题目:CausalVAE: Disentangled Representation Learning via Neural Structural Causal Models(通过结构因果模型实现接纠缠表征学习)
作者:Mengyue Yang
一、研究动机
1.目标概念往往是有因果关联的

二、研究目标
1.习得解纠缠表征
2.实现do操作(干预)和反事实
3.自动习得因果图
三、技术方法

1.通过VAE实现因果解纠缠
(1)Transforming Independent Exogenous Factors into Causal Representations(将独立的外生因素转变为因果表征)

例如:z1→z3

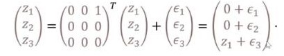
(2)Structural Causal Model Layer(即图中mask层,使子节点只与父节点有关)

可根据(公式1)改写为:

这一部分也让do操作成为可能,因为第一层的zi可把影响传递至第二层。
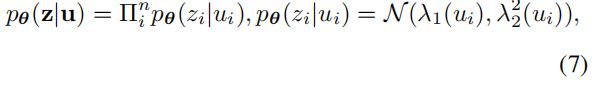
(3)A Probabilistic Generative Model for Causal-VAE



2.学习策略
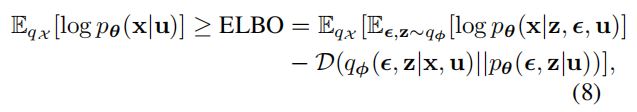
(1)优化置信下界



优化置信下限,令学习到的分布去靠近真正分布。
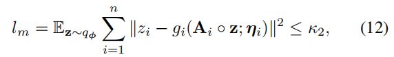
(2)学习因果结构
保证习得的知识接近标签u

保证知识可以传递至子节点

保证A为有向无环图(用了别的论文中方法)

总损失

四、实验结果


CausalVAE由Mengyue Yang提出,旨在利用神经结构因果模型(SCM)实现解纠缠的表征学习。研究目标包括学习解纠缠的因果表示、执行do操作和反事实推理,并自动学习因果图。方法包括将独立的外生因素转化为因果表示,使用SCM层确保子节点仅与父节点相关,以及建立概率生成模型。学习策略涉及优化证据下界以逼近真实分布,并学习因果结构。实验结果显示了模型的有效性。
65

被折叠的 条评论
为什么被折叠?



