目录
前言:
本学期学习了信号与系统,在学习的过程中想记录一些自己的过程,理解,和问题。特此写下这篇文章,和广大友友一起分享,学习信号与系统分析。由于还没有学完,后续章节慢慢补充,如果有遗漏的知识点或者是错误请指出,谢谢!!
一、信号
1.1 分类
连续信号与离散信号
- 1.连续信号时间必须连续(幅值可以离散)
- 2.模拟信号一定连续,连续信号不一定是模拟信号(连续信号幅值可以离散)
- 数字信号一定离散,离散信号不一定是数字信号(离散信号幅值可以连续)
周期信号与非周期信号
- 连续正弦信号一定是周期信号,而正弦序列不一定是周期序列
- 两连续周期信号之和不一定是周期信号
- 函数周期
•
• 变量k一般为离散的,变量t一般是离散的。
•
- 连续信号的周期可以是有理数,也可是无理数。
- 离散信号必须为有理数才是周期信号。
- 最大公约数要求的必须是整数才有最大公约数
- 非周期信号可以是:1.能量信号。
- 2.功率信号。
- 3.既不是能量信号,也不是功率信号。
- 2.功率信号。
能量信号与功率信号
- 能量信号 P=0;
- 功率信号E=∞
- 周期信号一定是功率信号,但功率信号不一定是周期信号
确定信号与随机信号
1.2信号的基本运算
加法与乘法
反转与平移
- 反转:一纵坐标为轴,只针对自变量
- 平移:1.只针对自变量2.左加右减
尺度变换
- 1.离散信号通常不做伸缩变换
- a>1,f(at)==f(t)沿横轴缩小为原来的1/a
- 0<a<1,f(at)==f(t)沿横轴放大为原来的1/a
- a<0,f(at)==f(t)反转+缩小/放大1/|a|
• |a|>1,则缩小
• |a|<1,则扩大
1.3阶跃函数和冲激函数
1.定义
- 阶跃函数和冲激函数被称为奇异函数
- 用广义函数和分配函数进行研究
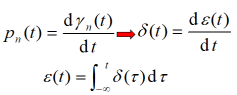
2.冲激函数与阶跃函数的关系
冲激函数的性质
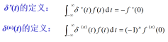
- 1.取样性质
•
- 2.冲激函数的导数(冲激偶)
•![]()

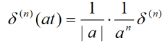
- 3.尺度变换
•
•
冲激函数的基本性质
1.4 系统
系统模拟器件

线性系统
- 性质
• 齐次性
•
• 可加性
•
- 若系统既是齐次的又是可加的,则为线性、
- 条件
• 1.可分解性
• 2.零状态线性
• 3.零输入线性
时不变系统
- 时不变性质
• 1.一般指零状态响应
•
时变系统
- 判断方法:若f (·)前出现变系数,或有反转、展缩变换,则系统为时变系统。
因果系统
- 零状态响应不会出现在激励之前的系统,称为因果系统。即对因果系统。
- 当t < t0 ,f(t) = 0时,
- 有t < t0 ,yf(t) = 0。
本文是关于信号与系统分析的学习笔记,涵盖了信号的分类(连续、离散、周期、能量、功率),基本运算(加法、乘法、反转、平移和尺度变换),阶跃和冲激函数的定义及性质,以及线性、时不变和因果系统的概念。作者分享了自己的理解和学习过程,欢迎讨论交流。





3525





