前言
讲的是在一个有向图形成的网络中,我们需要找到其中的最大流量。
这个问题是实际上也是有很大用处的。
我们先描述一下问题:
输入一个有向加权图(权值为这条边的最大容量),这个图有起点和终点,起点只有出度,终点只有入度,我们需要计算出从起点到终点的最大流量。
举例:

在这个问题中,我们的最大流量为30。
解决办法
先尝试找一条路径吧:
就按照上面的例子,这里我们使用深度优先的树搜索方式,找到的路径为s->u->v->t。
(这里面不需要看权值,只是随便找一个。如果不知道树搜索的原理,这里有博客。)

这时我们想要再重新找出一条路径,发现就没有了!(我们只有u->v的边)
很明显,因为我们最开始的选择不合适,导致做不出来了。
我们当然可以通过寻找一种贪心的方式来每一次直接确定最优解,但是这很难,这里给另外一种方式:
在取完路径之后,我们给出一个新的概念——余图。
在网络图和流图的基础上,我们给出几个关键点:
- 在网络图中我们可以将流图用掉的部分反向,通过再利用进行抵消。
(比如图中的u->v,我们只需要10,但是最开始就用了20,如果将其反过来,我们就能重复利用,找到更优解) - 网络流的边是可以拆分的,比如一个a到b的路径我们只用了一部分,就需要将路径拆成两部分,将其中一部分反向。
余图:
因为s到u的20都用了,所以直接反向;u到v的只用了20,我们将这部分反向,两条线放在那就行。
(别看两个方向相反就直接上去抵消了,反而会有影响)

将余图当成新的网络图,再次得到一个流图,然后求余图……直到我们再也找不到从起始点到终点的路径,算法就可以结束了。
原理其实就是我们本来是可以不用这么多的,或者说是可以进行分流(一个流在一个顶点分为两个流)
但是深度优先不能实现,所以我们通过反向的方式来保证边能被重复使用,进行抵消。
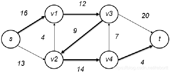
另一个例子

接下来我们好好分析一下。
先选s - 1 - 3 - 2 - 4 - t,没错我们就要整活。
因为4到t有限制,所以我们取的流为4。
接下来求出余图:

然后我们选择s - 2 - 1 - 3 - t的路径,最大因为2到3的限制,为4。

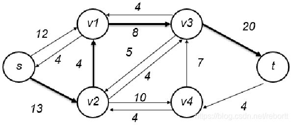
不断进行下取,最终的答案是这样的:

最大流加起来就是23
其实也不想要每一次记录流是多少,直接数最后的图都行,但是我们最好是看这张图,更明显:

博客聚焦有向图网络的最大流量问题,先描述问题,即输入有向加权图,计算从起点到终点的最大流量。接着给出解决办法,通过深度优先树搜索找路径,引入余图概念,将流图用掉部分反向抵消,不断求余图直至找不到路径。最后通过例子分析得出最大流。
1740

被折叠的 条评论
为什么被折叠?



