一元线性回归
一元线性模型非常简单,假设我们有变量 xix_ixi 和目标 yiy_iyi,每个 i 对应于一个数据点,希望建立一个模型

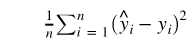
y^i\hat{y}_iy^i 是我们预测的结果,希望通过 y^i\hat{y}_iy^i 来拟合目标 yiy_iyi,通俗来讲就是找到这个函数拟合 yiy_iyi 使得误差最小,即最小化

梯度
梯度在数学上就是导数,如果是一个多元函数,那么梯度就是偏导数。比如一个函数f(x, y),那么 f 的梯度就是
(∂f∂x, ∂f∂y) (\frac{\partial f}{\partial x},\ \frac{\partial f}{\partial y}) (∂x∂f, ∂y∂f

本文介绍了一元线性回归的基本概念及其实现过程。通过梯度下降法找到最佳拟合直线,逐步减小预测误差,并利用PyTorch实现了一元线性回归模型。
最低0.47元/天 解锁文章
2074

被折叠的 条评论
为什么被折叠?



