判断一个函数的凹凸性在很多问题中是非常重要的。当一个函数是凸(凹)的,那么与其相关的很多优化问题可以被简单地求解。
众所周知,对于自变量为实数值的函数,可以通过计算实值函数的Hessian矩阵来判断其凹凸性。然而,当自变量是复数值时,我们甚至找不到一个统一的Hessian矩阵定义方式。那么,如何判断实值复变函数的凹凸性呢?
首先,我们来看对于实值复变函数的导数的定义。由于实值复变函数往往包含共轭或共轭转置,这就意外着这些函数很多时候是不解析的,也就是不满足柯西-黎曼条件。因此,在实值复变函数的研究中,往往采用Wirtinger导数,其定义为:

其中*代表一个数的共轭。可以看到,在Wirtinger导数中,我们认为自变量z与它的共轭是独立的。从f对z的共轭的导数我们也可以知道,f对于z的Wirtinger梯度可以被定义为

这便是函数随着自变量变化最快的方向。上述内容见Kaare Brandt Petersen等人的The Matrix Cookbook的Section 4。
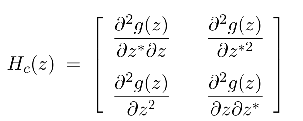
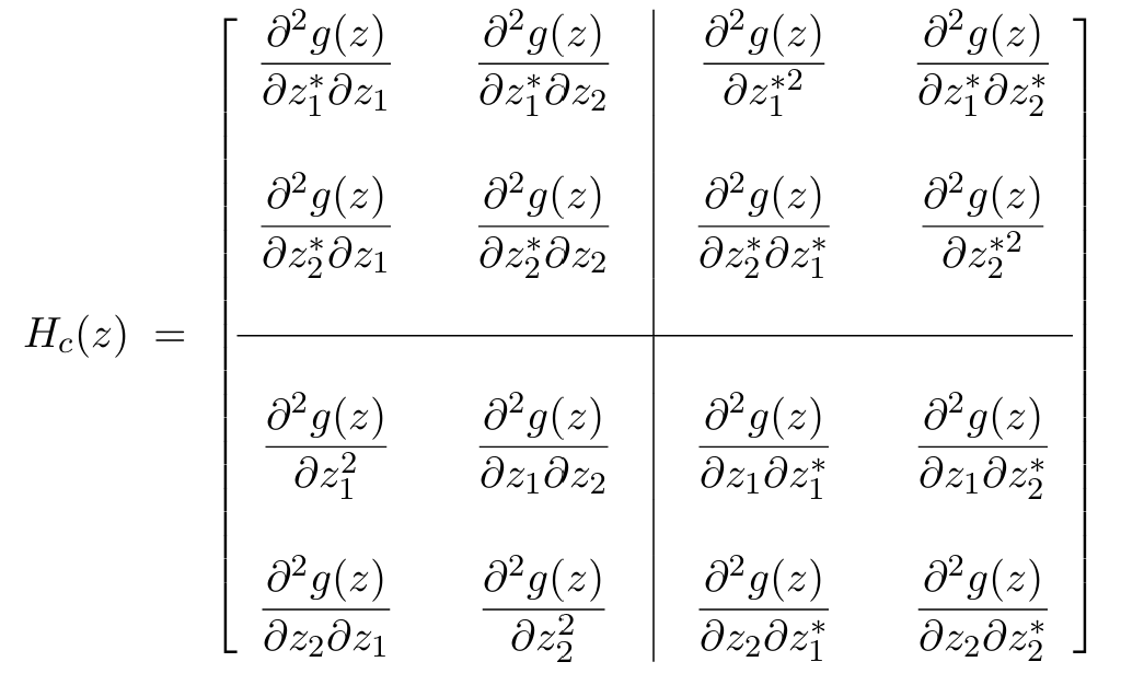
那么,Hessian矩阵又该如何定义呢?在这里,我们采用Ali H. Sayed的Adaptation, learning, and optimization over networks中的定义:

当自变量是2×1的向量时:

可以看到,对于自变量为M维向量的实值复变函数,Hessian矩阵变成了2M×2M的矩阵,其正定性可用于判断函数的凹凸性(见Adaptation, learning, and optimization over networks的Appendix B.2.2)
你可能会想,这样一个形状的Hessian矩阵,又该如何用于Taylor展开呢?事实上,当你考虑自变量是复数的时候,由于函数往往不解析,这就意味着它不能展开(Weierstrass定理),如果你非要展开,我的个人建议是首先将其看做实值函数,展开后再考虑怎么变为复变的形式(见祁忠勇等人的Convex Optimization for Signal Processing and Communications: From Fundamentals to Applications的Section 4.3.5)。
实际上,复变函数的Hessian矩阵还有很多定义,如 A. van den Bos等人的文章Complex Gradient and Hessian中的定义:

其中
。
个人研究体悟,如有错误,敬请指正。
494

被折叠的 条评论
为什么被折叠?



