),涵盖了各种功能和领域。这些库和API提供了大量的预定义类和方法,使得开发者能够快速构建复杂的应用程序。例如,Java提供了用于图形用户界面(GUI)、网络通信、数据库访问、多线程处理等方面的库和API。
另外,Java语言具有良好的安全性和可靠性。Java的安全模型通过字节码验证、类加载器和安全管理器等机制,确保程序在执行时不会对系统造成损害。同时,Java的异常处理机制能够捕获和处理程序运行中可能出现的错误,避免了程序的崩溃和数据丢失。
2.3 MVVM模式
MVVM(Model-View-ViewModel)是一种用于构建用户界面的软件架构模式。它将应用程序分为模型、视图和视图模型三个核心组件,通过数据绑定实现了视图与视图模型之间的解耦。模型负责处理数据和业务逻辑,视图负责展示数据给用户,而视图模型则作为中间层连接视图和模型,处理数据转换和命令交互。MVVM模式具有良好的可测试性和可维护性,广泛应用于现代前端开发,特别适用于复杂的用户界面构建。它能够有效管理界面逻辑,提高团队协作和代码可理解性,是构建现代应用程序的重要工具之一。
3 需求分析
3.1技术可行性
Windows操作系统是“腾渊阁”酒店客房预订管理系统的核心,它的性能足以满足普通网站的web服务器需求,而且它采用的技术也是当下最为流行的,它们不仅拥有自身的特点,还能够满足不同的需求。
该系统采用Java编程语言,并且搭载了Mysql数据库,能够支持快速、高效的数据传输,并且能够灵活地调整数据库的参数,满足不同的应用场景,保证了网站的高效率、高质量,最终达到了预期的效果。
(1)硬件可行性分析
系统管理和信息分析的设计并不需要特殊的计算机配置,只需要保证它们能够正常运行,并且能够满足基本的代码编写和页面设计需求。但是,在搭建平台时,需要考虑到服务器的安全性,并且确保网站的访问流畅,避免出现延迟等问题,以达到最佳的性价比;
(2)软件可行性分析
采用云计算技术构建的这一完善的系统,具备良好的可延展度,并且具备智能化的流量管理功能,从而确保数据的实时更新,并且确保系统的稳定、高效地运作。
经过全面的可行性分析,我们可以断定,该系统的开发完全符合预期,没有任何挑战。
3.2经济可行性
在开发“腾渊阁”酒店客房预订管理系统之前,我们通过对市场调研与其他相关管理系统的研究并没有花费任何费用。尽最大努力完成这些工作,并且会尽可能多地得到指导老师和同学的帮助。如果遇到一些棘手的问题,我们会尽最大努力去解决。因此,开发“腾渊阁”酒店客房预订管理系统在经济上是十分可行的,而且不需要投入任何资金。
通过采用Java和Mysql数据库,我们能够实现一个更加成熟的系统,而且这种系统的开发成本低廉,可以满足大多数的需求。
3.3操作可行性:
经过优化的“腾渊阁”酒店客房预订管理系统,其可操作性得益于其出众的用户体验,无论是管理者还是普通用户,只要点击一下就能轻松访问,而不必担心无法正确地查看或处理所有的数据。此外,还提供了一个易懂的界面,让用户更加轻松地访问各个功能模块,从而更好地满足其日常的工作需求。通过采用友好的界面和快捷的输入方式,我们的“腾渊阁”酒店客房预订管理系统无论是初学者还是熟练的操作者,均可轻松实现各项功能,从而大大提高了其可操作性。
3.4系统用例分析
“腾渊阁”酒店客房预订管理系统的完整UML用例图分别是图3-1和图3-2。在参与者上包括客户用户、员工用户以及管理员。员工用户角色用例包括员工用户是注册成为我们正是员工用户登录、首页、酒店公告、酒店资讯、房间信息、我的账户、个人中心、退出,员工用户角色用例如图3-1所示。

图3-1 “腾渊阁”酒店客房预订管理系统员工用户角色用例图
web后台管理上的管理员是维护整个“腾渊阁”酒店客房预订管理系统中所有数据信息的,管理员可以进行登录、系统用户、房间分类管理、房间信息管理、酒店预定管理、取消预约管理、退房信息管理、采购物品管理、入住信息管理、系统管理、酒店公告管理、资源管理。管理员角色用例如图3-2所示。

3.5系统设计规则
通过使用Java和Mysql数据库,我们的“腾渊阁”酒店客房预订管理系统能够提供高度稳定和完善的功能。
“腾渊阁”酒店客房预订管理系统的设计与实现的设计思想如下:
1、操作简单易行,系统界面安全可靠:清晰易懂的页面布局,让您轻松获取有关“腾渊阁”酒店客房预订管理系统的所有信息。
2、通过“即时发布、即时见效”,您可以立即获取有关“腾渊阁”酒店客房预订管理系统的信息,并且可以在任何地方轻松查询。
3、该系统具有完善的功能,包括管理首页、系统用户、房间分类管理、房间信息管理、酒店预定管理、取消预约管理、退房信息管理、采购物品管理、入住信息管理、系统管理、酒店公告管理、资源管理等。此外,还提供了维护和更新模块的功能。
3.6系统流程分析
(1)增加数据流程
系统中的所有用户(管理员、员工用户和客户用户)都可以实现增加数据功能,图3-3显示的就是在增加数据时的流程。

图3-3增加数据流程图
(2)修改数据流程
人无完人,每个人都有出错的时候,在录入系统信息的时候如果信息有错,可以对系统中的数据进行编辑。图3-4显示的就是修改数据的流程。

图3-5修改数据流程图
(3)删除数据流程
在系统中经常会出现一些过期的数据,比如房间信息等,那就可以直接删除这些数据,图3-5就是删除数据时的流程图。

图3-5删除数据流程图
4系统概要设计
4.1 概述
Internet技术为“腾渊阁”酒店客房预订管理系统提供了一种全新的方法,它支持多种形态的网络应用,无论您身处何处,都可以轻松访问和操控该系统。此外,它还提供了一个简单易懂的操作流程,方便您快速、准确的完成任务。

图4-1 系统工作原理图
4.2 业务流程分析
业务流程图不仅能反映出内部业务之间的关系,而且能体现出作业顺序及信息的流动。“腾渊阁”酒店客房预订管理系统必须支持整个组织在不同层次上的各种功能,各个功能模块之间又有各种不同相关的信息进行联系,构成了一个有机的整体,根据诗词日历的特点以及结合所面临的实际情况,设计出了系统的业务流程图。
系统的业务流程如下图所示。

图4-2业务流程图
系统的结构由多个功能模块构成,因此,我们需要把它们按照一定的顺序列出来,并且精心设计每个模块,以确保它们具备完整的功能,从而实现系统的完美结构。
系统功能模块图,如图4-3所示:

图4-3 系统功能模块图
4.3. 数据库设计
4.3.1 数据库实体
下面是整个“腾渊阁”酒店客房预订管理系统中主要的数据库表总E-R实体关系图。

图4-7 “腾渊阁”酒店客房预订管理系统总E-R关系图
4.3.2 数据库设计表
4.4 数据表
通过将E-R图转换为关系数据库,可以更好地理解数据之间的关联性,这种关联性可以通过表的形式来体现,其中每个表都包含了一个独立的字段。
| 编号 | 名称 | 数据类型 | 长度 | 小数位 | 允许空值 | 主键 | 默认值 | 说明 |
| 1 | cancel_reservation_id | int | 10 | 0 | N | Y | 取消预约ID | |
| 2 | employee_users | int | 10 | 0 | Y | N | 0 | 员工用户 |
| 3 | room_number | varchar | 64 | 0 | N | N | 房间房号 | |
| 4 | room_type | varchar | 64 | 0 | Y | N | 房间类型 | |
| 5 | room_price | varchar | 64 | 0 | Y | N | 房间价格 | |
| 6 | room_area | varchar | 64 | 0 | Y | N | 房间面积 | |
| 7 | deposit_fees | varchar | 64 | 0 | Y | N | 押金费用 | |
| 8 | booking_customers | int | 10 | 0 | Y | N | 0 | 预订客户 |
| 9 | customer_name | varchar | 64 | 0 | Y | N | 客户姓名 | |
| 10 | customer_phone_number | varchar | 64 | 0 | Y | N | 客户电话 | |
| 11 | booking_date | date | 10 | 0 | Y | N | 预订日期 | |
| 12 | cancel_date | date | 10 | 0 | Y | N | 取消日期 | |
| 13 | reason_for_cancellation | varchar | 64 | 0 | Y | N | 取消原因 | |
| 14 | examine_state | varchar | 16 | 0 | N | N | 未审核 | 审核状态 |
| 15 | examine_reply | varchar | 16 | 0 | Y | N | 审核回复 | |
| 16 | create_time | datetime | 19 | 0 | N | N | CURRENT_TIMESTAMP | 创建时间 |
| 17 | update_time | timestamp | 19 | 0 | N | N | CURRENT_TIMESTAMP | 更新时间 |
| 编号 | 名称 | 数据类型 | 长度 | 小数位 | 允许空值 | 主键 | 默认值 | 说明 |
| 1 | check_in_information_id | int | 10 | 0 | N | Y | 入住信息ID | |
| 2 | employee_users | int | 10 | 0 | Y | N | 0 | 员工用户 |
| 3 | room_number | varchar | 64 | 0 | N | N | 房间房号 | |
| 4 | room_type | varchar | 64 | 0 | Y | N | 房间类型 | |
| 5 | room_price | varchar | 64 | 0 | Y | N | 房间价格 | |
| 6 | room_area | varchar | 64 | 0 | Y | N | 房间面积 | |
| 7 | deposit_fees | varchar | 64 | 0 | Y | N | 押金费用 | |
| 8 | booking_customers | int | 10 | 0 | Y | N | 0 | 预订客户 |
| 9 | customer_name | varchar | 64 | 0 | Y | N | 客户姓名 | |
| 10 | customer_phone_number | varchar | 64 | 0 | Y | N | 客户电话 | |
| 11 | booking_date | date | 10 | 0 | Y | N | 预订日期 | |
| 12 | check_in_time | datetime | 19 | 0 | Y | N | 入住时间 | |
| 13 | number_of_occupants | varchar | 64 | 0 | Y | N | 入住人数 | |
| 14 | identity_information | text | 65535 | 0 | Y | N | 身份信息 | |
| 15 | check_in_instructions | text | 65535 | 0 | Y | N | 入住说明 | |
| 16 | create_time | datetime | 19 | 0 | N | N | CURRENT_TIMESTAMP | 创建时间 |
| 17 | update_time | timestamp | 19 | 0 | N | N | CURRENT_TIMESTAMP | 更新时间 |
| 编号 | 名称 | 数据类型 | 长度 | 小数位 | 允许空值 | 主键 | 默认值 | 说明 |
| 1 | check_out_information_id | int | 10 | 0 | N | Y | 退房信息ID | |
| 2 | employee_users | int | 10 | 0 | Y | N | 0 | 员工用户 |
| 3 | room_number | varchar | 64 | 0 | Y | N | 房间房号 | |
| 4 | room_type | varchar | 64 | 0 | Y | N | 房间类型 | |
| 5 | room_price | varchar | 64 | 0 | Y | N | 房间价格 | |
| 6 | room_area | varchar | 64 | 0 | Y | N | 房间面积 | |
| 7 | deposit_fees | varchar | 64 | 0 | Y | N | 押金费用 | |
| 8 | booking_customers | int | 10 | 0 | Y | N | 0 | 预订客户 |
| 9 | customer_name | varchar | 64 | 0 | Y | N | 客户姓名 | |
| 10 | customer_phone_number | varchar | 64 | 0 | Y | N | 客户电话 | |
| 11 | check_in_time | datetime | 19 | 0 | Y | N | 入住时间 | |
| 12 | check_out | datetime | 19 | 0 | Y | N | 退房时间 | |
| 13 | stay_days | varchar | 64 | 0 | Y | N | 入住天数 | |
| 14 | accommodation_fees | varchar | 64 | 0 | Y | N | 入住费用 | |
| 15 | cost_details | text | 65535 | 0 | Y | N | 费用明细 | |
| 16 | pay_state | varchar | 16 | 0 | N | N | 未支付 | 支付状态 |
| 17 | pay_type | varchar | 16 | 0 | Y | N | 支付类型: 微信、支付宝、网银 | |
| 18 | create_time | datetime | 19 | 0 | N | N | CURRENT_TIMESTAMP | 创建时间 |
| 19 | update_time | timestamp | 19 | 0 | N | N | CURRENT_TIMESTAMP | 更新时间 |
| 编号 | 名称 | 数据类型 | 长度 | 小数位 | 允许空值 | 主键 | 默认值 | 说明 |
| 1 | collect_id | int | 10 | 0 | N | Y | 收藏ID: | |
| 2 | user_id | int | 10 | 0 | N | N | 0 | 收藏人ID: |
| 3 | source_table | varchar | 255 | 0 | Y | N | 来源表: | |
| 4 | source_field | varchar | 255 | 0 | Y | N | 来源字段: | |
| 5 | source_id | int | 10 | 0 | N | N | 0 | 来源ID: |
| 6 | title | varchar | 255 | 0 | Y | N | 标题: | |
| 7 | img | varchar | 255 | 0 | Y | N | 封面: | |
| 8 | create_time | timestamp | 19 | 0 | N | N | CURRENT_TIMESTAMP | 创建时间: |
| 9 | update_time | timestamp | 19 | 0 | N | N | CURRENT_TIMESTAMP | 更新时间: |
| 编号 | 名称 | 数据类型 | 长度 | 小数位 | 允许空值 | 主键 | 默认值 | 说明 |
| 1 | comment_id | int | 10 | 0 | N | Y | 评论ID: | |
| 2 | user_id | int | 10 | 0 | N | N | 0 | 评论人ID: |
| 3 | reply_to_id | int | 10 | 0 | N | N | 0 | 回复评论ID:空为0 |
| 4 | content | longtext | 2147483647 | 0 | Y | N | 内容: | |
| 5 | nickname | varchar | 255 | 0 | Y | N | 昵称: | |
| 6 | avatar | varchar | 255 | 0 | Y | N | 头像地址:[0,255] | |
| 7 | create_time | timestamp | 19 | 0 | N | N | CURRENT_TIMESTAMP | 创建时间: |
| 8 | update_time | timestamp | 19 | 0 | N | N | CURRENT_TIMESTAMP | 更新时间: |
| 9 | source_table | varchar | 255 | 0 | Y | N | 来源表: | |
| 10 | source_field | varchar | 255 | 0 | Y | N | 来源字段: | |
| 11 | source_id | int | 10 | 0 | N | N | 0 | 来源ID: |
| 编号 | 名称 | 数据类型 | 长度 | 小数位 | 允许空值 | 主键 | 默认值 | 说明 |
| 1 | customer_users_id | int | 10 | 0 | N | Y | 客户用户ID | |
| 2 | customer_name | varchar | 64 | 0 | Y | N | 客户姓名 | |
| 3 | customer_gender | varchar | 64 | 0 | Y | N | 客户性别 | |
| 4 | examine_state | varchar | 16 | 0 | N | N | 已通过 | 审核状态 |
| 5 | user_id | int | 10 | 0 | N | N | 0 | 用户ID |
| 6 | create_time | datetime | 19 | 0 | N | N | CURRENT_TIMESTAMP | 创建时间 |
| 7 | update_time | timestamp | 19 | 0 | N | N | CURRENT_TIMESTAMP | 更新时间 |
| 编号 | 名称 | 数据类型 | 长度 | 小数位 | 允许空值 | 主键 | 默认值 | 说明 |
| 1 | employee_users_id | int | 10 | 0 | N | Y | 员工用户ID | |
| 2 | employee_no | varchar | 64 | 0 | N | N | 员工工号 | |
| 3 | employee_name | varchar | 64 | 0 | Y | N | 员工姓名 | |
| 4 | examine_state | varchar | 16 | 0 | N | N | 已通过 | 审核状态 |
| 5 | user_id | int | 10 | 0 | N | N | 0 | 用户ID |
| 6 | create_time | datetime | 19 | 0 | N | N | CURRENT_TIMESTAMP | 创建时间 |
| 7 | update_time | timestamp | 19 | 0 | N | N | CURRENT_TIMESTAMP | 更新时间 |
| 编号 | 名称 | 数据类型 | 长度 | 小数位 | 允许空值 | 主键 | 默认值 | 说明 |
| 1 | hotel_reservation_id | int | 10 | 0 | N | Y | 酒店预订ID | |
| 2 | employee_users | int | 10 | 0 | Y | N | 0 | 员工用户 |
| 3 | room_number | varchar | 64 | 0 | N | N | 房间房号 | |
| 4 | room_type | varchar | 64 | 0 | Y | N | 房间类型 | |
| 5 | room_price | varchar | 64 | 0 | Y | N | 房间价格 | |
| 6 | room_area | varchar | 64 | 0 | Y | N | 房间面积 | |
| 7 | deposit_fees | varchar | 64 | 0 | Y | N | 押金费用 | |
| 8 | booking_customers | int | 10 | 0 | Y | N | 0 | 预订客户 |
| 9 | customer_name | varchar | 64 | 0 | Y | N | 客户姓名 | |
| 10 | customer_phone_number | varchar | 16 | 0 | Y | N | 客户电话 | |
| 11 | booking_date | date | 10 | 0 | Y | N | 预订日期 | |
| 12 | booking_instructions | text | 65535 | 0 | Y | N | 预订说明 | |
| 13 | create_time | datetime | 19 | 0 | N | N | CURRENT_TIMESTAMP | 创建时间 |
| 14 | update_time | timestamp | 19 | 0 | N | N | CURRENT_TIMESTAMP | 更新时间 |
| 编号 | 名称 | 数据类型 | 长度 | 小数位 | 允许空值 | 主键 | 默认值 | 说明 |
| 1 | notice_id | mediumint | 8 | 0 | N | Y | 公告id: | |
| 2 | title | varchar | 125 | 0 | N | N | 标题: | |
| 3 | content | longtext | 2147483647 | 0 | Y | N | 正文: | |
| 4 | create_time | timestamp | 19 | 0 | N | N | CURRENT_TIMESTAMP | 创建时间: |
| 5 | update_time | timestamp | 19 | 0 | N | N | CURRENT_TIMESTAMP | 更新时间: |
| 编号 | 名称 | 数据类型 | 长度 | 小数位 | 允许空值 | 主键 | 默认值 | 说明 |
| 1 | procurement_items_id | int | 10 | 0 | N | Y | 采购物品ID | |
| 2 | item_name | varchar | 64 | 0 | Y | N | 物品名称 | |
| 3 | item_category | varchar | 64 | 0 | Y | N | 物品类别 | |
| 4 | item_specifications | varchar | 64 | 0 | Y | N | 物品规格 | |
| 5 | purchase_unit_price | varchar | 64 | 0 | Y | N | 采购单价 | |
| 6 | purchase_quantity | int | 10 | 0 | Y | N | 0 | 采购数量 |
| 7 | purchase_date | date | 10 | 0 | Y | N | 采购日期 | |
| 8 | procurement_description | text | 65535 | 0 | Y | N | 采购说明 | |
| 9 | create_time | datetime | 19 | 0 | N | N | CURRENT_TIMESTAMP | 创建时间 |
| 10 | update_time | timestamp | 19 | 0 | N | N | CURRENT_TIMESTAMP | 更新时间 |
表reason_for_cancellation (取消原因)
| 编号 | 名称 | 数据类型 | 长度 | 小数位 | 允许空值 | 主键 | 默认值 | 说明 |
| 1 | reason_for_cancellation_id | int | 10 | 0 | N | Y | 取消原因ID | |
| 2 | reason_for_cancellation | varchar | 64 | 0 | Y | N | 取消原因 | |
| 3 | create_time | datetime | 19 | 0 | N | N | CURRENT_TIMESTAMP | 创建时间 |
| 4 | update_time | timestamp | 19 | 0 | N | N | CURRENT_TIMESTAMP | 更新时间 |
| 编号 | 名称 | 数据类型 | 长度 | 小数位 | 允许空值 | 主键 | 默认值 | 说明 |
| 1 | room_classification_id | int | 10 | 0 | N | Y | 房间分类ID | |
| 2 | room_type | varchar | 64 | 0 | Y | N | 房间类型 | |
| 3 | create_time | datetime | 19 | 0 | N | N | CURRENT_TIMESTAMP | 创建时间 |
| 4 | update_time | timestamp | 19 | 0 | N | N | CURRENT_TIMESTAMP | 更新时间 |
| 编号 | 名称 | 数据类型 | 长度 | 小数位 | 允许空值 | 主键 | 默认值 | 说明 |
| 1 | room_information_id | int | 10 | 0 | N | Y | 房间信息ID | |
| 2 | employee_users | int | 10 | 0 | Y | N | 0 | 员工用户 |
| 3 | room_number | varchar | 64 | 0 | N | N | 房间房号 | |
| 4 | room_type | varchar | 64 | 0 | Y | N | 房间类型 | |
| 5 | room_price | varchar | 64 | 0 | Y | N | 房间价格 | |
| 6 | room_area | varchar | 64 | 0 | Y | N | 房间面积 | |
| 7 | room_pictures | varchar | 255 | 0 | Y | N | 房间图片 | |
| 8 | room_floor | varchar | 64 | 0 | Y | N | 房间楼层 | |
| 9 | deposit_fees | varchar | 64 | 0 | Y | N | 押金费用 | |
| 10 | is_there_a_window | varchar | 64 | 0 | Y | N | 是否有窗 | |
| 11 | accommodation_capacity | int | 10 | 0 | Y | N | 0 | 可住人数 |
| 12 | room_facilities | text | 65535 | 0 | Y | N | 房间设施 | |
| 13 | room_introduction | text | 65535 | 0 | Y | N | 房间简介 | |
| 14 | hits | int | 10 | 0 | N | N | 0 | 点击数 |
| 15 | praise_len | int | 10 | 0 | N | N | 0 | 点赞数 |
| 16 | create_time | datetime | 19 | 0 | N | N | CURRENT_TIMESTAMP | 创建时间 |
| 17 | update_time | timestamp | 19 | 0 | N | N | CURRENT_TIMESTAMP | 更新时间 |
| 编号 | 名称 | 数据类型 | 长度 | 小数位 | 允许空值 | 主键 | 默认值 | 说明 |
| 1 | sensitive_vocabulary_id | int | 10 | 0 | N | Y | 敏感词汇ID | |
| 2 | sensitive_vocabulary | varchar | 64 | 0 | Y | N | 敏感词汇 | |
| 3 | create_time | datetime | 19 | 0 | N | N | CURRENT_TIMESTAMP | 创建时间 |
| 4 | update_time | timestamp | 19 | 0 | N | N | CURRENT_TIMESTAMP | 更新时间 |
5 系统详细设计
5.1管理员功能模块
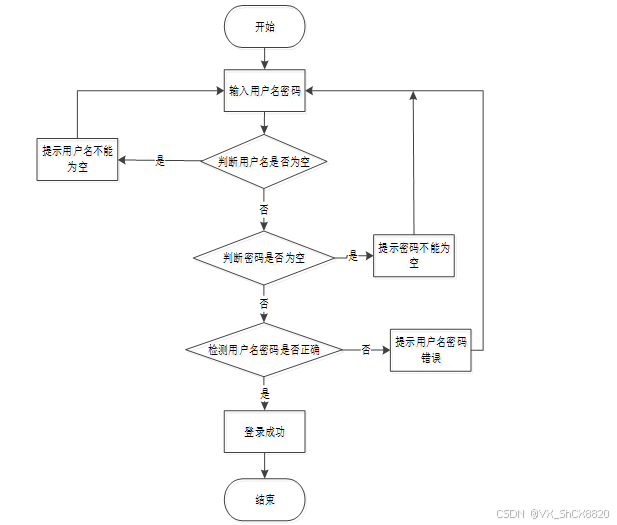
用户登录的验证将不再局限于登录信息和权限的匹配验证,而是另外增加了一个验证码,只有界面上所有的编辑框数据都准确的情况下才能实现登录成功。管理员的登录和前台用户登录是一样的过程,其主要就是利用权限字段来完成对用户或管理员的角色识别。
用户登录流程图如下所示。

图5-1 用户登录流程
系统登录界面如下图所示。

图5-2管理员登录界面图
登录的逻辑代码如下所示:

管理员登录密码有修改需求时,系统也可以提供修改密码权限。系统中所有的操作者能够变更自己的密码信息,执行该功能首先必须要登入系统,然后选择密码变更选项以后在给定的文本框中填写初始密码和新密码来完成修改密码的操作。在填写的时候,假如两次密码填写存在差异,那么此次密码变更操作失败,下面的图片展示的就是该板块对应的工作面。
密码修改流程图如下所示。

图5-3 密码修改流程图
密码修改界面如图所示。

图5-4密码修改界面图
注册用户信息,用户通过注册了方可获得其对“腾渊阁”酒店客房预订管理系统的登录使用权限,此时选择注册用户选项,系统就会自动转到用户注册工作面,在注册该部分信息时系统会自动调用add函数,然后在给定的文本框中填写有关该用户的基础信息后选择确认即可完成注册。检索用户信息,在新增用户信息以后,在检索工具栏中填写对应的用户信息,系统就会将该用户有关的所有信息展示出来。
用户管理界面如下图所示。

图5-5用户管理界面图
用户管理关键代码如下:

在主页左侧菜单栏中点击“房间管理”按钮,再从二级目录中点击“新增房间”按钮,进入到新增房间界面。在此处房间可以添加房间的员工用户、房间房号、房间类型、房间面积、房间图片、房间楼层。
在主页左侧菜单栏中点击“房间管理”按钮,再从二级目录中点击“查询房间”按钮,进入到查询房间界面。在此处房间可以查询当前所有房间记录。
导师信息管理的流程如所示。

图5-6 房间信息管理流程
房间信息管理界面如所示。

图5-7房间信息管理界面图
房间信息管理关键代码如下:

酒店预定管理包括删除酒店预定、修改酒店预定、查询酒店预定等,以酒店预定查询为例,在视图层请求酒店预定信息查询,反馈后,调用业务逻辑层,通过业务逻辑层的接口调用底层的数据逻辑层完成数据库联动操作。
酒店预定管理流程如下图所示。

图5-8 酒店预定管理流程
酒店预定管理界面如所示。

图5-9酒店预定管理界面图
酒店预定管理关键代码如下:

在主页左侧菜单栏中点击“采购物品管理”按钮,再从二级目录中点击“新增采购物品”按钮,进入到新增采购物品界面。在此处采购物品可以添加采购物品的物品名称、物品类别、物品规格、采购数量、采购日期、采购说明。
在主页左侧菜单栏中点击“采购物品管理”按钮,再从二级目录中点击“查询采购物品”按钮,进入到查询采购物品界面。在此处采购物品可以查询当前所有采购物品记录。
采购物品管理流程如下图所示。

图5-10 采购物品管理流程
采购物品管理界面如所示。

图5-10采购物品管理界面图
5.2用户功能模块
注册的本质是后台拿到前台的数据,使用的方法是request.getParameter方法,然后拿到的数据再封装到会员实体类中,保存到数据库中。值得注意的是,注册的时候是需要输入合法的字符的,不合法那么则会进行红色报错,这个功能的实现是通过validate框架实现的,本质是封装好了的正则表达式。
注册流程图如下所示。

图5-11注册流程图
员工用户注册界面如下图所示。

图5-12注册界面图
注册关键代码如下:

首页主要分别展示各个模块的最新动态,浏览者可以很清楚地看到不同模块的最新更新内容。并且系统首页每个部分可以跳转到相对应的模块,方便浏览者选择感兴趣的地方。
首页载入流程图如下所示。

图5-13 首页载入流程
首页如下图所示。

图5-14首页界面图
用户点击房间之后,会展示房间详情信息,房间详情信息中有一个操作列表,包括有收藏,评论与预订,点击预订这个按钮会跳转到相对应的酒店预订页面,房间的预订需要填写入住的时间,入住人的姓名等信息
酒店预定流程如下图所示。

图5-15 酒店预定流程
酒店预定界面如图所示。

图5-16酒店预定界面图
酒店预定查询界面如下图所示。

图5-17酒店预定查询界面图
6 系统测试
6.1系统测试目的
虽然程序设计本身就具备一定的风险,因此,即便出现一点点的失败,也很少 影响到整个的运行。然而,即便出现一点点的失败,也很少影响到整个的运行,因此,我们必须对程序进行严格的检查,及早发现和解决失败,从而确保整个系统的运行良好,从而确保其运行的持久性和稳定性。通过本章的讨论,我们可以更好地识别出存在的问题,从而有效地解决它们,尽管需要花费大量的精力,但却至关重要且不可或缺。
软件测试和开发过程有着密切的联系,它们都需要遵循严格的管理学原则,以确保软件的可靠性和可用性。然而,随着技术的发展,国内的软件测试已经取得了长足的进步,其流程更加完善,效率也更加提升。
为了验证“腾渊阁”酒店客房预订管理系统的有效性,我们需要对其各个功能模块的运行情况和性能进行严格的检查和验证。一旦检查结果出现问题,我们将立即采取措施,并尽快纠正,从而为用户提供更加优质的服务。
6.2系统测试概述
系统测试有两种,一种是黑盒测试,另一种是白盒测试。一般来说,黑盒测试就是功能测试,也叫需求测试。在黑盒测试的过程中,我们并不知道它的开发原理,而只是作为一个用户对系统进行测试。我们主要依靠以前的测试经验来取一些临界值,然后通过测试用例进行测试,这是发现问题最快的方式。其次,利用测试用例找出一些具有代表性的数据对系统进行测试。黑盒测试过程中常用的测试工具有WinRunner和Autorunner;白盒测试称为结果测试,即逻辑驱动测试。在白盒测试的过程中,我们主要是按照系统开发的原则进行测试,主要是作为开发人员测试代码是否完成了其特定的功能,以及具体的路径是否正确。当然,这种测试方法费时费力,因为每个函数都有不止一条运行路径,通过测试程序中运行的路径,我们可以检测到开发的代码是否有错误,是否达到了预期。在白盒测试过程中,常用的测试工具有JContact、C++Test和CodeWizard。
6.3测试结果
在测试每个功能的过程中,我们应该严格按照指定的测试计划逐步进行测试,不能急于实现,并且每个测试的结果都应该充分记录下来,最好的选择是自动化测试,这样可以更准确、更快地完成,而不是依赖手动测试,因为这样可以避免问题,它还可以防止疲劳和问题。进行测试时,必须保持高度专注,密切关注测试结果,并及时纠正任何异常情况;最后,在测试完成后,应该正确保存文档以备将来使用。经过测试可以发现,原来开发的系统是清晰的,只有对其进行细化,编程的过程才会变得更加顺利。只有有了良好的结构,后期的编程工作才能顺利完成,同时也可以大大降低时间和精力成本。
在本次系统设计中,我们将详细探讨名为“腾渊阁”酒店客房预订管理系统的开发过程。首先介绍了研究背景和意义,以及主要研究内容。随后,我们会进行需求分析,包括功能需求和用例图,以展示系统的功能流程和模块处理过程。然后,我们将绘制总体结构和流程图,并根据详细设计需求来设计数据库表结构,并绘制E-R图。接下来,我们将实现程序接口,并进行调试。最后,我们对整个设计过程进行总结,并提出未来的发展方向。
通过这次设计,我不断探索和学习,掌握了Java技术和框架,并成功创建了“腾渊阁”酒店客房预订管理系统。这个过程让我更深入地理解了编写系统所需的知识和运行环境。我投入了大量时间和精力来完成这个项目,丰富了自己的知识储备,积累了宝贵的经验。
起初,我对SSM框架只有一些基础了解,但通过这次基于SSM框架的系统设计,我更深入地了解了SSM框架的原理和配置方法,包括服务器环境和数据库连接。同时,我还学会了使用Dreamweaver建立简单的页面,提高了我的实际操作能力,并激发了对该领域的浓厚兴趣。
这个系统的开发过程提升了我的能力,让我更加熟悉框架的基本功能。在编码方面,我进行了多次尝试,从关注代码错误到进行一些小的修改,取得了显著的进步。在论文撰写过程中,我查阅了大量的参考资料,总结和分析了论文的结构和文献资料。
尽管在实现过程中可能还存在一些不完善的功能,但我将继续学习,努力吸取教训,并总结不完美之处,为以后的软件开发和编码工作做好准备。以上是我在本次设计中的总结,希望未来能取得更好的成果。
致 谢
在本文即将结束之际,我想要衷心感谢我的导师和团结友爱的同学们给予的帮助和鼓励。他们对我来说是如此亲切可亲,我找不到足够的词语来表达我内心最深刻的感激之情。特别感谢我的导师,在选题过程中与我进行了深入交流,并在毕业设计期间提供了宝贵的指导。四年的大学生活让我受益匪浅,老师们丰富的学术知识和认真负责的学习态度使我受益良多。在此,我要由衷地感谢那些曾经给予我帮助和指导的老师们!
我们的论文得益于许多学者的研究成果,他们的贡献为我们提供了宝贵的指导,使我们能够更好地完成这篇文章。感谢我的同学和朋友们在写作和排版过程中给予的热情帮助,使我能够相对顺利地完成这篇论文。
感谢在大学里遇见的朋友们,你们在我过去的四年中给予了无数温暖和快乐,为我留下了美好的校园回忆。最后,感谢我的父母、辅导员、班长以及室友们对我在大学生活中的关心和理解,让我能够保持乐观并追求自己所热爱的事物。尽管我有限的能力,但我仍然尽力去完善这篇论文,并真诚地希望各位老师和同学们能够给予宝贵的指导和意见!
参考文献
[1]袁爱平,陈畅,孙士兵等. 基于SSM框架的高校学生信息管理系统设计与实现 [J]. 工业控制计算机, 2023, 36 (12): 127-129.
[2]苏婉怡,揣小龙,刘美瑜等. 基于Java技术的实验室管理系统设计与实现 [J]. 无线互联科技, 2023, 20 (23): 58-60.
[3]刘方磊. 基于SSM框架的旅游大数据分析系统设计与实现 [J]. 中国新技术新产品, 2023, (21): 22-25.
[4]李新艺,张峰,王飞等. 一种基于SSM框架的税务风险管理方法和装置[P]. 山东省: CN116881468A, 2023-10-13.
[5]Nikahat M ,Prachi G . Leveraging well-formedness and cognitive level classifiers for automatic question generation on Java technical passages using T5 transformer [J]. International Journal of Information Technology, 2023, 15 (4): 1961-1973.
[6]李亚君. 基于SSM框架的B2C电子商城系统的设计与实现[D]. 合肥工业大学, 2022.
[7]王瑞凤,覃朝菊. 一种酒店预订管理系统和方法[P]. 海南省: CN114239895A, 2022-03-25.
[8]Xinbin H ,Yongbin B ,Lisen Y , et al. Design and Implementation of Information System Based on Java Technology Platform [J]. Journal of Physics: Conference Series, 2021, 2033 (1):
[9]王长富. 基于深度学习个性化房型推荐的酒店预订系统[D]. 华中科技大学, 2019.
[10]孟敏,史志英. 基于ASP.NET网上酒店预订系统的设计与实现 [J]. 河北软件职业技术学院学报, 2019, 21 (03): 13-17.
[11]李彦鹏,邓爱珍,何希纯等. 基于.NET的酒店预订管理系统的设计与实现 [J]. 电脑与电信, 2019, (07): 39-42.
[12]刘凤智,穆宝良. 基于B/S的中小型酒店预订房间系统的设计与实现 [J]. 计算机产品与流通, 2019, (09): 249.
[13]林成. 贺州酒店预订信息管理系统的设计与实现[D]. 电子科技大学, 2019.
[14]周奕丽. 基于SQL Server和Delphi的客房预订系统设计 [J]. 硅谷, 2019, 6 (16): 32-33.
免费领取项目源码,请关注❥点赞收藏并私信博主,谢谢~
1007

被折叠的 条评论
为什么被折叠?



