【导读】 尽管大模型能力非凡,但干细活的时候还是比不上人类。为了提高LLM的理解和推理能力,Prompt「复读机」诞生了。
众所周知,人类的本质是复读机。
我们遵循复读机的自我修养:敲黑板,划重点,重要的事情说三遍。
but,事实上同样的方法对付AI也有奇效!
有研究证明,在提问的时候故意重复一遍——也就是复制粘贴,即可显著提高LLM的推理能力。

论文地址:https://arxiv.org/pdf/2309.06275
看下面的例子:

作者认为,通常情况下,问题中的重点token(比如这里的tennis balls)无法看到位于它后面的token(上图)。
相比之下,使用重读(re-reading,RE2)的方法,允许「tennis balls」在第二遍中看到自己对应的整个问题(How many tennis balls does he have now?),从而达到双向理解的效果(下图)。

实验表明,在14个数据集上的112个实验中,RE2技术都能带来一致的性能提升,无论是经过指令调整的模型(如ChatGPT),还是未经调整的模型(如Llama)。
实践中,RE2作为独立的技巧,可以与CoT(Let’s think step by step)以及自我一致性方法(self-consistency,SC)一起使用。
下表展示了混合应用多种方法对模型效果的影响。尽管自我一致性聚合了多个答案,但重读机制仍然有助于大多数场景的改进。

接下来,在GSM8K数据集上(使用ChatGPT)进一步研究输入问题复杂性对CoT和RE2提示的推理性能的影响。
这里通过计算真实解释中存在的推理步骤来衡量问题的复杂性,结果如下图所示。

随着问题复杂性的增加,所有提示的表现通常都会下降,但重读的引入提高了LLM应对各种复杂问题的表现。
此外,作者还计算了各代和输入问题之间的覆盖度,证明RE2增加了输出解释中的n-gram (n=1,2,3,4) 召回率。
重要的事情说2遍
现有的推理研究主要集中在设计多样化引导提示,而对输入阶段的理解却很少受到关注。
事实上,理解是解决问题的第一步,至关重要。
当今大多数LLM都采用单向注意力的decoder-only架构 ,在对问题进行编码时,单向注意力限制了token的可见性,这可能会损害对问题的全局理解。

怎么解决这个问题?作者受到人类习惯的启发,尝试让LLM把输入再读一遍。
与引导模型在输出中推理的CoT不同,RE2通过两次处理问题将焦点转移到输入,促进了单向解码器的双向编码,从而增强LLM理解过程。

上图为GSM8K数据集上测试的注意力分布图,较暗的单元格表示较高的注意力。
上虚线三角形内的区域表明,第二遍输入中的每个token都明显关注第一遍中的后续token,证明LLM的重读有望实现对问题的双向理解。
从另一个角度考虑,重读使LLM能够为输入编码分配更多的计算资源,类似于水平增加神经网络的深度。因此,拥有RE2的LLM对问题有更深入的理解。
普通推理
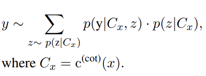
利用带有CoT提示的LLM来解决推理任务,可以用公式表述为:

其中,Cx表示提示输入,来自带有CoT提示指令的模板,z表示自然语言中的采样基本原理。
因此, LLM可以将复杂的任务分解为更易于管理的推理步骤,将每个步骤视为整个解决方案链的组成部分。
RE2 推理
受到人类重读策略的启发,将上面的方程改写为:

所以RE2在实际应用中就是下面这种格式:

其中{Input Query}是输入查询的占位符,左侧部分可以包含其他引发思考的提示。
实验
由于RE2的简单性和对输入阶段的重视,它可以与各种LLM和算法无缝集成,包括few-shot、自我一致性、各种引发思考的提示策略等。
为了验证RE2的有效性和通用性,研究人员在14个数据集上进行了112个实验,涵盖算术、常识和符号推理任务。
算术推理
实验考虑以下七个算术推理基准:
数学应用题的GSM8K基准、具有不同结构的数学应用问题的SVAMP数据集、不同数学应用题的ASDiv数据集、代数应用题的AQuA数据集、三到五年级学生的加法和减法数学应用题、多步骤数学问题数据集,以及单次运算的初等数学应用题数据集。

上表为算术推理基准测试结果。*处表示不使用任何技巧,但效果优于CoT提示的情况。
常识和符号推理
对于常识推理,实验采用StrategyQA、ARC和CSQA数据集。
StrategyQA数据集包含需要多步骤推理的问题;
ARC数据集(ARC-t)分为两个集合:挑战集(ARC-c)和简单集(ARC-e),前者包含基于检索和单词共现算法都错误回答的问题;
CSQA数据集由需要各种常识知识的问题组成。
实验评估两个符号推理任务:日期理解和Coinflip。日期理解是 BigBench数据集的子集,Coinflip是一个问题数据集,根据问题中给出的步骤,判断硬币翻转后是否仍然正面朝上。

结果表明,除了普通ChatGPT上的某些场景之外,具有简单重读策略的RE2,持续增强了LLM的推理性能。
RE2展示了跨各种LLM的多功能性(Text-Davinci-003、ChatGPT、LLaMA-2-13B和LLaMA-2-70B),涵盖指令微调 (IFT) 和非IFT模型。
作者还对RE2在零样本和少样本的任务设置、思维引发的提示方法以及自洽设置方面进行了探索,突出了其通用性。
Prompting
实验严格评估RE2模型在两种基线提示方法上的性能:Vanilla(不添加特技)和CoT(通过逐步的思维过程来指导模型)。

针对不同的任务,作者在提示中设计了答案格式指令,以规范最终答案的结构,便于精确提取答案。

实验的解码策略使用贪婪解码,温度设置为0,从而产生确定性输出。
最后探索一下问题重读次数对推理性能的影响:

上图展示了两个不同的LLM的表现如何随问题重读次数的变化而变化。我们可以发现重读2次使性能提高,之后随着问题重读次数增加,性能开始下降。
猜测原因有两个:i)过度重复问题可能会起到示范作用,鼓励LLM重复问题而不是生成答案,ii)重复问题会显著增加推理和预训练之间的不一致。
参考资料:
https://arxiv.org/pdf/2309.06275
如何学习大模型
现在社会上大模型越来越普及了,已经有很多人都想往这里面扎,但是却找不到适合的方法去学习。
作为一名资深码农,初入大模型时也吃了很多亏,踩了无数坑。现在我想把我的经验和知识分享给你们,帮助你们学习AI大模型,能够解决你们学习中的困难。
下面这些都是我当初辛苦整理和花钱购买的资料,现在我已将重要的AI大模型资料包括市面上AI大模型各大白皮书、AGI大模型系统学习路线、AI大模型视频教程、实战学习,等录播视频免费分享出来,需要的小伙伴可以扫取。
一、AGI大模型系统学习路线
很多人学习大模型的时候没有方向,东学一点西学一点,像只无头苍蝇乱撞,我下面分享的这个学习路线希望能够帮助到你们学习AI大模型。

二、AI大模型视频教程

三、AI大模型各大学习书籍

四、AI大模型各大场景实战案例

五、结束语
学习AI大模型是当前科技发展的趋势,它不仅能够为我们提供更多的机会和挑战,还能够让我们更好地理解和应用人工智能技术。通过学习AI大模型,我们可以深入了解深度学习、神经网络等核心概念,并将其应用于自然语言处理、计算机视觉、语音识别等领域。同时,掌握AI大模型还能够为我们的职业发展增添竞争力,成为未来技术领域的领导者。
再者,学习AI大模型也能为我们自己创造更多的价值,提供更多的岗位以及副业创收,让自己的生活更上一层楼。
因此,学习AI大模型是一项有前景且值得投入的时间和精力的重要选择。
5434

被折叠的 条评论
为什么被折叠?



