二元一次不定方程的整数解(扩展欧几里得算法)
(不得不说这是一堂数学*信竞课)

整数解解法
c(mod b)或ax+by=c有整数解当且仅当(a,b)|c
一般意义下的解法:

扩展欧几里得算法

代码实现
exgcd返回值为(a,b)
int exgcd(int a,int b,int &x,int &y)
{
if(!b)
{
x=1,y=0;
return a;
}
int r=exgcd(b,a%b,y,x);
y-=x*(a/b);
return r;
}
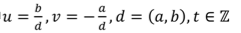
(x,y为特解)
通解:![]()
![]()
符合要求的特解的寻找
例1. x最小的非负整数值
解:找到x最接近于0的点后往前后枚举
例2. |x+y|最小的解
解:将ax+by=c化成y=kx+b,那么|x+y|=|(k+1)x+b|,写出分段函数(两段)
例3. m|x|+n|y|最小/大的解
解:m|x|+n|y|=m|x|+n|kx+b|,写出分段函数(最多三段)
例4. x,y均为正数,mx+ny最小/大
解:mx+ny=(kn+m)x+bn,根据kn+m的正负性讨论即可。
使用扩展欧几里得算法求解二元一次不定方程整数解
本文介绍了如何使用扩展欧几里得算法来寻找二元一次不定方程的整数解,包括如何找到最小非负整数解、最小绝对值解、最小/mx+ny/解以及x和y均为正数时的最小/mx+ny/解。通过实例解析了具体解题步骤和策略。
2271

被折叠的 条评论
为什么被折叠?



