计算机毕设 java 校园拍卖网站 6593t9 (配套有源码 程序 mysql 数据库 论文)本套源码可以先看具体功能演示视频领取,文末有联 xi 可分享
在环保理念日益深入人心的当下,校园内闲置物品流转需求不断增加,传统线下拍卖模式存在流程繁琐、参与度低、信息传播有限等问题,难以满足师生高效处置闲置物品的需求。为盘活校园闲置资源、促进资源循环利用,开发一款线上校园拍卖网站,实现闲置物品的便捷竞拍与交易,成为校园信息化建设的重要方向。
系统围绕竞拍全流程设计核心功能,涵盖用户管理、商品分类、竞拍管理、订单处理、系统配置等模块。用户可注册登录、浏览竞拍商品、查看商品详情、在线出价、查看出价记录,还能发布竞拍商品、与客服在线咨询;管理员可管理用户信息、维护商品类别、审核竞拍商品、处理订单、管理通知公告与轮播图,同时支持管理员账号维护功能。此外,系统还具备商品搜索、价格筛选、竞拍倒计时、一口价购买、订单跟踪等功能,实现了从商品发布、竞拍角逐到交易完成的全流程线上化。
这些功能打破了传统拍卖的时空限制,简化了竞拍流程,既为师生提供了高效处置闲置物品的渠道,又通过规范的审核与交易机制保障了双方权益,助力校园闲置资源的合理流转与环保理念的传播。
注:以上是纯毕业设计介绍,并非实际开发完成,最终开发完成的毕业设计程序以下面的的环境软件、功能图和界面为准。
系统所需要的环境软件:idea、eclipse+mysql5.7、8.0+Navicat+JDK1.8+tomcat7.0
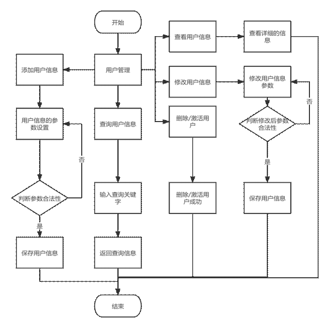
3.4.1 用户管理的流程
用户管理包括:添加用户信息,查看用户信息,修改用户信息,删除/激活用户信息。添加用户信息后设置用户信息的参数,如果参数合法,保存用户信息,否则需要重新设置参数;查询用户信息需要输入查询关键字,然后返回查询信息;查看用户信息就可以查看详细的信息;修改用户信息需要修改参数,如果修改后的参数合法,保存用户信息,否则需要重新修改参数;删除/激活用户信息后删除/激活用户信息成功。用户管理的流程如图3-1所示[8]。

3.4.2 个人中心管理流程
进入主页面后点击个人中心查看,点击修改密码进入修改密码页面,输入原密码和新密码,判断是否符合要求,如果符合要求即可保存,否则需要重新输入。个人中心管理流程如图3-2所示[9]。

图3-2 个人中心管理流程
3.4.3 登录流程
进入登录界面后,输入用户名和密码,选择角色后验证,如果正确进入主界面,否则需要重新输入[10]。登录流程如图3-3所示。

图3-3 登录流程
3.5 项目设计目标与原则
3.5.1系统总体描述
关于校园拍卖网站的基本要求
(1)功能要求:用户的信息共享、一些数据的增删查改和访问、用户和管理员数据的查找及管理等常见的功能。
(2)性能要求:在各种各样的操作系统上,无论是用户还是管理员都能够顺利的登录该校园拍卖网站,且成功登录后完成相应的操作和预期的目的,顺利执行各个页面功能。
(3)安全性保密规定:管理员的登录一定要进行安全监测。管理员通过特定的账号和密码登录并要进行身份验证才能进入下一个界面从而进行一些内部操作[13]。
(4)系统的运行环境要求:支持Windows等一系列操作平台。
3.5.2开发目标
校园拍卖网站的主要开发目标如下:
(1)对零碎化、分布散的校园拍卖网站信息进行收纳、整理,通过网络服务平台使这些信息内容更加调理,更加方便化和清晰化,让访问该系统的每个用户享受浏览的过程。
(2)生活中存在的一些现象:人员冗余。校园拍卖网站应尽量减少管理员和用户的需求压力,给他们提供省时省力省心的服务平台,降低其工作量。
(3)便于查询信息及管理信息等。
(4)通过计算机网络技术,提升解决管理问题和技术工作的质量,为管理员和用户提供一种规范方便的服务。
(5)该系统的面向用户为管理员和用户,系统的设计风格应该简约整洁,操作容易上手,目标信息明确,避免花里胡哨。
(6)为社会稳定和发展贡献一份力量。
4系统设计
4.1 软件功能模块设计
校园拍卖网站分为两个模块,分别是用户功能模块和管理员功能模块。用户功能包括:注册、登录、首页、竞拍商品、通知公告、后台管理、在线客服、个人中心。后台功能模块包括:个人中心、用户管理、商品类别管理、竞品商品管理、管理员管理、系统管理、订单管理。
网站整功能如下图所示。

图4-1校园拍卖网站总体功能模块图
4.2 数据库设计
4.2.1 概念模型设计
学习程序设计,如果要了解数据库管理系统或者是根据需求而制定的系统接口,就必须创建一种数据库管理系统的模式,用来保存数据资料,这样当在应用编程过程中时候,就不需要再向操作系统页面上加载信息,进而增加了整个系统的工作效率。信息库管理系统中保存着许多数据,应该说是一个管理信息系统建设的中心和基础,而信息库管理系统也为管理信息系统建设提出了新增、删除、更改和搜索的操作功能,使管理信息系统建设能够迅速地查询所需要的数据,而不会直接从程序代码中查找。信息库管理系统通过将信息表的各个组成部分按照特定的方法准确地合并,排序和组成信息库管理系统。
通过对校园校园拍卖网站的主要功能信息进行规划并分为若干功能实体信息[14],实体信息将使用E-R图加以表示,本系统的主要功能实体图下图所示。
用户信息实体图如图4-2所示。

图4-2用户信息实体图
通知公告实体图如图4-3所示。

图4-3通知公告实体图
竞品记录实体图如图4-4所示。

图4-4竞品记录实体图
5 系统功能实现
5.1前台功能模块
用户如果需要登录校园拍卖网站,则需要通过输入用户账号、密码、用户姓名、头像、性别、联系方式等,进行在线注册的操作,用户注册页面如图5-1所示。

图5-1用户注册界面图
用户注册后,通过输入正确的账号和密码,进行登录的操作,用户登录页面如图5-2所示。

图5-2用户登录界面图
用户登录到校园拍卖网站后,可以对首页、竞拍商品、通知公告、后台管理、在线客服、个人中心等功能模块进行管理,用户功能主页面如图5-3所示。
图5-3用户功能界面图
个人中心:在个人中心页面,用户可以更新更热信息、充值余额、对我的订单、我的地址、我的收藏、我的参拍等内容进行管理,具体操作如下图所示。

图5-4-1个人中心界面图
图5-4-2添加收货地址界面图
图5-4-3我的订单界面图
通知公告:点击通知公告,用户可以查看标题、简介、发布时间等通知公告,通知公告详情页面图5-5所示。

图5-5通知公告界面图
竞拍商品:在竞拍商品列表页面,用户通过输入商品名称、品牌、拍品详情、用户账号、价格等可以进行查询竞品商品的操作;进入竞拍商品详情页面,用户可以查看竞拍商品详情信息,并进行在线收藏、出个价、评论、查看出价记录等操作;用户点击出个价,进行在线出价后,可以在出价记录里查看所有的出价记录详情;当竞品时间结束,用户的出价最高时,会显示竞拍成功 立即付款的提示,用户可以付款,成功竞品商品。具体操作如下图所示。

图5-6-1竞拍商品列表界面图

图5-6-2竞拍商品详情界面图

图5-6-3出个价界面图

图5-6-4查看出价记录界面图

图5-6-5竞品成功 立即付款界面图

图5-6-6确认下单界面图
在线客服:点击在线客服,用户可以输入内容进行咨询,管理员在后台查看后可以回复,具体操作如下图所示。

图5-7在线客服界面图
5.2管理员功能模块
管理员登录,管理员通过输入账号、密码,选择角色并点击登录进行系统登录操作,如图5-8所示。

图5-8管理员登录界面图
管理员登录系统后,可以对个人中心、用户管理、商品类别管理、竞品商品管理、管理员管理、系统管理、订单管理等功能进行相应操作,如图5-9所示。

图5-9管理员功能界图面
用户管理:在用户管理页面,管理员可以通过输入用户账号、用户姓名、性别等进行查询,并进行新增的操作;管理员还可以对已注册的用户信息进行在线查看详情、修改、删除等操作,用户管理页面如图5-10所示。

图5-10用户管理界面图
点击商品类别管理,管理员可以新增商品类别和查询商品类别,并对已有的商品类别信息进行修改、删除等操作,商品类别管理页面如图5-11所示。

图5-11商品类别管理界面图
点击竞拍商品管理,管理员可以对已有的竞拍商品进行查看详情、审核、修改、查看评论、查看出价记录、删除等操作,竞拍商品管理如下图所示。

图5-12竞拍商品管理界面图
管理员管理:在管理员管理页面,管理员可以对管理员信息进行新增、修改、删除的操作,管理员管理如下图所示。

图5-13管理员管理界面图
系统管理:在系统管理页面,管理员可以对拍卖助手、关于我们、轮播图管理、系统简介和通知公告进行管理,系统管理页面如下图所示。

图5-14轮播图管理界面图

图5-15通知公告管理界面图
点击订单管理,管理员可以查看用户所有的订单状态和详情,并进行相应操作;订单管理页面如下图所示。

图5-16订单管理界图面
5.3用户后台功能模块
点击竞拍商品管理,用户可以对已有的竞拍商品进行查看详情、修改、查看评论、查看出价记录、删除等操作,用户还可以在线新增竞拍商品,竞拍商品管理如下图所示。

图5-17竞品商品管理界图面
点击订单管理,用户可以查看其他用户所有的订单状态和详情,并进行相应操作;点击已支付订单,用户可以进行在线发货,订单管理页面如下图所示。

图5-18订单管理界图面
源码无偿分享,文未领取
769

被折叠的 条评论
为什么被折叠?



