1.介绍
深度优先搜索属于图算法的一种,英文缩写为DFS即Depth First Search.其过程简要来说是对每一个可能的分支路径深入到不能再深入为止,而且每个节点只能访问一次。
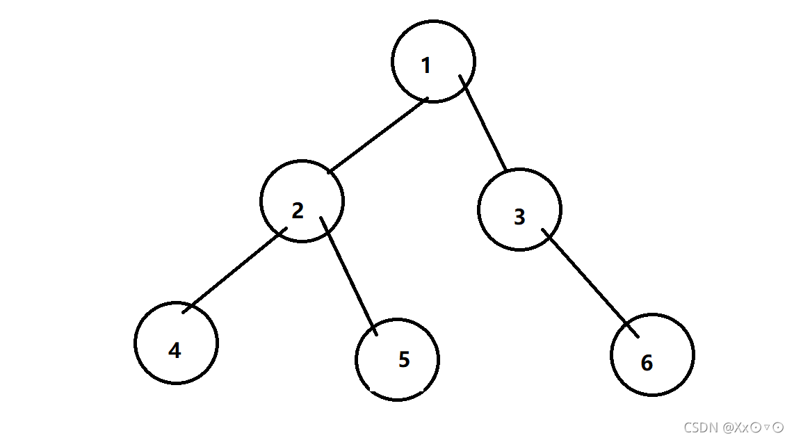
2.图例

对于这样一个图来说,假设起点为1,则深度优先遍历的遍历结果为1->2->4->5->3->6
解释
因为DFS搜索是对每一个分支路径深入到不能深入为止
所以第一步:从1->2->4,然后到了叶子节点,不能再深入了。
第二步:节点4回溯到节点2。
第三步:节点2发现还有节点5没有遍历到,于是深入到节点5。
第四步:节点5发现自己是叶子节点,没有办法深入了,于是回溯到节点2。
第五步:节点2发现节点4和节点5都已经遍历过了,于是自己的任务完成了,于是回溯到根节点1。
第六步:根节点1发现自己的儿子节点还有节点3没有遍历,于是深入到节点3。
第七步:节点3发现自己还能深入到节点6,于是深入到节点6。
第八步:节点6发现自己是叶子节点,已经没办法深入了,于是回溯到节点3,节点3回溯到节点1,节点1发现自己的左子树和右子树都访问过了,于是dfs结束。
对于这样的过程,代码如下:
输入:
1 2
1 3
2 4
2 5
3 6
0
输出:
1 2 4 5 3 6
#include<iostream>
using namespace std;
const int maxn = 7;
bool g[maxn][maxn];//邻接矩阵
bool vis[maxn];//判断是否访问过
void dfs(int start) {//输入起点
vis[start] = true;
cout << start << " ";
for (int i = 1; i < maxn; i++)
if (g[start][i] && !vis[i])dfs(i);
}
int main() {
ios::sync_with_stdio(false), cin.tie(0);
int s, e;//起点与终点
while (true) {
cin >> s;
if (s == 0)break;//如果起点为0则结束读入
cin >> e;
g[s][e] = g[e][s] = true;
}
dfs(1);
return 0;
}
这篇博客介绍了深度优先搜索(DFS)的基本概念,通过一个图例详细解释了DFS的遍历过程,并给出了相应的代码示例。内容包括从起点开始的遍历路径以及DFS的回溯步骤。
5198

被折叠的 条评论
为什么被折叠?



