摘 要
本研究旨在设计并实现一个基于Spring Boot框架的沧州市园博园商业文旅管理系统,以提升园区运营效率和服务质量。通过集成用户管理、商品信息管理、活动信息、景点信息等多个功能模块,该系统实现了对园博园全方位的数字化管理。
该平台采用Java技术栈进行后端开发,并基于Spring Boot框架构建,确保系统的高可用性和可扩展性,能够支持复杂的业务逻辑处理和大规模数据操作。前端使用HTML框架,注重用户体验的设计原则,提供响应式布局,确保在不同设备上均能获得流畅的访问体验。数据库方面选用MySQL,以保障高效的数据存储和检索性能。
通过对沧州市园博园商业文旅管理系统的设计与实现,不仅能够显著提升用户的购物体验,还能帮助商家更精准地触达目标客户群体,提高销售转化率,也能带动园区商业旅游文化。研究表明,这样一个集成了最新技术和最佳实践的平台具有重要的实际应用价值和技术可行性,有望成为未来电子商务文旅发展的重要推动力量。最终,本文提出的系统设计方案展示了其实现的可行性及其对促进电子文旅商务创新发展的潜在贡献。
关键词:沧州市园博园商业文旅管理系统的设计与实现;MySQL;Java语言;Spring Boot框架。
Abstract
The purpose of this study is to design and implement a commercial cultural tourism management system based on the Spring Boot framework in Cangzhou Garden Expo Park, so as to improve the operational efficiency and service quality of the park. Through the integration of multiple functional modules such as user management, commodity information management, activity information, and attraction information, the system realizes the all-round digital management of the Garden Expo Park.
The platform uses the Java technology stack for back-end development and is built on the Spring Boot framework to ensure high availability and scalability of the system, and can support complex business logic processing and large-scale data operations. The front-end uses HTML frameworks, focuses on the design principles of user experience, and provides responsive layouts to ensure a smooth access experience on different devices. MySQL is used for the database to ensure efficient data storage and retrieval performance.
Through the design and implementation of the commercial cultural tourism management system of Cangzhou Garden Expo Park, it can not only significantly improve the shopping experience of users, but also help merchants reach the target customer groups more accurately, improve the sales conversion rate, and also drive the commercial tourism culture of the park. The research shows that such a platform that integrates the latest technologies and best practices has important practical application value and technical feasibility, and is expected to become an important driving force for the development of e-commerce and cultural tourism in the future. Finally, the system design scheme proposed in this paper demonstrates the feasibility of its implementation and its potential contribution to promoting the innovation and development of e-cultural tourism business.
Keywords:Design and implementation of commercial cultural tourism management system of Cangzhou Garden Expo Park; MySQL; Java language; Spring Boot framework.
目 录
随着经济的持续增长和人们生活水平的不断提高,文化旅游业作为推动地方经济增长的重要力量逐渐崭露头角。沧州市园博园作为一个集自然美景、园林艺术与多种商业元素于一体的文化旅游综合体,其运营管理面临着诸多挑战。传统的管理模式由于依赖人工操作和纸质记录,效率低下且信息不透明,难以满足现代游客对于便捷性和个性化服务的需求,同时也限制了园区内商家的发展潜力和管理者的决策能力。特别是在高峰时段,售票窗口可能面临长时间排队的情况;在举办大型活动时,难以实时监控人流密度,可能导致安全隐患;对于商家而言,缺乏有效的沟通渠道和数据分析工具,影响了业务发展。因此,寻找一种高效、智能的解决方案来优化园博园的运营管理和提升游客体验显得尤为重要。
研究和实现这样一个系统具有重要的现实意义。首先,它能够显著提升游客的游览体验,减少等待时间,增加互动性和满意度。例如,游客可以通过移动应用轻松购票、查看活动安排以及获取个性化的推荐服务,这不仅提高了便利性,也增强了游客对园区的好感度。其次,对于园区内的商家来说,系统提供了更高效的沟通渠道和数据分析支持,有助于他们更好地了解顾客需求,优化产品和服务,从而促进业务增长。最后,对于园区管理者而言,基于Spring Boot的商业文旅管理系统提供了一个全面的数据平台,使得管理者能够实时监控园区运行状况,做出更加精准的决策,提高运营效率和经济效益。
在国内,随着智慧城市建设的推进和文化旅游业的蓬勃发展,越来越多的研究致力于探索如何利用信息技术提升旅游景区和园区的管理水平与服务质量。特别是在大型主题公园、自然风景区以及城市园林等场所,已经有一些成功的案例展示了信息化管理系统的应用价值。国内部分景区正在尝试利用大数据技术来分析游客的行为模式和偏好,从而提供更加个性化的服务。比如,基于游客的历史访问记录和消费习惯,推送定制化的旅游线路或活动建议,增强互动性和参与感。针对景区内的商家管理、活动策划执行等方面,也有不少研究提出了一体化的解决方案。这些系统通常集成了财务管理、客户关系管理(CRM)以及供应链管理等多个模块,旨在提高运营效率和服务质量。然而,尽管取得了一些进展,但国内在数据标准化、跨平台信息共享以及隐私保护等方面仍面临挑战。此外,由于各地经济发展水平和技术基础存在差异,信息化管理系统的普及程度也不均衡。
国外研究现状
国外在旅游景区和园区的信息化管理方面起步较早,并且积累了丰富的经验。特别是在欧美国家,智慧旅游的概念已经深入人心,相关技术和应用也相对成熟。一些发达国家的景区广泛应用了智能导览设备和AR技术,为游客提供了沉浸式的游览体验。例如,在博物馆或历史遗址中,游客可以通过智能手机或平板电脑获取详细的讲解信息,甚至可以看到虚拟重建的历史场景,极大地丰富了游览内容。国外的研究特别重视利用数据分析来进行精准营销和顾客满意度调查。通过收集社交媒体上的用户评价、在线问卷调查等方式,景区管理者能够及时了解游客的需求变化,并据此调整服务策略。同时,一些先进的CRM系统还支持自动化的客户关怀功能,如生日祝福、优惠券发放等,增强了客户的忠诚度。国外在推动旅游业可持续发展方面的研究较为深入,尤其是在节能减排、生态保护等方面提出了很多创新性的解决方案。例如,通过智能化能源管理系统监控景区内的能耗情况,优化资源配置;推广绿色出行方式,鼓励使用电动观光车等环保交通工具。
通过对国内外研究现状的综述可以看出,虽然存在差异,但双方都在积极探索如何通过技术创新改善旅游景区的管理水平和服务质量,这无疑为构建更加智能高效的园博园商业文旅管理体系指明了方向。特别是基于Spring Boot框架的系统设计,不仅能够满足当前的实际需求,也为未来的扩展和发展预留了空间。。
本文的结构按逻辑顺序分为以下几个章节:
第1章绪论,本章节介绍研究背景和意义,当前研究现状,并阐明主要组织结构。
第2章系统关键技术,本章节将对沧州市园博园商业文旅管理系统关键技术进行简要介绍。
第3章系统分析,本章节基于市场调研,分析沧州市园博园商业文旅管理系统的的可行性、功能、角色、性能等需求,明确各模块的业务需求。
第4章系统设计,本章节详细阐述系统的整体架构设计,包括前后端结构、数据库设计及功能模块的设计思路。
第5章系统实现,本章节介绍系统各主要模块的具体实现,包括代码示例、业务逻辑及界面设计等。
第6章系统测试,本章节描述系统的测试方法及结果,分析系统的性能、稳定性及用户反馈。
第7章结论,本章节对主要对研究成果进行总结。
Java是一种广泛使用的高级编程语言,具有平台独立性、面向对象和可扩展性等特点。它的“编写一次,到处运行”特性使得开发者能够在不同的操作系统上运行相同的代码。Java广泛应用于企业级应用程序的开发,拥有丰富的标准库和强大的社区支持[2]。
Android 是一种基于 Linux 内核的开源操作系统[3],广泛应用于移动设备领域,如智能手机和平板电脑。其架构由多个层次组成,包括底层的 Linux 内核、中间的运行时库以及上层的应用程序框架和应用程序。Linux 内核层为 Android 系统提供硬件驱动、内存管理、进程调度等基础功能,确保设备的稳定运行。运行时库包含 Android 运行时(ART)和一系列 C/C++ 库,为应用程序的运行提供必要的支持。ART 是 Android 的运行时环境,负责应用程序的编译和执行,支持即时编译(JIT)和提前编译(AOT),以提升应用程序的性能和效率[4]。此外,Android 提供了丰富的 C/C++ 库,如 Bionic 标准库、SQLite 数据库库、OpenGL ES 图形库等,用于实现应用程序的各种功能需求。应用程序框架层定义了应用程序开发的 API 接口,包括活动管理(Activity)、服务管理(Service)、广播接收器(Broadcast Receiver)和内容提供者(Content Provider)等组件。这些组件通过 Android 的消息传递机制和生命周期管理,实现应用程序的交互、后台任务处理、数据共享等功能。开发者可以基于此框架,使用 Java 或 Kotlin 编程语言开发应用程序,并通过 Android Studio 等集成开发环境进行代码编写、调试和打包。
Spring Boot框架是指Spring、Spring MVC和MyBatis三大框架的组合,常用于JAVA的企业级应用开发[5]。
Spring:提供了全面的企业应用程序开发基础,支持依赖注入(DI)和面向切面编程(AOP),使得代码更加模块化和易于测试。
Spring MVC:是一个基于模型-视图-控制器(MVC)模式的WEB框架,允许开发者构建可维护的WEB应用程序,通过分离业务逻辑和视图,提升了应用的可扩展性[6]。
MyBatis:是一个持久层框架,简化了数据库操作,支持自定义SQL、存储过程和高级映射,使得数据库交互更加灵活和高效。
HTML(超文本标记语言)是构建WEB页面的标准标记语言。它用于定义网页的结构和内容,通过标签(tag)来描述文本、图像、链接等元素。结合CSS和JavaScript,HTML可以实现丰富的用户界面和交互效果,是WEB前端开发的基础。
MySQL数据库已经成为网络上的一种强大的工具[7],它能够支持多个用户,并且能够根据客户端和服务端的需求进行调整,从而满足不同的需求。在这里,服务端和客户端只是一种软件上的概念,而我们所使用的计算机硬件则没有必要完全相互匹配。
MySQL作为一种备受推崇的关联性DBMS,其卓越的性能和易于操作的特性,以及其在多种操作环境中的灵活性,让其成为了最受青睐的应用之选。此外,MySQL还具有良好的跨平台性,让软件开发人员更加满意。与传统的关联式数据库系统形式大相径庭,MySQL拥有一套完善的数据库管理策略,以确保用户的安全、稳健、安全。MySQL具备良好的容错、安全、快速、稳健的特点,使得mysql成为一款相当流行的数据库管理工具。
- 需求分析
通过综合考虑经济、操作、技术等因素,可以对沧州市园博园商业文旅管理系统的的可行性进行全面评估。这将有助于确定项目的成功概率,并为项目规划提供坚实的基础。
经济可行性在此仅代表平台的运维成本,开发成本不在此考虑。
目前该模式下的相关系统的数量日益增多,信息管理系统的平民化、普及化使用户人数呈上升趋势,当用户人数庞大了,运维成本可以由广告费进行填补,包括开发成本。
所以经济可行性没有问题。
此次项目设计参考了几个该模式下系统的开发案例,对他们的操作界面分析,将众多案例结合在一起,突出以人为本简化操作,所以具有基本计算机知识的人都会操作本项目。因此操作可行性也没有问题。
在技术可行性方面,系统采用MySQL数据库作为数据存储介质,并利用HTML、IDEA等开发工具进行系统的搭建和部署。同时,使用Spring Boot框架进行开发,该框架具有良好的可扩展性和维护性,能够简化开发过程并提高系统的性能和稳定性。这些技术选择是成熟且广泛应用的,能够满足项目的需求[8]。
本系统旨在满足旅游用户、商家用户和管理员在沧州市园博园商业文旅管理系统设计需求,通过功能模块化设计实现高效、安全的交易体验,确保平台运营的规范性和便捷性。具体功能描述如下:
(1)旅游用户功能模块:
注册登录:旅游用户需要浏览旅游信息需要注册账号密码,包括设置账号、密码、昵称、邮箱等信息,注册完成后通过后台管理员审核通过后方可进行登录。
首页:展示热门旅游信息、商品信息及景点信息信息,帮助用户快速了解平台动态。支持搜索和筛选功能,提升用户体验。
旅游公告:查看平台发布的公告内容,及时获取重要信息。
旅游资讯:浏览行业动态、 旅游资讯等内容,丰富用户知识。支持资讯分类,可以进行点赞收藏等。
商品信息:浏览商品列表并查看详情,可在首页商城浏览,协同过滤算法导购喜欢的商品,点击可进行购买、点赞、收藏和评论操作。
商城管理:用户可以在商城管理查看我的购物车、我的订单及添加我的地址、我的优惠券等操作。
景点信息:用户可以查看景点信息详情,可以进行点赞收藏,也可以进行预约操作,包括预约时间段、预约日期、购买数量等详情。
活动信息:用户可以查看活动信息详情,可以根据分类及状态查询信息,可以进行点赞收藏,也可以进行活动报名,填写用户姓名、手机号、报名人数等信息,可以对活动进行评分。
个人中心:显示用户的个人基本信息和使用数据概览,查看个人首页,景点预约、购票订单、活动报名、订单配送、收藏和评论管理等功能模块。
沧州市园博园商业文旅管理系统的旅游用户角色用例图如下图 3-1所示。

- 商家用户功能模块:
后台首页:展示平台关键数据统计,如商品数量统计、商品销售统计等。
活动管理:商家用户可以管理查看活动信息列表及添加活动详情。
活动报名管理:商家用户可以查看所有活动报名信息,并进行审核。
商城管理:商家用户可以管理查看商品信息、分类列表、订单列表。订单配送、优惠券、订单售后等详情。
沧州市园博园商业文旅管理系统的商家用户角色用例图如下图 3-2所示。

- 管理员功能模块:
后台首页:展示平台关键数据统计,如活动报名统计、购票订单统计等。支持图表化展示以辅助决策。
系统用户:添加、删除或修改旅游用户和管理员信息,支持批量操作和权限调整。
景点管理:管理员管理景点信息列表及添加、景点类型添加、及景点预约、购票订单的管理,可以进行增删改查的操作。
活动管理:管理员可以查看管理所有活动信息列表、添加活动类型、活动报名管理信息,可以进行增删改查的操作。
系统管理:管理员配置首页轮播图内容,支持图片上传和链接设置。
旅游公告管理:管理员发布和管理公告内容,可以进行增删改查等操作。
资源管理:发布和管理旅游资讯和资讯分类,新增、编辑或删除资讯分类,支持分类属性设置和调整。
商城管理:管理员可以管商品信息、分类列表、订单列表、订单配送、优惠券、订单售后等信息,可以进行增删改查等操作。
沧州市园博园商业文旅管理系统的管理员角色用例图如下图 3-3所示。

沧州市园博园商业文旅管理系统的需要具备性能、可靠性、安全性、可用性、扩展性等非功能性特征。系统应在长时间运行中保持稳定,用户界面简洁直观;具备高效的数据处理和响应速度;采取安全措施保护用户信息;根据用户反馈调整导购算法;方便用户进行商城搜索和排序;易于维护和管理,支持与其他系统互操作。设计和开发过程中需注重这些要求,以提供高质量、用户友好和可信赖的系统体验。具体如下表 3-1表格:
表 3-1沧州市园博园商业文旅管理系统非功能需求表
| 非功能性要求 | 说明 |
| 性能 | 评估响应时间、并发用户数、吞吐量等指标,以确保系统稳定高效地运行。 |
| 可靠性 | 评估系统的稳定性、容错能力和数据完整性,保障系统在故障情况下正常运行。 |
| 安全性 | 评估用户身份认证、数据加密和访问控制等,保护用户信息和交易的安全。 |
| 可用性 | 评估系统的稳定性、故障处理能力和用户界面友好性,提供良好的用户体验。 |
| 扩展性 | 评估系统的可扩展性和灵活性,以便根据需求进行功能扩展和升级。 |
注册的过程,第一部分是账号的注册,第二部分是信息完善。在业务开展过程中,管理员可对用户信息进行修改等管理操作,注册流程如图 3-4所示。

登录时,用户填写用户名、密码、选择身份进行登录,在登录过程中后端会对发送过来的信息进行验证和判断,具体的登录流程如图 3-5所示。

用户在商城浏览商品列表时,可通过筛选条件快速定位目标商品。点击商品信息页后,用户可查看具体信息,确认无误后发起购买操作。系统验证用户账户是否登录,若满足条件则生成订单,同时通知发布者支付、完成交易。用户可在个人中心的“订单配送”模块查看订单状态。用户购买商品流程图如图 3-6所示。

从技术角度来看,沧州市园博园商业文旅管理系统的的架构设计至关重要。我们将采用MVC架构,包括表现层、业务逻辑层和数据访问层[9]。表现层负责用户界面展示,业务逻辑层处理核心功能逻辑,数据访问层负责数据库交互。通过三层架构模式,确保系统的可靠性和可扩展性。
系统架构图如图4-1所示。

图 4-1 系统架构图
通过整体功能模块设计,我们将根据需求分析的结果,将系统的功能划分为不同的模块。每个模块负责实现特定的功能,并与其他模块进行协作。我们将详细定义每个模块的输入、输出、处理逻辑和相互依赖关系。系统总体功能模块图如下图所示:

图 4-2系统总体功能图
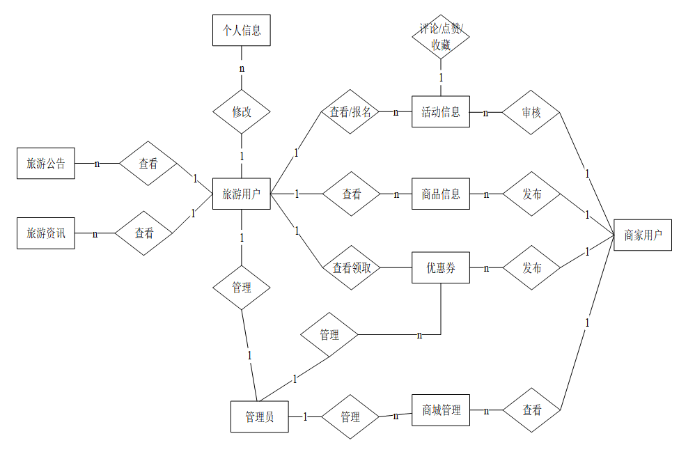
数据库的设计是系统的设计中比较重要的一部分内容[10],数据库设计是一切系统设计的基础,首先需要进行概念模型E-R图的设计,然后进行关系模型物理模型的建立。
本文在系统分析阶段就抽取了一些实体,根据实体之间的关系,经过分析进行系统E-R图的设计。沧州市园博园商业文旅管理系统的总体E-R图如下图所示。

图4-7系统总体E-R图
本系统采MySQL数据库管理系统对数据进行管理。下面是对各个表中的表中各个字段数据类型、大小等做简短描述。沧州市园博园商业文旅管理系统的所需要的部分数据结构表如下表所示。
表 4-1-access_token(登陆访问时长)
| 编号 | 字段名 | 类型 | 长度 | 是否非空 | 是否主键 | 注释 |
| 1 | token_id | int | 是 | 是 | 临时访问牌ID | |
| 2 | token | varchar | 64 | 否 | 否 | 临时访问牌 |
| 3 | info | text | 65535 | 否 | 否 | 信息 |
| 4 | maxage | int | 是 | 否 | 最大寿命:默认2小时 | |
| 5 | create_time | timestamp | 是 | 否 | 创建时间 | |
| 6 | update_time | timestamp | 是 | 否 | 更新时间 | |
| 7 | user_id | int | 是 | 否 | 用户编号 |
表 4-2-activity_information(活动信息)
| 编号 | 字段名 | 类型 | 长度 | 是否非空 | 是否主键 | 注释 |
| 1 | activity_information_id | int | 是 | 是 | 活动信息ID | |
| 2 | activity_title | varchar | 64 | 否 | 否 | 活动标题 |
| 3 | activity_type | varchar | 64 | 否 | 否 | 活动类型 |
| 4 | cover | varchar | 255 | 否 | 否 | 封面 |
| 5 | event_location | varchar | 64 | 否 | 否 | 活动地点 |
| 6 | activity_time | varchar | 64 | 否 | 否 | 活动时间 |
| 7 | activity_status | varchar | 64 | 否 | 否 | 活动状态 |
| 8 | details_introduction | longtext | 4294967295 | 否 | 否 | 详情介绍 |
| 9 | business_user | int | 否 | 否 | 商家用户 | |
| 10 | merchant_name | varchar | 64 | 是 | 否 | 商家名称 |
| 11 | contact_number | varchar | 16 | 是 | 否 | 联系号码 |
| 12 | hits | int | 是 | 否 | 点击数 | |
| 13 | praise_len | int | 是 | 否 | 点赞数 | |
| 14 | collect_len | int | 是 | 否 | 收藏数 | |
| 15 | comment_len | int | 是 | 否 | 评论数 | |
| 16 | recommend | int | 是 | 否 | 智能推荐 | |
| 17 | activity_registration_limit_times | int | 是 | 否 | 报名限制次数 | |
| 18 | create_time | datetime | 是 | 否 | 创建时间 | |
| 19 | update_time | timestamp | 是 | 否 | 更新时间 |
表 4-3-activity_registration(活动报名)
| 编号 | 字段名 | 类型 | 长度 | 是否非空 | 是否主键 | 注释 |
| 1 | activity_registration_id | int | 是 | 是 | 活动报名ID | |
| 2 | activity_title | varchar | 64 | 否 | 否 | 活动标题 |
| 3 | activity_type | varchar | 64 | 否 | 否 | 活动类型 |
| 4 | event_location | varchar | 64 | 否 | 否 | 活动地点 |
| 5 | activity_time | varchar | 64 | 否 | 否 | 活动时间 |
| 6 | business_user | int | 否 | 否 | 商家用户 | |
| 7 | merchant_name | varchar | 64 | 是 | 否 | 商家名称 |
| 8 | contact_number | varchar | 16 | 是 | 否 | 联系号码 |
| 9 | tourism_users | int | 否 | 否 | 旅游用户 | |
| 10 | user_name | varchar | 64 | 否 | 否 | 用户姓名 |
| 11 | phone_number | varchar | 64 | 否 | 否 | 手机号码 |
| 12 | number_of_enrolment | double | 否 | 否 | 报名人数 | |
| 13 | registration_remarks | text | 65535 | 否 | 否 | 报名备注 |
| 14 | examine_state | varchar | 16 | 是 | 否 | 审核状态 |
| 15 | examine_reply | varchar | 255 | 否 | 否 | 审核回复 |
| 16 | create_time | datetime | 是 | 否 | 创建时间 | |
| 17 | update_time | timestamp | 是 | 否 | 更新时间 | |
| 18 | source_table | varchar | 255 | 否 | 否 | 来源表 |
| 19 | source_id | int | 否 | 否 | 来源ID | |
| 20 | source_user_id | int | 否 | 否 | 来源用户 |
表 4-4-activity_type(活动类型)
| 编号 | 字段名 | 类型 | 长度 | 是否非空 | 是否主键 | 注释 |
| 1 | activity_type_id | int | 是 | 是 | 活动类型ID | |
| 2 | activity_type | varchar | 64 | 否 | 否 | 活动类型 |
| 3 | create_time | datetime | 是 | 否 | 创建时间 | |
| 4 | update_time | timestamp | 是 | 否 | 更新时间 |
表 4-5-address(收货地址)
| 编号 | 字段名 | 类型 | 长度 | 是否非空 | 是否主键 | 注释 |
| 1 | address_id | int | 是 | 是 | 收货地址 | |
| 2 | name | varchar | 32 | 否 | 否 | 姓名 |
| 3 | phone | varchar | 13 | 否 | 否 | 手机 |
| 4 | postcode | varchar | 8 | 否 | 否 | 邮编 |
| 5 | address | varchar | 255 | 是 | 否 | 地址 |
| 6 | user_id | mediumint | 是 | 否 | 用户ID | |
| 7 | create_time | timestamp | 是 | 否 | 创建时间 | |
| 8 | update_time | timestamp | 是 | 否 | 更新时间 | |
| 9 | default | tinyint | 是 | 否 | 默认判断 |
表 4-6-appointment_period(预约时段)
| 编号 | 字段名 | 类型 | 长度 | 是否非空 | 是否主键 | 注释 |
| 1 | appointment_period_id | int | 是 | 是 | 预约时段ID | |
| 2 | appointment_period | varchar | 64 | 否 | 否 | 预约时段 |
| 3 | create_time | datetime | 是 | 否 | 创建时间 | |
| 4 | update_time | timestamp | 是 | 否 | 更新时间 |
表 4-7-article(文章)
| 编号 | 字段名 | 类型 | 长度 | 是否非空 | 是否主键 | 注释 |
| 1 | article_id | mediumint | 是 | 是 | 文章id | |
| 2 | title | varchar | 125 | 是 | 是 | 标题 |
| 3 | type | varchar | 64 | 是 | 否 | 文章分类 |
| 4 | hits | int | 是 | 否 | 点击数 | |
| 5 | praise_len | int | 是 | 否 | 点赞数 | |
| 6 | create_time | timestamp | 是 | 否 | 创建时间 | |
| 7 | update_time | timestamp | 是 | 否 | 更新时间 | |
| 8 | source | varchar | 255 | 否 | 否 | 来源 |
| 9 | url | varchar | 255 | 否 | 否 | 来源地址 |
| 10 | tag | varchar | 255 | 否 | 否 | 标签 |
| 11 | content | longtext | 4294967295 | 否 | 否 | 正文 |
| 12 | img | varchar | 255 | 否 | 否 | 封面图 |
| 13 | description | text | 65535 | 否 | 否 | 文章描述 |
表 4-8-article_type(文章分类)
| 编号 | 字段名 | 类型 | 长度 | 是否非空 | 是否主键 | 注释 |
| 1 | type_id | smallint | 是 | 是 | 分类ID | |
| 2 | display | smallint | 是 | 否 | 显示顺序 | |
| 3 | name | varchar | 16 | 是 | 否 | 分类名称 |
| 4 | father_id | smallint | 是 | 否 | 上级分类ID | |
| 5 | description | varchar | 255 | 否 | 否 | 描述 |
| 6 | icon | text | 65535 | 否 | 否 | 分类图标 |
| 7 | url | varchar | 255 | 否 | 否 | 外链地址 |
| 8 | create_time | timestamp | 是 | 否 | 创建时间 | |
| 9 | update_time | timestamp | 是 | 否 | 更新时间 |
表 4-9-attractions_information(景点信息)
| 编号 | 字段名 | 类型 | 长度 | 是否非空 | 是否主键 | 注释 |
| 1 | attractions_information_id | int | 是 | 是 | 景点信息ID | |
| 2 | scenic_spot_name | varchar | 64 | 否 | 否 | 景点名称 |
| 3 | type_of_attraction | varchar | 64 | 否 | 否 | 景点类型 |
| 4 | scenic_spot_cover | varchar | 255 | 否 | 否 | 景点封面 |
| 5 | tourist_attraction_phone_number | varchar | 16 | 否 | 否 | 景点电话 |
| 6 | scenic_spot_address | varchar | 64 | 否 | 否 | 景点地址 |
| 7 | ticket_unit_price | double | 否 | 否 | 门票单价 | |
| 8 | details_introduction | longtext | 4294967295 | 否 | 否 | 详情介绍 |
| 9 | hits | int | 是 | 否 | 点击数 | |
| 10 | praise_len | int | 是 | 否 | 点赞数 | |
| 11 | collect_len | int | 是 | 否 | 收藏数 | |
| 12 | comment_len | int | 是 | 否 | 评论数 | |
| 13 | recommend | int | 是 | 否 | 智能推荐 | |
| 14 | attractions_reservation_limit_times | int | 是 | 否 | 下单预约限制次数 | |
| 15 | create_time | datetime | 是 | 否 | 创建时间 | |
| 16 | update_time | timestamp | 是 | 否 | 更新时间 |
表 4-10-attractions_reservation(景点预约)
| 编号 | 字段名 | 类型 | 长度 | 是否非空 | 是否主键 | 注释 |
| 1 | attractions_reservation_id | int | 是 | 是 | 景点预约ID | |
| 2 | order_number | varchar | 64 | 否 | 否 | 订单号 |
| 3 | scenic_spot_name | varchar | 64 | 否 | 否 | 景点名称 |
| 4 | type_of_attraction | varchar | 64 | 否 | 否 | 景点类型 |
| 5 | tourist_attraction_phone_number | varchar | 16 | 否 | 否 | 景点电话 |
| 6 | scenic_spot_address | varchar | 64 | 否 | 否 | 景点地址 |
| 7 | ticket_unit_price | double | 否 | 否 | 门票单价 | |
| 8 | tourism_users | int | 否 | 否 | 旅游用户 | |
| 9 | user_name | varchar | 64 | 否 | 否 | 用户姓名 |
| 10 | phone_number | varchar | 16 | 否 | 否 | 手机号码 |
| 11 | appointment_date | date | 否 | 否 | 预约日期 | |
| 12 | appointment_period | varchar | 64 | 是 | 否 | 预约时段 |
| 13 | number_of_purchase_votes | double | 否 | 否 | 购买票数 | |
| 14 | remarks | text | 65535 | 否 | 否 | 备注 |
| 15 | examine_state | varchar | 16 | 是 | 否 | 审核状态 |
| 16 | examine_reply | varchar | 255 | 否 | 否 | 审核回复 |
| 17 | ticket_purchase_order_limit_times | int | 是 | 否 | 确认限制次数 | |
| 18 | create_time | datetime | 是 | 否 | 创建时间 | |
| 19 | update_time | timestamp | 是 | 否 | 更新时间 | |
| 20 | source_table | varchar | 255 | 否 | 否 | 来源表 |
| 21 | source_id | int | 否 | 否 | 来源ID | |
| 22 | source_user_id | int | 否 | 否 | 来源用户 |
表 4-11-auth(用户权限管理)
| 编号 | 字段名 | 类型 | 长度 | 是否非空 | 是否主键 | 注释 |
| 1 | auth_id | int | 是 | 是 | 授权ID | |
| 2 | user_group | varchar | 64 | 否 | 否 | 用户组 |
| 3 | mod_name | varchar | 64 | 否 | 否 | 模块名 |
| 4 | table_name | varchar | 64 | 否 | 否 | 表名 |
| 5 | page_title | varchar | 255 | 否 | 否 | 页面标题 |
| 6 | path | varchar | 255 | 否 | 否 | 路由路径 |
| 7 | parent | varchar | 64 | 否 | 否 | 父级菜单 |
| 8 | parent_sort | int | 是 | 否 | 父级菜单排序 | |
| 9 | position | varchar | 32 | 否 | 否 | 位置 |
| 10 | mode | varchar | 32 | 是 | 否 | 跳转方式 |
| 11 | add | tinyint | 是 | 否 | 是否可增加 | |
| 12 | del | tinyint | 是 | 否 | 是否可删除 | |
| 13 | set | tinyint | 是 | 否 | 是否可修改 | |
| 14 | get | tinyint | 是 | 否 | 是否可查看 | |
| 15 | field_add | text | 65535 | 否 | 否 | 添加字段 |
| 16 | field_set | text | 65535 | 否 | 否 | 修改字段 |
| 17 | field_get | text | 65535 | 否 | 否 | 查询字段 |
| 18 | table_nav_name | varchar | 500 | 否 | 否 | 跨表导航名称 |
| 19 | table_nav | varchar | 500 | 否 | 否 | 跨表导航 |
| 20 | option | text | 65535 | 否 | 否 | 配置 |
| 21 | create_time | timestamp | 是 | 否 | 创建时间 | |
| 22 | update_time | timestamp | 是 | 否 | 更新时间 |
表 4-12-business_user(商家用户)
| 编号 | 字段名 | 类型 | 长度 | 是否非空 | 是否主键 | 注释 |
| 1 | business_user_id | int | 是 | 是 | 商家用户ID | |
| 2 | merchant_name | varchar | 64 | 是 | 否 | 商家名称 |
| 3 | contact_number | varchar | 16 | 是 | 否 | 联系号码 |
| 4 | business_address | varchar | 64 | 否 | 否 | 商家地址 |
| 5 | license_screenshot | varchar | 255 | 否 | 否 | 证照截图 |
| 6 | examine_state | varchar | 16 | 是 | 否 | 审核状态 |
| 7 | user_id | int | 是 | 否 | 用户ID | |
| 8 | create_time | datetime | 是 | 否 | 创建时间 | |
| 9 | update_time | timestamp | 是 | 否 | 更新时间 |
表 4-13-cart(购物车)
| 编号 | 字段名 | 类型 | 长度 | 是否非空 | 是否主键 | 注释 |
| 1 | cart_id | int | 是 | 是 | 购物车ID | |
| 2 | title | varchar | 64 | 否 | 否 | 标题 |
| 3 | img | varchar | 255 | 是 | 否 | 图片 |
| 4 | user_id | int | 是 | 否 | 用户ID | |
| 5 | create_time | timestamp | 是 | 否 | 创建时间 | |
| 6 | update_time | timestamp | 是 | 否 | 更新时间 | |
| 7 | state | int | 是 | 否 | 状态:使用中,已失效 | |
| 8 | price | double | 是 | 否 | 单价 | |
| 9 | price_ago | double | 是 | 否 | 原价 | |
| 10 | price_count | double | 是 | 否 | 总价 | |
| 11 | num | int | 是 | 否 | 数量 | |
| 12 | goods_id | mediumint | 是 | 是 | 商品id | |
| 13 | type | varchar | 64 | 是 | 否 | 商品分类 |
| 14 | description | varchar | 255 | 否 | 否 | 描述 |
表 4-14-code_token(验证码)
| 编号 | 字段名 | 类型 | 长度 | 是否非空 | 是否主键 | 注释 |
| 1 | code_token_id | int | 是 | 是 | 验证码ID | |
| 2 | token | varchar | 255 | 否 | 否 | 令牌 |
| 3 | code | varchar | 255 | 否 | 否 | 验证码 |
| 4 | expire_time | timestamp | 是 | 否 | 失效时间 | |
| 5 | create_time | timestamp | 是 | 否 | 创建时间 | |
| 6 | update_time | timestamp | 是 | 否 | 更新时间 |
表 4-15-collect(收藏)
| 编号 | 字段名 | 类型 | 长度 | 是否非空 | 是否主键 | 注释 |
| 1 | collect_id | int | 是 | 是 | 收藏ID | |
| 2 | user_id | int | 是 | 是 | 收藏人ID | |
| 3 | source_table | varchar | 255 | 否 | 否 | 来源表 |
| 4 | source_field | varchar | 255 | 否 | 否 | 来源字段 |
| 5 | source_id | int | 是 | 否 | 来源ID | |
| 6 | title | varchar | 255 | 否 | 否 | 标题 |
| 7 | img | varchar | 255 | 否 | 否 | 封面 |
| 8 | create_time | timestamp | 是 | 否 | 创建时间 | |
| 9 | update_time | timestamp | 是 | 否 | 更新时间 |
表 4-16-comment(评论)
| 编号 | 字段名 | 类型 | 长度 | 是否非空 | 是否主键 | 注释 |
| 1 | comment_id | int | 是 | 是 | 评论ID | |
| 2 | user_id | int | 是 | 是 | 评论人ID | |
| 3 | reply_to_id | int | 是 | 否 | 回复评论ID | |
| 4 | content | longtext | 4294967295 | 否 | 否 | 内容 |
| 5 | nickname | varchar | 255 | 否 | 否 | 昵称 |
| 6 | avatar | varchar | 255 | 否 | 否 | 头像地址 |
| 7 | create_time | timestamp | 是 | 否 | 创建时间 | |
| 8 | update_time | timestamp | 是 | 否 | 更新时间 | |
| 9 | source_table | varchar | 255 | 否 | 否 | 来源表 |
| 10 | source_field | varchar | 255 | 否 | 否 | 来源字段 |
| 11 | source_id | int | 是 | 否 | 来源ID |
表 4-17-commodity_information(商品信息)
| 编号 | 字段名 | 类型 | 长度 | 是否非空 | 是否主键 | 注释 |
| 1 | commodity_information_id | int | 是 | 是 | 商品信息ID | |
| 2 | product_specifications | varchar | 64 | 否 | 否 | 商品规格 |
| 3 | manufacturer | varchar | 64 | 否 | 否 | 生产厂商 |
| 4 | merchant_users | int | 否 | 否 | 商家用户 | |
| 5 | merchant_name | varchar | 64 | 否 | 否 | 商家名称 |
| 6 | contact_number | varchar | 16 | 否 | 否 | 联系号码 |
| 7 | business_address | varchar | 64 | 否 | 否 | 商家地址 |
| 8 | hits | int | 是 | 否 | 点击数 | |
| 9 | collect_len | int | 是 | 否 | 收藏数 | |
| 10 | comment_len | int | 是 | 否 | 评论数 | |
| 11 | recommend | int | 是 | 否 | 智能推荐 | |
| 12 | cart_title | varchar | 125 | 否 | 否 | 标题 |
| 13 | cart_img | text | 65535 | 否 | 否 | 封面图 |
| 14 | cart_description | varchar | 255 | 否 | 否 | 描述 |
| 15 | cart_price_ago | double | 是 | 否 | 原价 | |
| 16 | cart_price | double | 是 | 否 | 卖价 | |
| 17 | cart_inventory | int | 是 | 否 | 商品库存 | |
| 18 | cart_type | varchar | 64 | 是 | 否 | 商品分类 |
| 19 | cart_content | longtext | 4294967295 | 否 | 否 | 正文 |
| 20 | cart_img_1 | text | 65535 | 否 | 否 | 主图1 |
| 21 | cart_img_2 | text | 65535 | 否 | 否 | 主图2 |
| 22 | cart_img_3 | text | 65535 | 否 | 否 | 主图3 |
| 23 | cart_img_4 | text | 65535 | 否 | 否 | 主图4 |
| 24 | cart_img_5 | text | 65535 | 否 | 否 | 主图5 |
| 25 | create_time | datetime | 是 | 否 | 创建时间 | |
| 26 | update_time | timestamp | 是 | 否 | 更新时间 |
表 4-18-coupon(优惠券)
| 编号 | 字段名 | 类型 | 长度 | 是否非空 | 是否主键 | 注释 |
| 1 | coupon_id | int | 是 | 是 | 优惠券ID | |
| 2 | coupon_user_id | int | 否 | 否 | 优惠券用户ID | |
| 3 | coupon_user_auth | varchar | 255 | 否 | 否 | 优惠券用户 |
| 4 | coupon_name | varchar | 255 | 否 | 否 | 优惠券名称 |
| 5 | coupon_price | int | 否 | 否 | 优惠券价格 | |
| 6 | coupon_price1 | int | 否 | 否 | 优惠券券后价格 | |
| 7 | coupon_time | varchar | 255 | 否 | 否 | 优惠券时间 |
| 8 | coupon_type | varchar | 255 | 否 | 否 | 优惠券类型 |
| 9 | create_time | timestamp | 否 | 否 | 创建时间 | |
| 10 | update_time | timestamp | 否 | 否 | 更新时间 |
表 4-19-coupon_user(用户优惠券)
| 编号 | 字段名 | 类型 | 长度 | 是否非空 | 是否主键 | 注释 |
| 1 | id | int | 是 | 是 | 用户优惠券ID | |
| 2 | user_id | int | 否 | 否 | 用户ID | |
| 3 | coupon_id | int | 否 | 否 | 优惠券ID | |
| 4 | is_use | int | 否 | 否 | 是否使用 | |
| 5 | coupon_user_id | int | 否 | 否 | 用户优惠券ID |
表 4-20-goods(商品信息)
| 编号 | 字段名 | 类型 | 长度 | 是否非空 | 是否主键 | 注释 |
| 1 | goods_id | mediumint | 是 | 是 | 产品ID | |
| 2 | title | varchar | 125 | 否 | 否 | 标题 |
| 3 | img | text | 65535 | 否 | 否 | 封面图:用于显示于产品列表页 |
| 4 | description | varchar | 255 | 否 | 否 | 描述 |
| 5 | price_ago | double | 是 | 否 | 原价 | |
| 6 | price | double | 是 | 否 | 卖价 | |
| 7 | sales | int | 是 | 否 | 销量 | |
| 8 | inventory | int | 是 | 否 | 商品库存 | |
| 9 | type | varchar | 64 | 是 | 否 | 商品分类 |
| 10 | hits | int | 是 | 否 | 点击量 | |
| 11 | content | longtext | 4294967295 | 否 | 否 | 正文 |
| 12 | img_1 | text | 65535 | 否 | 否 | 主图1 |
| 13 | img_2 | text | 65535 | 否 | 否 | 主图2 |
| 14 | img_3 | text | 65535 | 否 | 否 | 主图3 |
| 15 | img_4 | text | 65535 | 否 | 否 | 主图4 |
| 16 | img_5 | text | 65535 | 否 | 否 | 主图5 |
| 17 | create_time | timestamp | 是 | 否 | 创建时间 | |
| 18 | update_time | timestamp | 是 | 否 | 更新时间 | |
| 19 | customize_field | text | 65535 | 否 | 否 | 自定义字段 |
| 20 | source_table | varchar | 255 | 否 | 否 | 来源表 |
| 21 | source_field | varchar | 255 | 否 | 否 | 来源字段 |
| 22 | source_id | int | 是 | 否 | 来源ID | |
| 23 | user_id | int | 否 | 否 | 添加人 |
表 4-21-goods_type(商品类型)
| 编号 | 字段名 | 类型 | 长度 | 是否非空 | 是否主键 | 注释 |
| 1 | type_id | int | 是 | 是 | 商品分类ID | |
| 2 | father_id | smallint | 是 | 否 | 上级分类ID | |
| 3 | name | varchar | 255 | 否 | 否 | 商品名称 |
| 4 | desc | varchar | 255 | 否 | 否 | 描述 |
| 5 | icon | varchar | 255 | 否 | 否 | 图标 |
| 6 | source_table | varchar | 255 | 否 | 否 | 来源表 |
| 7 | source_field | varchar | 255 | 否 | 否 | 来源字段 |
| 8 | create_time | timestamp | 是 | 否 | 创建时间 | |
| 9 | update_time | timestamp | 是 | 否 | 更新时间 |
表 4-22-hits(用户点击)
| 编号 | 字段名 | 类型 | 长度 | 是否非空 | 是否主键 | 注释 |
| 1 | hits_id | int | 是 | 是 | 点赞ID | |
| 2 | user_id | int | 是 | 否 | 点赞人 | |
| 3 | create_time | timestamp | 是 | 否 | 创建时间 | |
| 4 | update_time | timestamp | 是 | 否 | 更新时间 | |
| 5 | source_table | varchar | 255 | 否 | 否 | 来源表 |
| 6 | source_field | varchar | 255 | 否 | 否 | 来源字段 |
| 7 | source_id | int | 是 | 否 | 来源ID |
表 4-23-logistics_delivery(物流配送)
| 编号 | 字段名 | 类型 | 长度 | 是否非空 | 是否主键 | 注释 |
| 1 | logistics_delivery_id | int | 是 | 是 | 物流配送ID | |
| 2 | order_number | varchar | 64 | 否 | 否 | 订单号 |
| 3 | product_name | varchar | 64 | 否 | 否 | 商品名称 |
| 4 | purchase_quantity | varchar | 64 | 否 | 否 | 购买数量 |
| 5 | total_transaction_amount | double | 否 | 否 | 交易总额 | |
| 6 | the_date_of_issuance | date | 否 | 否 | 发货日期 | |
| 7 | delivery_number | varchar | 30 | 否 | 否 | 配送订单 |
| 8 | ordinary_users | int | 否 | 否 | 普通用户 | |
| 9 | shipping_address | varchar | 64 | 否 | 否 | 收货地址 |
| 10 | delivery_status | varchar | 64 | 否 | 否 | 配送状态 |
| 11 | signing_status | varchar | 64 | 否 | 否 | 签收状态 |
| 12 | recommend | int | 是 | 否 | 智能推荐 | |
| 13 | contact_name | varchar | 255 | 否 | 否 | 联系人名字 |
| 14 | merchant_id | int | 否 | 否 | 商家id | |
| 15 | create_time | datetime | 是 | 否 | 创建时间 | |
| 16 | update_time | timestamp | 是 | 否 | 更新时间 |
表 4-24-notice(公告)
| 编号 | 字段名 | 类型 | 长度 | 是否非空 | 是否主键 | 注释 |
| 1 | notice_id | mediumint | 是 | 是 | 公告ID | |
| 2 | title | varchar | 125 | 是 | 否 | 标题 |
| 3 | content | longtext | 4294967295 | 否 | 否 | 正文 |
| 4 | create_time | timestamp | 是 | 否 | 创建时间 | |
| 5 | update_time | timestamp | 是 | 否 | 更新时间 |
表 4-25-order(订单)
| 编号 | 字段名 | 类型 | 长度 | 是否非空 | 是否主键 | 注释 |
| 1 | order_id | int | 是 | 是 | 订单ID | |
| 2 | order_number | varchar | 64 | 否 | 否 | 订单号 |
| 3 | goods_id | mediumint | 是 | 是 | 商品ID | |
| 4 | title | varchar | 255 | 否 | 否 | 商品标题 |
| 5 | img | varchar | 255 | 否 | 否 | 商品图片 |
| 6 | price | double | 是 | 否 | 价格 | |
| 7 | price_ago | double | 是 | 否 | 原价 | |
| 8 | num | int | 是 | 否 | 数量 | |
| 9 | price_count | double | 是 | 否 | 总价 | |
| 10 | norms | varchar | 255 | 否 | 否 | 规格 |
| 11 | type | varchar | 64 | 是 | 否 | 商品分类 |
| 12 | contact_name | varchar | 32 | 否 | 否 | 联系人姓名 |
| 13 | contact_email | varchar | 125 | 否 | 否 | 联系人邮箱 |
| 14 | contact_phone | varchar | 11 | 否 | 否 | 联系人手机 |
| 15 | contact_address | varchar | 255 | 否 | 否 | 收件地址 |
| 16 | postal_code | varchar | 9 | 否 | 否 | 邮政编码 |
| 17 | user_id | int | 是 | 否 | 买家ID | |
| 18 | merchant_id | mediumint | 是 | 否 | 商家ID | |
| 19 | create_time | timestamp | 是 | 否 | 创建时间 | |
| 20 | update_time | timestamp | 是 | 否 | 更新时间 | |
| 21 | description | varchar | 255 | 否 | 否 | 描述 |
| 22 | state | varchar | 16 | 是 | 否 | 订单状态:待付款,待发货,待签收,已签收,待退款,已退款,已拒绝,已完成 |
| 23 | remark | text | 65535 | 否 | 否 | 订单备注 |
| 24 | delivery_state | varchar | 16 | 否 | 否 | 发货状态:未配送,已配送 |
| 25 | vip_discount | double | 否 | 否 | 折扣 |
表 4-26-order_after_sale(订单售后)
| 编号 | 字段名 | 类型 | 长度 | 是否非空 | 是否主键 | 注释 |
| 1 | order_after_sale_id | int | 是 | 是 | 订单售后ID | |
| 2 | order_id | int | 是 | 否 | 订单ID | |
| 3 | order_number | varchar | 64 | 否 | 否 | 订单号 |
| 4 | goods_id | mediumint | 是 | 否 | 商品id | |
| 5 | title | varchar | 255 | 否 | 否 | 商品标题 |
| 6 | price | double | 是 | 否 | 价格 | |
| 7 | price_ago | double | 是 | 否 | 原价 | |
| 8 | num | int | 是 | 否 | 数量 | |
| 9 | price_count | double | 是 | 否 | 总价 | |
| 10 | user_id | int | 是 | 否 | 买家ID | |
| 11 | merchant_id | mediumint | 是 | 否 | 商家ID | |
| 12 | state | varchar | 16 | 是 | 否 | 订单状态:待付款,待发货,待签收,已签收,待退款,已退款,已拒绝,已完成 |
| 13 | after_state | varchar | 16 | 否 | 否 | 售后状态:未审核,未通过,已通过 |
| 14 | after_state_reply | varchar | 255 | 否 | 否 | 售后回复 |
| 15 | type | varchar | 255 | 否 | 否 | 售后类型 |
| 16 | content_desc | varchar | 255 | 否 | 否 | 售后内容 |
| 17 | imgs | varchar | 1000 | 否 | 否 | 售后凭证 |
| 18 | create_time | timestamp | 是 | 否 | 创建时间 | |
| 19 | update_time | timestamp | 是 | 否 | 更新时间 |
表 4-27-praise(点赞)
| 编号 | 字段名 | 类型 | 长度 | 是否非空 | 是否主键 | 注释 |
| 1 | praise_id | int | 是 | 是 | 点赞ID | |
| 2 | user_id | int | 是 | 是 | 点赞人 | |
| 3 | create_time | timestamp | 是 | 否 | 创建时间 | |
| 4 | update_time | timestamp | 是 | 否 | 更新时间 | |
| 5 | source_table | varchar | 255 | 否 | 否 | 来源表 |
| 6 | source_field | varchar | 255 | 否 | 否 | 来源字段 |
| 7 | source_id | int | 是 | 否 | 来源ID | |
| 8 | status | tinyint | 是 | 否 | 点赞状态:1为点赞,0已取消 |
表 4-28-score(评分)
| 编号 | 字段名 | 类型 | 长度 | 是否非空 | 是否主键 | 注释 |
| 1 | score_id | int | 是 | 是 | 评分ID | |
| 2 | user_id | int | 是 | 否 | 评分人 | |
| 3 | nickname | varchar | 64 | 否 | 否 | 昵称 |
| 4 | score_num | double | 是 | 否 | 评分 | |
| 5 | create_time | timestamp | 是 | 否 | 创建时间 | |
| 6 | update_time | timestamp | 是 | 否 | 更新时间 | |
| 7 | source_table | varchar | 255 | 否 | 否 | 来源表 |
| 8 | source_field | varchar | 255 | 否 | 否 | 来源字段 |
| 9 | source_id | int | 是 | 否 | 来源ID |
表 4-29-sensitive_vocabulary(敏感词汇)
| 编号 | 字段名 | 类型 | 长度 | 是否非空 | 是否主键 | 注释 |
| 1 | sensitive_vocabulary_id | int | 是 | 是 | 敏感词汇ID | |
| 2 | sensitive_vocabulary | varchar | 64 | 否 | 否 | 敏感词汇 |
| 3 | create_time | datetime | 是 | 否 | 创建时间 | |
| 4 | update_time | timestamp | 是 | 否 | 更新时间 |
表 4-30-slides(轮播图)
| 编号 | 字段名 | 类型 | 长度 | 是否非空 | 是否主键 | 注释 |
| 1 | slides_id | int | 是 | 是 | 轮播图ID | |
| 2 | title | varchar | 64 | 否 | 否 | 标题 |
| 3 | content | varchar | 255 | 否 | 否 | 内容 |
| 4 | url | varchar | 255 | 否 | 否 | 链接 |
| 5 | img | varchar | 255 | 否 | 否 | 轮播图 |
| 6 | hits | int | 是 | 否 | 点击量 | |
| 7 | create_time | timestamp | 是 | 否 | 创建时间 | |
| 8 | update_time | timestamp | 是 | 否 | 更新时间 |
表 4-31-ticket_purchase_order(购票订单)
| 编号 | 字段名 | 类型 | 长度 | 是否非空 | 是否主键 | 注释 |
| 1 | ticket_purchase_order_id | int | 是 | 是 | 购票订单ID | |
| 2 | order_number | varchar | 64 | 否 | 否 | 订单号 |
| 3 | scenic_spot_name | varchar | 64 | 否 | 否 | 景点名称 |
| 4 | type_of_attraction | varchar | 64 | 否 | 否 | 景点类型 |
| 5 | tourist_attraction_phone_number | varchar | 16 | 否 | 否 | 景点电话 |
| 6 | scenic_spot_address | varchar | 64 | 否 | 否 | 景点地址 |
| 7 | ticket_unit_price | double | 否 | 否 | 门票单价 | |
| 8 | tourism_users | int | 否 | 否 | 旅游用户 | |
| 9 | user_name | varchar | 64 | 否 | 否 | 用户姓名 |
| 10 | phone_number | varchar | 16 | 否 | 否 | 手机号码 |
| 11 | appointment_date | date | 否 | 否 | 预约日期 | |
| 12 | appointment_period | varchar | 64 | 是 | 否 | 预约时段 |
| 13 | number_of_purchase_votes | double | 否 | 否 | 购买票数 | |
| 14 | amount_paid | double | 否 | 否 | 支付金额 | |
| 15 | redeem_code | varchar | 64 | 否 | 否 | 兑换码 |
| 16 | pay_state | varchar | 16 | 是 | 否 | 支付状态 |
| 17 | pay_type | varchar | 16 | 否 | 否 | 支付类型: 微信、支付宝、网银 |
| 18 | create_time | datetime | 是 | 否 | 创建时间 | |
| 19 | update_time | timestamp | 是 | 否 | 更新时间 | |
| 20 | source_table | varchar | 255 | 否 | 否 | 来源表 |
| 21 | source_id | int | 否 | 否 | 来源ID | |
| 22 | source_user_id | int | 否 | 否 | 来源用户 |
表 4-32-tourism_users(旅游用户)
| 编号 | 字段名 | 类型 | 长度 | 是否非空 | 是否主键 | 注释 |
| 1 | tourism_users_id | int | 是 | 是 | 旅游用户ID | |
| 2 | user_name | varchar | 64 | 否 | 否 | 用户姓名 |
| 3 | phone_number | varchar | 16 | 否 | 否 | 手机号码 |
| 4 | examine_state | varchar | 16 | 是 | 否 | 审核状态 |
| 5 | user_id | int | 是 | 否 | 用户ID | |
| 6 | create_time | datetime | 是 | 否 | 创建时间 | |
| 7 | update_time | timestamp | 是 | 否 | 更新时间 |
表 4-33-type_of_attraction(景点类型)
| 编号 | 字段名 | 类型 | 长度 | 是否非空 | 是否主键 | 注释 |
| 1 | type_of_attraction_id | int | 是 | 是 | 景点类型ID | |
| 2 | type_of_attraction | varchar | 64 | 否 | 否 | 景点类型 |
| 3 | create_time | datetime | 是 | 否 | 创建时间 | |
| 4 | update_time | timestamp | 是 | 否 | 更新时间 |
表 4-34-upload(文件上传)
| 编号 | 字段名 | 类型 | 长度 | 是否非空 | 是否主键 | 注释 |
| 1 | upload_id | int | 是 | 是 | 上传ID | |
| 2 | name | varchar | 64 | 否 | 否 | 文件名 |
| 3 | path | varchar | 255 | 否 | 否 | 访问路径 |
| 4 | file | varchar | 255 | 否 | 否 | 文件路径 |
| 5 | display | varchar | 255 | 否 | 否 | 显示顺序 |
| 6 | father_id | int | 否 | 否 | 父级ID | |
| 7 | dir | varchar | 255 | 否 | 否 | 文件夹 |
| 8 | type | varchar | 32 | 否 | 否 | 文件类型 |
表 4-35-user(用户账户)
| 编号 | 字段名 | 类型 | 长度 | 是否非空 | 是否主键 | 注释 |
| 1 | user_id | int | 是 | 是 | 用户ID | |
| 2 | state | smallint | 是 | 否 | 账户状态:(1可用|2异常|3已冻结|4已注销) | |
| 3 | user_group | varchar | 32 | 否 | 否 | 所在用户组 |
| 4 | login_time | timestamp | 是 | 否 | 上次登录时间 | |
| 5 | phone | varchar | 11 | 否 | 否 | 手机号码 |
| 6 | phone_state | smallint | 是 | 否 | 手机认证:(0未认证|1审核中|2已认证) | |
| 7 | username | varchar | 16 | 是 | 否 | 用户名 |
| 8 | nickname | varchar | 16 | 否 | 否 | 昵称 |
| 9 | password | varchar | 64 | 是 | 否 | 密码 |
| 10 | | varchar | 64 | 否 | 否 | 邮箱 |
| 11 | email_state | smallint | 是 | 否 | 邮箱认证:(0未认证|1审核中|2已认证) | |
| 12 | avatar | varchar | 255 | 否 | 否 | 头像地址 |
| 13 | open_id | varchar | 255 | 否 | 否 | 针对获取用户信息字段 |
| 14 | create_time | timestamp | 是 | 否 | 创建时间 |
表 4-36-user_group(用户组)
| 编号 | 字段名 | 类型 | 长度 | 是否非空 | 是否主键 | 注释 |
| 1 | group_id | mediumint | 是 | 是 | 用户组ID | |
| 2 | display | smallint | 是 | 否 | 显示顺序 | |
| 3 | name | varchar | 16 | 是 | 否 | 名称 |
| 4 | description | varchar | 255 | 否 | 否 | 描述 |
| 5 | source_table | varchar | 255 | 否 | 否 | 来源表 |
| 6 | source_field | varchar | 255 | 否 | 否 | 来源字段 |
| 7 | source_id | int | 是 | 否 | 来源ID | |
| 8 | register | smallint | 否 | 否 | 注册位置 | |
| 9 | create_time | timestamp | 是 | 否 | 创建时间 | |
| 10 | update_time | timestamp | 是 | 否 | 更新时间 |
本文研究的沧州市园博园商业文旅管理系统的设计与实现,旨在提供用户便捷的交易体验。系统支持用户注册和登录,发布和浏览旅游信息、商城信息,进行咨询、购买和交易管理。用户可以通过搜索和分类查找商品,进行交流和评价。平台还包括管理员功能,用于管理用户、景点管理和活动管理、系统管理及资源管理等功能。整体设计追求简洁高效,以提升用户体验和平台运行效率为目标。
用户可以通过注册功能创建个人账号,填写包括用户名、密码、邮箱或手机号等基本信息完成注册流程。系统会对输入信息进行校验,确保唯一性和格式正确性,并将用户数据存储至数据库中,同时发送验证邮件或短信以确认账户有效性。注册界面如下图 5-2所示:

图 5-1前台注册界面
注册关键代码如下:
| /** * 注册 * @param user * @return */ @PostMapping("register") public Map<String, Object> signUp(@RequestBody User user) { // 查询用户 Map<String, String> query = new HashMap<>(); Map<String,Object> map = JSON.parseObject(JSON.toJSONString(user)); query.put("username",user.getUsername()); List list = service.selectBaseList(service.select(query, new HashMap<>())); if (list.size()>0){ return error(30000, "用户已存在"); } map.put("password",service.encryption(String.valueOf(map.get("password")))); service.insert(map); return success(1); } |
用户登录模块由管理员审核通过后允许用户通过输入用户名和密码进入系统,系统会验证凭据的正确性并生成会话令牌以保持登录状态。成功登录后,用户可直接跳转至首页或其他功能页面,未匹配的凭据则提示重新输入或找回密码。前台登录界面布局如下图 5-2:

登录关键代码如下:
| /** * 登录 * @param data * @param httpServletRequest * @return */ @PostMapping("login") public Map<String, Object> login(@RequestBody Map<String, String> data, HttpServletRequest httpServletRequest) { log.info("[执行登录接口]"); String username = data.get("username"); String email = data.get("email"); String phone = data.get("phone"); String password = data.get("password"); List resultList = null; Map<String, String> map = new HashMap<>(); if(username != null && "".equals(username) == false){ map.put("username", username); resultList = service.selectBaseList(service.select(map, new HashMap<>())); } else if(email != null && "".equals(email) == false){ map.put("email", email); resultList = service.selectBaseList(service.select(map, new HashMap<>())); } else if(phone != null && "".equals(phone) == false){ map.put("phone", phone); resultList = service.selectBaseList(service.select(map, new HashMap<>())); }else{ return error(30000, "账号或密码不能为空"); } if (resultList == null || password == null) { return error(30000, "账号或密码不能为空"); } |
前台首页模块是系统的主入口,为用户提供导航和重要信息展示。通过清晰的界面布局和内容展示,为用户提供良好的导航菜单、轮播图、旅游信息、公告通知和商品信息浏览体验,旅游用户需要管理审核通过后方可进入首页。前台首页界面布局如下图 5-3所示:

-
-
- 旅游资讯模块
-
旅游资讯:查看平台发布的手机相关资讯信息,并可进行点赞、收藏和评论。旅游资讯界面如下图 5-4:

-
-
- 商品信息模块
-
商品信息:浏览商品列表并查看详情,可在首页商品信息浏览,协同过滤算法导购喜欢的商品,点击可进行购买、点赞、收藏和评论操作,并可点击咨询、下单操作,填写地址提交下单信息。
例如,商品信息详情界面布局如下图 5-5:

例如,商品信息下单界面布局如下图 5-6所示:

景点信息:用户可以查看景点信息详情,可以进行点赞收藏,也可以进行预约操作,包括预约时间段、预约日期、购买数量等详情。界面布局如下所图 5-7示:

下单预约界面如下图所示:

图 5-8景点下单预约界面
管理员通过后台首页模块验证身份后进入管理系统,该模块支持账号密码登录,并可选择记住登录状态或进行双因素认证以增强安全性,后台首页包括一些统计图等信息界面。后台首页界面如下图图 5-9所示:

管理员管理用户信息、权限和行为。用户管理包括用户注册、登录、身份验证、权限控制、用户信息修改等操作。通过用户管理,系统可以确保数据安全性和用户身份真实性,同时实现个性化服务和定制化导购。良好的用户管理设计能够简化用户操作流程,提高系统安全性和用户满意度,同时为系统运营提供有效支持。其界面如下图 5-10所示:

添加新系统用户的关键代码如下:
@PostMapping("/add")
@Transactional
public Map<String, Object> add(HttpServletRequest request) throws IOException {
service.insert(service.readBody(request.getReader()));
return success(1);
}
@Transactional
public Map<String, Object> addMap(Map<String,Object> map){
service.insert(map);
return success(1);
}
景点管理:管理员管理景点信息列表及添加、景点类型添加、及景点预约、购票订单的管理,可以进行增删改查的操作。景点管理界面如下图 5-11所示:

系统管理:系统管理模块帮助管理员设置和调整首页展示的轮播图内容。管理员可上传图片、配置链接地址及调整显示顺序,确保首页视觉效果吸引用户关注。系统管理界面布局如下图 5-12所示:

轮播图上传关键代码如下:
@PostMapping("/upload")
public Map<String, Object> upload(@RequestParam("file") MultipartFile file) {
log.info("进入方法");
if (file.isEmpty()) {
return error(30000, "没有选择文件");
}
try {
//判断有没路径,没有则创建
String filePath = System.getProperty("user.dir") + "/src/main/resources/static/";
File targetDir = new File(filePath);
if (!targetDir.exists() && !targetDir.isDirectory()) {
if (targetDir.mkdirs()) {
log.info("创建目录成功");
} else {
log.error("创建目录失败");
}
}
String fileName = file.getOriginalFilename();
File dest = new File(filePath + fileName);
log.info("文件路径:{}", dest.getPath());
log.info("文件名:{}", dest.getName());
file.transferTo(dest);
JSONObject jsonObject = new JSONObject();
jsonObject.put("url", "/api/upload/" + fileName);
return success(jsonObject);
} catch (IOException e) {
log.info("上传失败:{}", e.getMessage());
}
return error(30000, "上传失败");
}
商城管理:管理员可以管商品信息、分类列表、订单列表、订单配送、优惠券、订单售后等信息,可以进行增删改查等操作。商城管理界面布局如下图 5-13所示:

管理员通过后台首页模块验证身份后进入管理系统,该模块支持账号密码登录,并可选择记住登录状态或进行双因素认证以增强安全性,后台首页包括一些统计图等信息界面。后台首页界面如下图 5-14所示:

活动管理:商家用户可以管理查看活动信息列表及添加活动详情。活动管理界面如下图 5-15所示:

在对该系统进行完详细设计和编码之后,就要对沧州市园博园商业文旅管理系统的的程序进行测试,检测程序是否运行无误,反复进行测试和修改,使之最后成为完整的软件,满足用户的需求,实现预期的功能。系统测试的目的在于确保软件正常运作,并实现其应有的功能,促进行中出现的错误和逻辑问题。系统测试不但可以找见程序运行中的系统错误,还可以找见程序运行的需要改进的地方,并去协助改良程序运行使其获得最高幅度的完备。世界一流的安装测试员可以增加软件品质,将软件系统错误概率降至最少。
本系统的主要功能就是旅游用户登录后,可搜索和浏览商品信息,并可进入咨询和下单,管理员登录系统后台后可对商品信息进行管理,包括增改删查操作。测试设计如下所示:
用户登录前首先需注册成为系统用户,使用账号和密码可进行登录。用户登录功能测试用例设计如下表所示:
表 6-1用户登录功功能测试用例
| 测试编号 | 测试目的 | 测试步骤 | 预期结果 | 实际结果 | 是否通过 |
| TC001 | 验证有效登录 | 1. 输入正确的用户名和密码 <br> 2. 点击登录按钮 | 显示登录成功,跳转至用户首页 | 登录成功,跳转至用户首页 | 通过 |
| TC002 | 验证空用户名登录 | 1. 不输入用户名,输入正确密码 <br> 2. 点击登录按钮 | 显示用户名不能为空提示信息 | 显示用户名不能为空提示信息 | 通过 |
| TC003 | 验证空密码登录 | 1. 输入正确用户名,不输入密码 <br> 2. 点击登录按钮 | 显示密码不能为空提示信息 | 显示密码不能为空提示信息 | 通过 |
| TC004 | 验证错误用户名登录 | 1. 输入错误的用户名和正确密码 <br> 2. 点击登录按钮 | 显示用户名或密码错误提示信息 | 显示用户名或密码错误提示信息 | 通过 |
| TC005 | 验证错误密码登录 | 1. 输入正确用户名和错误密码 <br> 2. 点击登录按钮 | 显示用户名或密码错误提示信息 | 显示用户名或密码错误提示信息 | 通过 |
- 商品信息模块功能测试
商品信息模块测试包括商品信息展示功能测试、商品信息添加功能测试、商品信息搜索功能测试、商品信息下单功能测试。商品信息模块测试用例如表所示。
商品信息展示功能测试用例设计如下表所示:
表 6-2商品信息展示功能测试用例
| 测试编号 | 测试目的 | 测试步骤 | 预期结果 | 实际结果 | 是否通过 |
| TC001 | 验证正常展示商品信息 | 1. 进入商品信息展示页面 <br> 2. 浏览展示的商品信息内容 | 能够正常显示商品信息内容 | 商品信息内容正常显示 | 通过 |
| TC002 | 验证商品信息链接跳转 | 1. 进入商品信息展示页面 <br> 2. 点击商品信息链接 | 能够跳转至相应商品信息详情页面 | 成功跳转至商品信息详情页面 | 通过 |
| TC003 | 验证搜索功能 | 1. 进入商品信息展示页面 <br> 2. 使用搜索功能搜索商品信息 | 显示符合搜索条件的商品信息列表 | 显示符合搜索条件的商品信息列表 | 通过 |
| TC004 | 验证物品分类展示 | 1. 进入商品信息展示页面 <br> 2. 选择物品分类 | 显示该分类下的商品信息列表 | 成功显示该分类下的商品信息列表 | 通过 |
| TC005 | 验证商品信息的评论功能 | 1. 进入商品信息详情展示页面 <br> 2. 查看商品信息并发表评论 | 评论成功显示在商品信息页面 | 评论成功显示在商品信息页面 | 通过 |
| TC006 | 验证商品信息咨询页面跳转 | 1. 进入商品信息详情展示页面 <br> 2. 点击商品信息咨询按钮 | 能够跳转至相应商品信息咨询页面 | 成功跳转至商品信息咨询页面 | 通过 |
| TC007 | 验证商品信息下单页面跳转 | 1. 进入商品信息详情展示页面 <br> 2. 点击商品信息下单按钮 | 能够跳转至相应商品信息下单页面 | 成功跳转至商品信息下单页面 | 通过 |
商品信息添加功能测试用例设计如下表所示:
表 6-3商品信息添加功能测试用例
| 测试编号 | 测试目的 | 测试步骤 | 预期结果 | 实际结果 | 是否通过 |
| TC001 | 验证添加商品信息 | 1. 进入商品信息添加界面 <br> 2. 输入商品信息信息 <br> 3. 点击添加按钮 | 商品信息成功添加到系统页面中 | 商品信息成功添加到系统页面中 | 通过 |
| TC002 | 验证商品信息物品分类选择 | 1. 进入商品信息添加界面 <br> 2. 选择物品分类 <br> 3. 输入商品信息信息 <br> 4. 提交商品信息信息 | 根据选择的商品信息物品分类成功添加商品信息 | 根据选择的商品信息类型成功添加商品信息 | 通过 |
| TC003 | 验证商品信息内容输入 | 1. 进入商品信息添加界面 <br> 2. 输入正确商品信息内容和答案 <br> 3. 点击添加按钮 | 商品信息内容成功录入系统 | 商品信息内容成功录入系统 | 通过 |
| TC004 | 验证商品信息图片上传 | 1. 进入商品信息添加界面 <br> 2. 上传商品信息相关图片 <br> 3. 点击添加按钮 | 图片成功上传并与商品信息关联 | 图片成功上传并与商品信息关联 | 通过 |
商品信息搜索功能测试用例设计如下表所示:
表 6-4商品信息搜索功能测试用例
| 测试编号 | 测试目的 | 测试步骤 | 预期结果 | 实际结果 | 是否通过 |
| TC001 | 验证商品信息输入物品名称搜索 | 1. 进入商品信息搜索界面 <br> 2. 输入物品名称 <br> 3. 确认并搜索 | 根据选择的物品名称关键词显示相关商品信息信息 | 根据选择的物品名称关键词成功显示相关商品信息信息 | 通过 |
| TC002 | 验证商品信息输入物品分类搜索 | 1. 进入商品信息搜索界面 <br> 2. 输入物品分类 <br> 3. 确认并搜索 | 根据选择的物品分类关键词显示相关商品信息信息 | 根据选择的物品分类关键词成功显示相关商品信息信息 | 通过 |
| TC003 | 验证商品信息选择审核状态搜索 | 1. 进入商品信息搜索界面 <br> 2. 输入审核状态 <br> 3. 确认并搜索 | 根据选择的审核状态关键词显示相关商品信息信息 | 根据选择的审核状态关键词成功显示相关商品信息信息 | 通过 |
商品信息下单功能测试用例设计如下表所示:
表 6-5商品信息下单功能测试用例
| 测试编号 | 测试目的 | 测试步骤 | 预期结果 | 实际结果 | 是否通过 |
| TC001 | 验证未输入订单数量,点击提交 | 1. 进入商品信息下单界面 <br> 2.未输入订单数量,点击提交 <br> 3. 点击提交按钮 | 提示请输入订单数量 | 提示请输入订单数量 | 通过 |
| TC002 | 验证未输入收获地址,点击提交 | 1. 进入商品信息下单界面 <br> 2.未输入收获地址,点击提交 <br> 3. 点击提交按钮 | 提示请输入收获地址 | 提示请输入收获地址 | 通过 |
| TC003 | 验证未输入订单备注,点击提交 | 1. 进入商品信息下单界面 <br> 2.未输入订单备注,点击提交 <br> 3. 点击提交按钮 | 提示请输入订单备注 | 提示请输入订单备注 | 通过 |
- 兼容性测试
表 6-6兼容性测试用例
| 用例编号 | 测试类型 | 测试目标 | 操作过程 | 预期结果 |
| 兼容性_01 | 设备兼容性 | 测试系统在不同设备上的表现 | 在多种设备上访问系统并记录表现 | 系统在各种设备上都能正常加载和显示页面 |
| 兼容性_02 | 浏览器兼容性 | 测试系统在不同浏览器上的表现 | 在多种浏览器中访问系统并记录表现 | 系统在各种主流浏览器上都能正常加载和显示页面 |
| 兼容性_03 | 分辨率兼容性 | 测试系统在不同分辨率下的显示效果 | 在不同分辨率的设备上访问系统并记录表现 | 系统在各种分辨率下都能适应并正常显示内容 |
| 兼容性_04 | 操作系统兼容性 | 测试系统在不同操作系统上的运行情况 | 在不同操作系统上访问系统并记录表现 | 系统能够在常用操作系统上正常运行和显示 |
- 性能测试
表 6-7性能测试用例
| 用例编号 | 测试类型 | 测试目标 | 操作过程 | 预期结果 |
| 性能_01 | 负载测试 | 测试系统在正常负载下的性能 | 逐步增加用户数来模拟不同的负载情况 | 系统能够稳定处理并响应不同数量的用户请求 |
| 性能_02 | 压力测试 | 测试系统在极端负载下的性能 | 以超过系统承受极限的用户数来测试系统 | 系统能够在高负载情况下仍然保持正常运行 |
| 性能_03 | 并发测试 | 测试系统能同时处理多少并发用户请求 | 同时发送多个并发用户请求来测试系统性能 | 系统能够有效地处理多个并发请求 |
| 性能_04 | 数据量测试 | 测试系统在大数据量下的性能 | 向系统添加大量数据并测试系统响应时间 | 系统能够在大数据量情况下保持较快的响应时间 |
全部测试用例都已通过,且不存在漏洞,实现了本论文开始时所作要求和期望。本系统运行稳定,使用流畅,可以满足客户需求。试运行后进行系统评估,可以认为该系统达到预定的目标要求,可以满足用户的需求,也满足了系统开发前所作目标。系统在经过大量重复测试后运行十分稳定,安全实用,功能模块已经达到预定目标所需。在规定的时间内实现系统的大部分功能,且满足要求,节省开发成本,有助于提高科学管理水平,符合本人经济情况。
简而言之,经过严格的测试,可以发现该系统的功能和性能非常出色,它的精度、可靠性、稳健性都达到了极高的水平,而且它还支持快速、精细的点击操作,使用者的使用感受更加良好。此外,它还支持各种主流浏览器,满足不同的使用要求。
在沧州市园博园商业文旅管理系统中,我们通过旅游用户、商家用户和管理员等角色的划分,实现了多层次的用户管理和权限控制。通过商品信息管理、旅游资讯、商城管理等功能模块,提供了便捷高效的交易体验。同时系统管理、旅游公告管理、活动信息管理、订单配送等功能的引入,进一步增强了平台的交互性和用户满意度,有效保障了交易的公平性和平台的稳定运行。旅游资讯管理和评论管理的实施,不仅丰富了平台的内容,也促进了用户之间的信息交流与互动。
在未来的发展中,可以进一步优化系统的响应速度和用户体验,加强对用户行为的分析与挖掘,以实现个性化导购和精准营销,提升平台用户体验,为用户提供更加智能化、便捷化的服务。此外,加强对安全性的防护和隐私保护,是平台未来发展的重要方向之一,保障用户信息的安全与私密性,维护良好的用户口碑和品牌形象。
通过不断优化和创新,沧州市园博园商业文旅管理系统的将更好地满足用户的多样化需求,成为用户信赖和选择的首要平台之一。通过本次项目,我不仅深入理解了Spring Boot框架的应用和沧州市园博园商业文旅管理系统的的设计思路,也积累了丰富的实际开发经验。未来,我将进一步优化系统的稳定性和安全性,引入更多智能化和个性化的功能,以更好地满足用户需求和市场变化。
参考文献
- 尹应荆.JAVA编程语言在计算机软件开发中的应用[J].石河子科技,2023,(05):45-47.
- 贾琴.Java编程语言的应用策略分析[J].集成电路应用,2024,41(10):84-85.DOI:10.19339/j.issn.1674-2583.2024.10.034.
- 宋日荣,陈钦文,陈星. 基于强化学习的分布式Android应用自动化测试方法 [J/OL]. 计算机科学, 1-11[2025-02-28].
- 苏建锋,杨艳竹. 基于Android的外业踏勘数据采集可视化平台建设 [J/OL]. 地震工程学报, 1-8[2025-02-28].
- 王志亮,纪松波.基于SpringBoot的Web前端与数据库的接口设计[J].工业控制计算机,2023,36(03):51-53.
- 熊永平.基于SpringBoot框架应用开发技术的分析与研究[J].电脑知识与技术,2021,15(36):76-77.
- 李艳杰.MySQL数据库下存储过程的综合运用研究[J].现代信息科技,2023,7(11):80-82+88.
- 王培培.基于SpringBoot的网上商城管理系统设计与实现[J].现代计算机,2024,30(07):117-120.
- 马艳艳,吴晓光.计算机软件与数据库的设计策略分析[J].电子技术,2024,53(05):104-105.
- 李俊萌.计算机软件测试技术与开发应用策略分析[J].信息记录材料,2023,24(03):50-52.
- 周春吟.JavaScript技术在Web前端开发中的应用研究[J].软件,2024,45(11):175-177.
- 潘涛,王柳,董冉冉.基于Vue.js框架的网上商城管理系统的设计与实现[J].科技与创新,2023,(13):8-10.DOI:10.15913/j.cnki.kjycx.2023.13.003.
- 向育程,段元梅.基于Java的网上商城系统[J].电脑编程技巧与维护,2024,(08):32-34.DOI:10.16184/j.cnki.comprg.2024.08.013.
- Salvadeo V ,Medina M W ,Cisterna A G .Geosites as Tourism Resources in the Laguna Brava Andean High Lagoon, a Ramsar Site from La Rioja, Argentina[J].Geoheritage,2025,17(2):41-41.
- 王娟.基于Android系统的手机网上商城设计与实现[J].电子技术与软件工程,2021,(03):43-44.DOI:10.20109/j.cnki.etse.2021.03.020.
- 幸芮.基于景点视觉信息的个性化旅游路线推荐研究[D].中南大学,2023.DOI:10.27661/d.cnki.gzhnu.2023.004916.
- 侯静雅.文旅融合背景下旅游管理专业人才培养策略[J].四川劳动保障,2024,(12):131-132.
- Kardika J A ,Khoirunnita A ,Salman , et al.Development Web-GIS of Commodity Information System for Agriculture, Establishment and Forestry in Marangkayu District[J].International Journal of Education and Management Engineering(IJEME),2022,12(5):1-8.
- 吴嘉宁,李方静,范琳珍.共话文旅新机遇共谋产业新发展[N].韶关日报,2025-03-20(A02).
- 俞慧婷,赵凯,徐芳兰.数字化助推文旅产业发展的实践策略探索——以小城镇为例[J].价值工程,2025,44(08):165-168.
在完成本论文的研究与写作过程中,我深切感受到了来自各方的帮助和支持。在此,我衷心地向所有给予我帮助的人表示最诚挚的感谢。
首先,我要特别感谢我的导师,不仅在学术上给予我无私的指导,而且在生活上给予我关怀和支持。是您严谨的学术态度和勤奋的工作精神将永远激励我不断前进。
其次,我要感谢所有教导过我的老师们,是你们精彩课堂和深入的指导为我的研究工作提供了宝贵的知识和灵感。
我还要感谢我的家人,他们的理解和支持是我完成学业的坚强后盾。在我遇到困难和挑战时,他们总是给予我鼓励和力量。
此外,我也要感谢我的朋友和同学们,你们的陪伴和帮助使我的研究生活更加丰富多彩。我们共同度过的时光将成为我一生中宝贵的回忆。
最后,我要感谢所有支持本项目,为本项目提供建设性意见的人员,没有他们的协助,本论文无法顺利完成。
再次感谢所有帮助和支持我的人,是你们的帮助使我的研究之路不再孤单。
点赞+收藏+关注 →私信领取本源代码、数据库
关注博主下篇更精彩
一键三连!!!
一键三连!!!
一键三连!!!
感谢一键三连!!!

被折叠的 条评论
为什么被折叠?



