第四章 专题:抽样估计
1. 抽样分布
分布:横坐标-样本值,纵坐标-出现概率
例子:某车间班组5个工人的时工资为34,38,42,46,50元,采用 重复抽样方法从5个工人中随机抽取2人构成样本。
抽取可能:

得到抽样分布图:

能计算出抽样期望:

1.1 抽样分布定理
正态分布的再生定理:
若总体符合正态分布Xi−N(E(xˉ),Var(x))X_i-N(E(\bar x),Var(x))Xi−N(E(xˉ),Var(x)),则样本均值也符合正态分布。
Var(x)=m(c=2)=∑(xi−xˉ)2/n=方差=S2=标准差的平方Var(x)=m_{(c=2)}=\sum (x_i-\bar x)^2/n=方差=S^2=标准差的平方Var(x)=m(c=2)=∑(xi−xˉ)2/n=方差=S2=标准差的平方
S为标准差
二阶中心动差即方差
Var(xˉ)=Var(x)n=S2n(重复抽样)Var(\bar x)=\frac{Var(x)}{n}=\frac{S^2}{n}(重复抽样)Var(xˉ)=nVar(x)=nS2(重复抽样)
Var(xˉ)=Var(x)n(1−f)=S2n(1−f)(不重复抽样)Var(\bar x)=\frac{Var(x)}{n}(1-f)=\frac{S^2}{n}(1-f)(不重复抽样)Var(xˉ)=nVar(x)(1−f)=nS2(1−f)(不重复抽样)
n为抽样数量,Var(xˉ)Var(\bar x)Var(xˉ)是抽样分布的方差
例题:
某厂商产量数以亿计,声称其生产的产品具有均值为60个月,标准差为6个月的寿命分布。假设质检部门决定检验该厂的说法是否准确,为此随机抽取(不重复抽样)该厂生产的50件产品进行寿命试验。 请问:
(1)假定厂商声称是正确的,请描述50件产品的平均寿命的抽样分布;
(2)假定厂商声称是正确的,则50件产品组成的样本的平均寿命不超过57个月的概率是多少?
解:
(1)
平均寿命的均值为60月;
平均寿命的方差=6250\frac{6^2}{50}5062=0.72,标准差约为0.85月;
即,平均寿命服从均值60月,方差0.72的正态分布。
(2)
P(Xˉ≤57)=P(Xˉ−600.85≤57−600.85)=P(Z≤−3.529)=1−P(Z≤3.529)=1−0.998=0.0002P(\bar X\leq57)=P(\frac{\bar X-60}{0.85}\leq\frac{57-60}{0.85})=P(Z\leq-3.529)\\=1-P(Z\leq3.529)\\=1-0.998=0.0002P(Xˉ≤57)=P(0.85Xˉ−60≤0.8557−60)=P(Z≤−3.529)=1−P(Z≤3.529)=1−0.998=0.0002
2. 抽样误差
2.1 抽样标准误
抽样分布的标准差我们一般也叫抽样标准误,记作Se(xˉ)Se(\bar x)Se(xˉ)
2.2 抽样极限误差
以样本统计量估计总体参数时所允许的最大误差范围 Δ\DeltaΔ
概率度 Zα/2Z_{\alpha/2}Zα/2:
置信水平 1−α1-\alpha1−α
反映的是极限误差的相对程度

有公式:
Δ=Zα/2∗Se(xˉ)\Delta=Z_{\alpha/2}*Se(\bar x)Δ=Zα/2∗Se(xˉ)
3. 区间估计
区间估计是用一个具有一定可靠程度的区间范围来估计总体参数。
区间估计的两个基本要求是置信度和精确度。
区间越大,覆盖总体参数值的可能性越高,但其精确度越低。
区间估计步骤:
- 第一步:根据样本数据计算Se(xˉ)Se(\bar x)Se(xˉ)
- 第二步:给定置信水平 1-α\alphaα,计算出Za/2Z_{a/2}Za/2
- 第三步:计算出总体均值的估计区间Δ\DeltaΔ
例题:
某企业生产某种产品的工人有1000人,某日采用不重复抽样从中随机抽取100人调查他们的当日产量。要求在95%概率保证程度下,估计该厂全部工人的人均日产量。

解:
fif_ifi是各项占比,fff是样本占总的比
第一步:计算抽样标准误差
xˉ=∑xifi∑fi=116∗7+120∗18+...+140∗4100=126件\bar x=\frac{\sum x_if_i}{\sum f_i}=\frac{116*7+120*18+...+140*4}{100}=126件xˉ=∑fi∑xifi=100116∗7+120∗18+...+140∗4=126件
s=∑(xi−xˉ)2fi∑fi−1=6.47件s=\sqrt{\frac{\sum(x_i-\bar x)^2f_i}{\sum f_i-1}}=6.47件s=∑fi−1∑(xi−xˉ)2fi=6.47件
Se(xˉ)=s2n(1−f)=6.472100(1−1001000)=0.614件Se(\bar x)=\sqrt{\frac{s^2}{n}(1-f)}=\sqrt{\frac{6.47^2}{100}(1-\frac{100}{1000})}=0.614件Se(xˉ)=ns2(1−f)=1006.472(1−1000100)=0.614件
第二步:计算抽样极限误差
第五章 假设检验
事先对总体参数或者总体分布做出某种假设,利用样本信息来判断假设是否成立。
1. 假设验证的原理
小概率原理:
我们引入一个概念:显著性水平α\alphaα
当α≤0.05\alpha\leq0.05α≤0.05则我们则称之为小概率
反证法:
基于假设计算样本结果的可能性,观察显著性水平。
假设验证的步骤:
提出假设-构建验证统计量-确定拒绝域-做出决策
例子:
- 【总体】:已知去年新生婴儿的平均体重为3190g,标准差为 80。
- 【问题】:今年的新生婴儿与去年相比,体重有无显著差异?
- 【样本】:随机抽取100人,测得平均体重为3210g。
解决:
- 第一步:提出假设
原假设:Wnow=Wlast=3190gW_{now}=W_{last}=3190gWnow=Wlast=3190g
备择假设:Wnow≠WlastW_{now}\neq W_{last}Wnow=Wlast - 第二步:构建检验统计量:
标准离差:
(标准离差表示样本数据的离散程度)
z=xˉ−μ0S/n=3210−319080/100=2.5z=\frac{\bar x-\mu_0}{S/\sqrt{n}}=\frac{3210-3190}{80/\sqrt{100}}=2.5z=S/nxˉ−μ0=80/1003210−3190=2.5 - 第三步:确定拒绝域

所以,有显著差异
2. 单个总体均值的检验
我们研究的问题:

2.1 检验统计量的选择
我们一般使用标准离差作为检验统计量

例子:
某批发商欲从厂家购进一批灯泡,根据合同规定,灯泡的使用寿命平均不能低于1000小时。已知灯泡使用寿命服从正态分布,标准差为20小时。在总体中随机抽取100只灯泡, 测得样本均值为960小时。批发商是否应该购买这批灯泡? (α\alphaα=0.05)
解:
- 第一步:提出原假设与备择假设
H0:μ>=1000 H1:μ<1000H_0:\mu >=1000\space H_1:\mu<1000H0:μ>=1000 H1:μ<1000 - 第二步:构建检验统计量
z=960−100020100=−2z=\frac{960-1000}{20\sqrt{100}}=-2z=20100960−1000=−2 - 第三步:确定拒绝域:
因为α=0.05\alpha=0.05α=0.05

因为z=-2,存在证据表明该批灯泡的寿命低于1000小时
3. 两个总体均值的检验
我们研究的问题:

检验统计量:
z=(xˉ1−xˉ2)−(μ1−μ2)s12n1+s22n2z=\frac{(\bar x_1-\bar x_2)-(\mu_1-\mu_2)}{\sqrt{\frac{s_1^2}{n_1}+\frac{s_2^2}{n_2}}}z=n1s12+n2s22(xˉ1−xˉ2)−(μ1−μ2)~N(0,1)
例题:
根据历史资料得知,A、B两种机器生产出的弹簧其抗拉强度的标准差分别为8公斤和10公斤。从两种机器生产的产品中各抽取一个随机样本,样本容量分别为n1n_1n1=32,n2n_2n2=40,测得两个样本的均值分别为50和44公斤。问这两种机器生产的弹簧,平均抗拉强度是否有显著差别? ( α\alphaα= 0.05)
解:
- 第一步:提出假设与备择假设
H0:μ1−μ2=0 H1:μ1−μ2≠0H_0:\mu_1-\mu_2=0\space H_1:\mu_1-\mu_2\neq0H0:μ1−μ2=0 H1:μ1−μ2=0 - 第二步:构建检验统计量
z=(50−40)−064/32+100/40=2.83z=\frac{(50-40)-0}{\sqrt{64/32+100/40}}=2.83z=64/32+100/40(50−40)−0=2.83 - 第三步:确定拒绝域:

所以,具有显著性差异
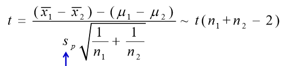
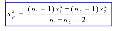
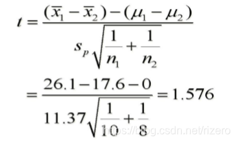
关于 t 检验
也就是我们的检验统计量


例题:欲研究A、B两种方法组装某种产品所用的时间是否 相同。选取部分工人进行抽样分析。已知用两种工艺组装产 品所用时间服从正态分布,且s1s_1s1=s2s_2s2 。试问能否认为B方 法比A方法组装更好?(α\alphaα= 0.05)

解:
- 第一步:提出原假设和备择假设
H0:μ1−μ2≤0 H1:μ1−μ2>0H_0:\mu_1-\mu_2\leq0\space H_1:\mu_1-\mu_2>0H0:μ1−μ2≤0 H1:μ1−μ2>0 - 第二步:构造检验统计量

- 第三步:确定拒绝域

本文深入探讨了抽样估计的基础理论,包括抽样分布、抽样误差及区间估计,并通过实例解析了假设检验的过程,涵盖了小概率原理、检验统计量选择及两个总体均值的检验方法。
1388

被折叠的 条评论
为什么被折叠?



