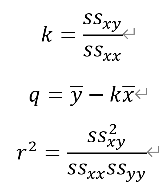
最小二乘
This question will develop a set of functions to least square fit the linear model 𝑦=𝑘𝑥+𝑞 to arbitrary data provided in an input file, i.e. identify the coefficients 𝑘 and 𝑞 to optimally overlap the data points (𝑥, 𝑦) available in the input file.
本问题将开发一套函数,对输入文件中的任意数据进行线性模型𝑦=𝑘𝑥+𝑞的最小二乘拟合,即识别出系数𝑘和𝑞,使输入文件中可获得的数据点(𝑥,𝑦)最优重叠。
#include <stdio.h>
#include <stdlib.h>
#include <math.h>
typedef struct {
char *filename;
int num_points;
double *x;
double *y;
} data;
typedef struct {
double k;
double q;
double r2;
} fitcoef;
/* 4-4 */
int data_size(char filename[]){
FILE *fp = NULL;
int ans=0;
double x,y;
fp = fopen(filename, "r");
if(fp == NULL){
return -1;
}
while(fscanf(fp,"%lf %lf",&x,&y)!=EOF){
ans++;
}
fclose(fp);
return ans;
}
/* 4-5 */
int data_read(data* m_data){
FILE *fp = NULL;
int idx=0;
m_data->x=(double*) malloc((m_data->num_points)*sizeof(double));
m_data->y=(double*) malloc((m_data->num_points)*sizeof(double));
fp = fopen(m_data->filename, "r");
if(fp == NULL){
return -1;
}
for(int i=0;i<m_data->num_points;i++){
fscanf(fp,"%lf %lf",&(m_data->x[idx]),&(m_data->y[idx]));
idx++;
}
fclose(fp);
return 0;
}
/* 4-6 */
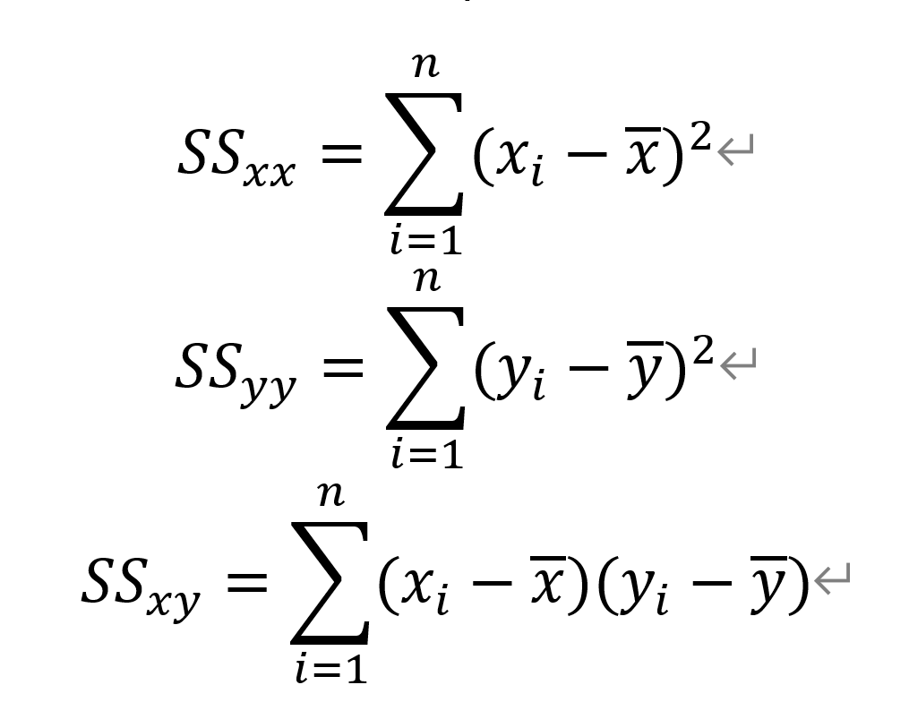
fitcoef linear_fit(data* m_data){
fitcoef ans;
double _x = 0.0, _y = 0.0;
double s_xx = 0.0, s_yy = 0.0, s_yx = 0.0;
for(int i=0;i<m_data->num_points;i++){
_x+=m_data->x[i];
_y+=m_data->y[i];
}
_x/=m_data->num_points;
_y/=m_data->num_points;
for(int i=0;i<m_data->num_points;i++){
s_xx+=pow(m_data->x[i] - _x,2.0);
}
s_xx/=m_data->num_points;
for (int i = 0; i < m_data->num_points; i++) {
s_yy += pow((m_data->y[i] - _y),2.0) ;
}
s_yy/=m_data->num_points;
for (int i = 0; i < m_data->num_points; i++) {
s_yx += (m_data->x[i] - _x) * (m_data->y[i] - _y);
}
s_yx/=m_data->num_points;
ans.k=s_yx/s_xx;
ans.q=_y-ans.k*_x;
ans.r2=s_yx*s_yx/s_xx/s_yy;
return ans;
}
/* 4-7 */
void print_data(data* m_data){
printf("\nData file: %s\n", m_data->filename);
printf("Number of data points: %m_data\n\n", m_data->num_points );
printf(

本文介绍了一个用于最小二乘线性拟合的C程序,包括数据读取、拟合及结果输出等功能。此外,还探讨了向量旋转及洛伦兹方程的数值解法。
最低0.47元/天 解锁文章
587

被折叠的 条评论
为什么被折叠?



