按照业务建模、需求、分析、设计工作流考察,答案不直接给出,可访问自测链接或扫二维码自测,做到全对才能知道答案。
知识点见《软件方法》(http://www.umlchina.com/url/softmeth.html)、
“软件需求设计方法学全程实例剖析”幻灯片(http://www.umlchina.com/training/slide.html)以及UMLChina公众号文章。
自测链接:https://www.101test.com/cand/index?paperId=MGOO4I
或扫以下二维码:
1 [多选]
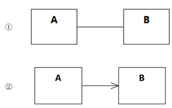
平时我们建模类之间的关联时,会画成①或②的样子。

实际上,这是一种简化的表示。如果严格地设置关联的方向,可能会得到③④⑤⑥的样子。

以下说法正确的有:
A) ①缺省的含义是⑤
B) ①缺省的含义是⑥
C) ②缺省的含义是③
D) ②缺省的含义是④
2 [单选]
假设有以下转换:

针对以上资料,以下选项中说法正确的是:
A) 相对于上方的模型,下方的模型进一步提炼了领域概念。
B) 相对于上方的模型,下方的模型消除了代码中的条件语句。
C) 这个转换不是很合适,更合适的做法是把“税率”作为“人”的属性,进一步精简模型。
D) 相对于上方的模型,下方的模型开发和维护的成本更小,所以复用的可能性更大,从而更体现领域的内涵。
3 [多选]
张三目前做的项目是一个医院管理系统,用.NET来实现。如果张三以前没有接触过模式,现在想学习一些对自己项目的分析设计有帮助的模式,请问以下列出的书中(假设都真实存在),优先学习哪两本?
A) 《设计模式》(Erich Gamma等)
B) 《分析模式》(Martin Fowler)
C) 《.NET架构模式》(…佚名…)
D) 《医疗卫生领域实体-关系图集锦》(…佚名…)
4 [单选]
有一个男人叫小帅,他有一个明面女友叫小美,还有一个地下女友叫有容。
那么,小帅和小美、有容之间存在_______________。
请从以下选项中挑选最精确的词汇填入空白处。
A) Connection
B) Relationship
C) Association
D) Link
5 [多选]
张三在画领域模型。一个人一生中可能会和多个人有婚姻关系,张三画了一个人员的1对多自反关联。
接下来,张三在写目标系统的需求规约时,认识到目标系统只需要记住某人当前的配偶是谁。
假设仅在国内现行法律框架内讨论。
以下说法正确的有:
A) 目标系统的分析类图上应该是人员的1对1自反关联。
B) 同样的领域知识,在不同的目标系统中可能会有不同的含义,从而分析模型也会不同。
C) 这反映了领域驱动设计限界上下文的重要性,对领域模型做了DDD上下文降维切片式精准风暴映射。
D) 分析类图的1对1自反关联和领域模型的1对多自反关联不是同一个关联。
6 [多选]
如果系统有以下类图和对象图:

请问,以下说法中哪些是合适的?
A) 大床房是房间的一种。
B) "大床房"是房间的一种实例。
C) "大床房"是房型的一个实例。
D) "大床房"是房型的一种实例。
7 [单选]
目标系统是一款餐饮管理系统,请问“莲藕炖排骨”在以下哪种情况下可以建模成一个类?
A) “莲藕炖排骨”可以作为一个菜品类别出现在餐馆的菜单上。
B) 系统需要记录餐馆出品的每一道成品菜的食材真实用量(例如某一份莲藕炖排骨中实际放了莲藕多少克,排骨多少克)以及顾客反馈等信息。
C) 部署餐饮管理系统的餐馆提供了“莲藕炖排骨”这道菜。
D) 系统需要记录莲藕炖排骨的详细信息,包括食材和调料的标准用量、烹调的标准步骤等。
8 [多选]
如果有以下类图:

关于映射到典型面向对象编程语言和映射到关系数据库的说法,以下正确的有:
A) 映射到关系数据库时,会得到一个表M,里面有A和B的ID作为外键。
B) 映射到关系数据库时,会得到A和B两个表,两个表以对方的ID作为外键。
C) 根据M的方向可知,映射到典型面向对象编程语言时,类B中会有一个属性是A的实例集合,但名字不能从图上得出。
D) 映射到典型面向对象编程语言时,类A中会有一个名为x的属性。
9 [多选]
如果用于实现用例的分析类图的关键部分长得像用例图,例如:

以下说法合理的有:
A) 这样做符合领域驱动设计投资少、产量高的精神。
B) 很有可能类图中的这些类和关系不是能用于实现用例的关键类和关系。
C) 如果类图中的这些类和关系确实是目标系统需要维护的关键信息,那么用例图上的用例很可能不是目标系统带来的关键价值。
D) 如果需要进一步贯彻领域驱动设计的精神,还可以使用领域驱动设计的“换词”技巧,把用例的名字从“召唤网约车”改为“叫车”,把类名“乘客”改为“搭客”,以营造类图和用例图差别很大的形象。
10 [多选]
在分析工作流画类图时,类图上的关联会表现为以下形状之一(故意抹去了多重性和可能存在的关联方向):

以下说法正确的有:
A) 如果用“A的B”和“B的A”来称呼,就足以表达领域知识,则表达成①即可。
B) ②是最简洁和本质的,不但说明了关联的名称,还暗示了关联的方向。
C) 如果有条件表达成③,就不要表达成②。
D) 如果什么都不加不合适,但又暂时无法判定关联的方向,可暂时表达成②。

976

被折叠的 条评论
为什么被折叠?



