定义:
逻辑回归(Logistic Regression)是机器学习中的一种分类模型,逻辑回归是一种分类算法,虽然名字中带有回归,但是它与回归之间有一定的联系。由于算法的简单和高效,在实际中应用非常广泛。
应用:
广告点击率
是否为垃圾邮件
是否患病
金融诈骗
虚假账号
看到上面的例子,我们可以发现其中的特点,那就是都属于两个类别之间的判断。逻辑回归就是解决二分类问题的利器
原理:
逻辑回归的输入值是线性回归的输出值

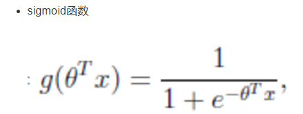
激活函数:

判断标准
回归的结果输入到sigmoid函数当中
输出结果:[0, 1]区间中的一个概率值,默认为0.5为阈值

损失及优化
逻辑回归的损失 称为 对似然函数
公式:



优化
提升原本属于1类别的概率,降低原本是0类别的概率。
逻辑回归是机器学习中的分类模型,虽名字含回归但与回归有联系,因简单高效应用广泛。它主要用于解决二分类问题,如广告点击率、垃圾邮件判断等。其输入是线性回归输出值,经sigmoid函数输出概率值,默认以0.5为阈值,损失用对似然函数,优化是提升1类概率、降低0类概率。
1257

被折叠的 条评论
为什么被折叠?



