以我的小米12为例,电池信息如下,电池容量为4500mAh,注意mAh不是能量单位,而是电量单位,可以理解为最多存储的电子的数量。

为了通过理论计算出充电时间,光知道这些信息还不够,我们还需要知道充电器的充电效率,也就是充电功率,经过测量,充电功率为63.3瓦:

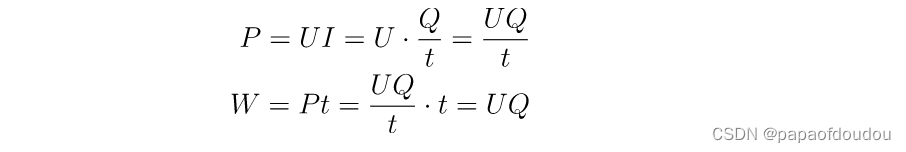
条件已经具备,知道了以上信息,我们就可以计算电池的理论充电时间了。
首先,电池电量为库伦,设电池电量为Q,待机时间为 t,锂离子电池的放电电压为U,放电功率为P,放电总功为W。
所以,根据欧姆定理:

知道Q=4500mAh=4.5A*3600s=16200库伦.
锂离子电池的放电电压一般为4.2伏特
所以:
所以,要将电池充满,需要耗费68040焦耳的能量。
那么,根据上面的测量,已知充电的电功率为63.3瓦,所以,总的充电时间为:
也就是说,通过理论计算,用这台充电功率为63.3瓦特的充电器给小米12充电,最多只要18分钟就可以充满。这和实际的情况是相符合的。
看来广告一直宣传的,20分钟充满电池,此言非虚啊。
看来,在手机电量一定的情况下,选择充电功率大一些的充电器,充电效果是非常明显的。
充电器的充电功率是如何达到63瓦的?
手机包装自带的充电器正面的具体参数如下图所示,我们可以看到,充电器可以工作在两种模式,第一种是正常模式,5伏3A,功率为15W。快充模式,电压和电流都明显增加,根据电功率计算公式,可以看到它名新能Cover到63.3的实测电功率。最高到67W。

没对比没伤害,为了体验快充的真正威力,我使用了小米笔记本的充电器(也是TYPE C口)给小米12充电作对比,记录充电功率为15W,仅仅是原装充电器的四分之一,由此可见,选择一款合适的充电器何等重要。

手机充电器充电功率增加历史:

如何加快充电效率:
增加水压(电压)

增加水流(电流)



本文以小米12为例,详细解析了其电池容量及快速充电原理。通过理论计算得出,使用63.3瓦充电器可在18分钟内充满电池。文章还探讨了提高充电效率的方法,并对比了不同充电器的效果。
1万+

被折叠的 条评论
为什么被折叠?



