问题描述:给定一个自然数n,由自然数n开始可以依次产生半数集set(n)中的数如下:
(1)n属于set(n)
(2)在n的左边添加一个自然数,但该数不能超过最近添加的数的一半
(3)按此规则,直到不能添加为止
例如:set(6)={6,16,26,36,126,136}=6
算法设计:对于给定的自然数n,计算set(n)中的元素个数
输入:自然数n
输出:元素个数和元素内容
算法思想:以6为例。按照规则,新加入的数字小于等于6的一半——3。所以6进行一轮,添加了1,2,3三个数字组合为16,26,36。接下来发现只有26和36可以按照规则继续加数字。

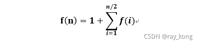
根据规则,对每一个数n最多可以添加n/2个数字且不重复,如果把每一个自然数看作树的节点,那么对一棵树上的节点来说都有n/2个子节点。符合分治策略的使用条件。有如下递归式:

根据树的性质,我们可以采用一维数组来遍历set(n)中的元素。
| 6 | |||
| 6 | 1 | ||
| 6 | 2 | 1 | |
| 6 | 3 | 1 |
代码如下
#include<iostream>
#include<cstring>
using namespace std;
int a[10^5];
int set(int n, int i) {
a[i] = n;
for (int j = i; j >= 1; j--) {
cout << a[j];
}
cout << endl;
int ans = 1;
for (int k = 1; k <= n / 2; k++) {
ans += set(k, i + 1);
}
return ans;
}

递归的时间复杂度为O(n^n)。
通过递归式,我们发现包含许多重复计算和重复元素。重复计算浪费了很多计算时间。
对此,针对重复计算问题,优化代码如下:
//递归优化
int set_new(int n, int i)
{
a[i] = n;
for (int j = i; j >= 1; j--) { //遍历数组(从后往前)
cout << a[j];
}
cout << endl;
int ans = 1;
if (b[n] > 0)return b[n];
for (int k = 1; k <= n / 2; k++) {
ans += set(k, i + 1);
}
b[n] = ans;
return ans;
}
对于半数单集问题:
//半数单集
int set_new_new(int n, int i)
{
a[i] = n;
for (int j = i; j >= 1; j--) { //遍历数组(从后往前)
cout << a[j];
}
cout << endl;
int ans = 1;
if (b[n] > 0)return b[n];
for (int k = 1; k <= n / 2; k++) {
ans += set(k, i + 1);
if ((i > 10) && (2 * (i / 10) <= i))
ans -= a[i / 10];
}
b[n] = ans;
return ans;
}
半数集问题解析与C++实现
本文探讨了半数集问题,给出了问题描述、算法设计和C++实现。通过对自然数n按照特定规则产生半数集,计算集合元素个数。递归算法的时间复杂度为O(n^n),存在重复计算。文章提供了优化后的代码,减少了计算时间。
265

被折叠的 条评论
为什么被折叠?



